以下文章来源于WPC无线充电联盟 ,作者WPC无线充电联盟
WPC无线充电联盟是由全球400多家公司会员组成的开放性、合作性的标准制定组织。其目标是:制定并不断改进世界上最有用、最安全和最高效的无线充电标准。
作者:丁京柱,瑞萨电子无线电源产品营销总监
摘要:本文叙述了无线立体声(TWS:true wireless stereo)耳机无线充电耳机盒的市场趋势,并分析了为什么TWS无线充电耳机盒中满足WPC无线充电联盟推出的Qi标准的产品很受欢迎。进一步分析了典型的无线充电耳机盒设计要求和TWS无线充电耳机盒系统。最后阐述了TWS无线充电耳机盒的设计步骤以及方法。
一、概述:
由于大量手机取消了耳机插孔,进而造成不可能同时进行有线充电和接入耳机;同时在耳机设计中融入了更多功能,比如有源消噪等;所以对真正的TWS耳机的需求不断增长。目前市场上部分高端手机也开始支持无线反充功能,即WattShare模式或称为反向充电,其可以方便地利用手机给穿戴式设备,如智能手表和TWS耳机盒等产品充电。另外,在小型电子设备上安装充电接口比较困难且耳机充电接口难以满足防水设计要求,也成为无线充电耳机盒流行的重要原因。
TWS无线充电耳机盒内嵌电池组并集成满足Qi标准认证的无线接收器。通常其无线充电接收线圈位于外壳底部或侧面。TWS耳机只集成非常小容量的电池,通过充电触针与耳机盒连通。当耳机放置于充电盒中,耳机盒电池给耳机充电。很好理解,在较小体积的耳机内放入小型充电线圈实现无线接收器设计比较困难,同时也由于耳机不规则形状较难平置线圈,所以无线充电接收器一般设计在无线充电耳机盒里面。
图1 典型无线充电磁通耦合示意图
通常来讲,采用较小的接收线圈在标准的发射产品上实现无线充电效率较低,会造成充电时长过长和较高的温升,这样较难实现比较好的用户体验。如图1所示,一般设计要求需要接收端(Rx)线圈能够有效耦合标准发射器(Tx)线圈的磁通量。而较小的线圈和较大的距离较难实现在常规的发射器上实现很好的磁通量耦合,从而造成效率低,充电面积小。为了实现更好的耦合,有时也需要采用机械或磁吸附装置避免偏置。但是即使接收线圈很小,如常见的30mm x 30mm或40mm x 15mm线圈的接收充电盒也能满足标准Qi发射设备充电,也就是说并不需要对无线充电发射器作特殊设计。
在设计过程中,通过遵循WPC无线充电联盟(Wireless Power Consortium)的Qi标准满足发射机和接收机之间的互操作性来提升用户体验。现在市场上有越来越多的Qi标准设备满足用户需求,TWS耳机制造商无需特别设计制造无线充电发射器。同时满足Qi认证标准的产品已经实现异物检测(FOD:Foreign Object Detection)功能,进一步提升无线充电安全性能,并能防止皮肤灼伤和其他危险。满足Qi标准规范的认证过程[1]也相对简单,一是在授权测试实验室(ATL:Authorized Test Lab)实验室进行WPC规范的测试,二是随后进行的互操作性(IOP:Interoperability Test)测试。
二、典型的耳机无线充电盒技术规范
一般典型的耳机无线充电盒技术规范如下:
充电盒电池容量:400 ~ 600mAh
最大功率为3~5W
Rx 输出电压设计成5V
Rx线圈大小:
30mm x 30mm(中间线圈)
40mm x 20mm(底部线圈)
Rx 线圈电感量 8 ~ 12uH
Qi认证
其典型系统框图如图2虚线框所示。接收线圈通过无线充电接收芯片实现功率传输,无线接收芯片输出通过电池充电芯片实现对电池的充放电管理。
图2 典型无线充电耳机盒框图
三、TWS耳机盒的设计步骤以及方法
TWS无线充电耳机盒的设计步骤可以包含五个部分,即首先定义线圈尺寸和无线充电系统要求,其次进行谐振腔设计,原型机设计和用户体验优化,最后进行系统软件集成以及通过Qi认证。
3.1 系统定义阶段
首先,线圈尺寸是一个最为关键的规格,一般需要耳机盒工业设计团队早期参与。考虑线圈尺寸时,同时也要考虑以下几个方面,首先是充电面积即X方向和Y方向覆盖区域,其次是效率,最大功率传输指标和是否满足Qi认证要求等。
其次,根据电池电压以及电池容量的大小以及安全条件下最大充电电流等要求,确定系统的最大功率。同时需要定义无线充电时,充电盒表面或电池可接受的最高温度。另外,也要确保接收线圈周围没有大的金属,比如需要考虑以下充电盒开启方式以及金属卷轴位置等。最后也要保证Rx表面和线圈之间的距离较小,比如小于1mm的设计要求。
