以下文章来源于大数据期刊 ,作者大数据期刊
《大数据(Big Data Research,BDR)》 双月刊是由中华人民共和国工业和信息化部主管,人民邮电出版社主办,中国计算机学会大数据专家委员会学术指导,北京信通传媒有限责任公司出版的科技期刊。
大数据、云边端、物联网(IoT)等技术的广泛应用使得数据收集成为一种普适现象,催生出新型的经济形态与交易市场——数字经济与数据市场。数据(信息)是21世纪经济的命脉,是企业的重要资产。在全球市值排名前八名的公司中,有7家是数据公司,数据驱动了经济的发展,也影响着人们生活的方方面面。例如,专业的数据公司知道你将要购买的商品、即将出发的旅游目的地,熟悉你的饮食、健康情况,甚至“比你自己还了解自己”。数据已成为公司、个人最有价值的资产,理应成为一种可交易的商品。本文主要探讨数据价值、数据成为资产的可能性、数据的资产特性及数据资产交易场所——数据市场的相关内容,并从宏观经济的角度模型化市场参与者利润的相关特性,为参与者进入市场提供理论参考依据。
数据不仅是未来经济的“石油”,还是社会创造力和技术进步的源泉。梅宏院士在题为《大数据:发展现状与未来趋势》的讲座中指出,大数据为人类提供了全新的思维方式和探知客观规律、改造自然和社会的新手段,是引发经济社会变革的关键因素。数据的潜在价值及其对经济生活的冲击引起了社会各界的高度重视:2017年12月,习近平总书记在中共中央政治局就实施国家大数据战略进行的第二次集体学习上提出“要构建以数据为关键要素的数字经济”;2019年11月,中国共产党第十九届中央委员会第四次全体会议新闻发布会上首次提出“数据可作为生产要素按贡献参与分配”。
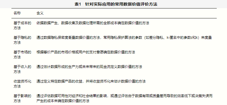
数据是以数字化的形式存储的其他业务功能或活动的副产品,即数据也是一种劳动力产品。一般