3.2 谐振腔设计
谐振腔设计是无线充电系统最重要的部分,其决定了无线充电系统的工作点和系统性能,也是无线充电系统中功率损耗设计最为关键的部分。从耳机盒无线接收系统来看,由接收线圈、接收电路谐振电容以及接收端并联谐振电容等组成。
简单来说,单独选择最好的Tx线圈和最好的Rx线圈并不能保证一个稳定的工作系统,这是因为每个组件都会影响整个无线充电系统运行。同时谐振电容要根据线圈、耦合和目标工作点来确定。
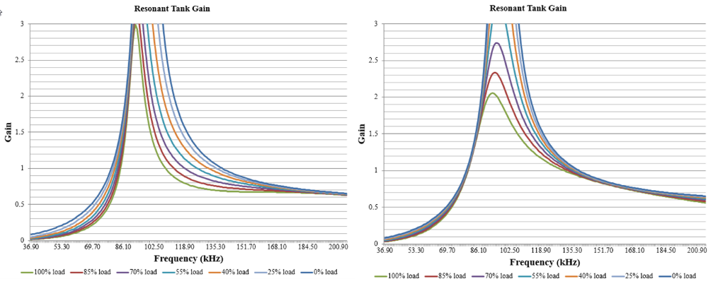
WPC指定了BPP和EPP的Tx线圈和谐振电容规格,同时WPC也推荐Rx线圈规格和Rx谐振电容规格。如图3所示,优化后的谐振腔增益在目标工作频率范围内,增益曲线差别很小,这样可以保证无线充电系统开关损耗较小。
图3 a) 不理想的谐振腔增益 b) 优化后的谐振腔增益
3.3原型机阶段
完成了谐振腔设计后会进入原理图,器件选取以及PCB布板从而进入原型机阶段。一些系统关键参数以及必要的系统测试将会是这个部分的重点,比如系统效率、充电面积、负载阶跃响应、热性能测试以及与标准无线发射器的互操作性测试等。若以上关键指标不能满足系统设计要求,可能需要重复谐振腔或线圈的设计。
3.4系统集成
在系统集成阶段,要从用户体验以及产品最终性能出发。比如设计充电连接/断开用户指示;通过改变电池充电电流,以满足热规范进行热调节优化。同时考虑充电100%状态时系统控制优化,充电盒通常没有很大的面积来散热,当设备达到100%充电状态后处于功率转移阶段时,设备表面温度可能会升高。
图4 无线充电耳机盒充电实例
3.5 WPC Qi认证流程
WPC Qi标准认证流程包含两个关键部分,如图5所示。一是进行ATL合规性测试,测试最终产品是否满足WPC 规范的要求。主要测试内容包括,发射器和接收器之间通信协议的时序,通过XYZ轴的平移测试功率输出能力,能量传输的最大供给能力和异物检测FOD。二是IOP兼容性测试。主要测试最终产品与测试样本集(Test Bed)中已通过Qi认证产品的互操作性。
图5 Qi认证流程示意图
四、TWS耳机盒Qi认证参考设计
以瑞萨电子为例,为更好地支持耳机盒客户简化设计过程,缩短产品上市时间,瑞萨P9222-R-EVK[2]预先通过了Qi认证。该方案可以在WPC网站中的Qi认证产品数据库中浏览。可以参考下面图6所示WPC页面截图,Qi注册ID为7681。
图6 P9222-R-EVK Qi认证页面截图
五、结论
作为手机生态的重要附属产品,采用无线充电的TWS耳机越来越受到市场以及用户的追捧。随着智能手机的反向充电功能的普及以及“无孔化”即去掉充电口的可能性增高,也使TWS耳机盒采用无线充电势在必行。无线充电耳机盒在设计过程中线圈尺寸及其设计至关重要,谐振腔设计是整个无线充电系统的重中之重。通过满足WPC Qi认证要求不仅提供足够的安全保证,也为利用标准发射器满足互操作提供了基础。
本文转载自:WPC无线充电联盟
更多精彩就在3月25日
2021(春季)亚洲蓝牙耳机展
你值得占领市场一席之地
快上车!
以下热门话题可以点击蓝字了解,
也可以在我爱音频网微信后台回复如下关键词获取专题
「技术专题」
LE Audio、TWS、降噪、骨传导、HWA、智能音箱报告、耳机报告、助听器、蓝牙市场报告
「拆解汇总」
500篇拆解、TWS耳机拆解、充电盒拆解、智能音箱拆解、脖挂耳机拆解、头戴耳机
「优质资源」
TWS耳机顶配芯片、TWS耳机芯片、充电盒芯片(有线)、充电盒芯片(无线)、智能音箱主控芯片、TWS充电盒电池、TWS耳机电池、TWS耳机扣式电池
「芯片原厂」
「电池厂商」
「品牌专区」
「展会报道」
蓝牙耳机亚洲展、CES、ComputeX、环球资源、香港电子展、果粉嘉年华、中科院声学所峰会、Bluetooth Asia、瑞昱发布会、紫光展锐发布会
「土豆专访」
第1期、第2期、第3期、第4期、第5期、第6期、第7期、第8期、第9期、第10期、第11期、第12期、第13期
「土豆探厂」
内容持续更新中
商务合作联系:info@52audio.com
勇敢点,在留言板说出你的观点!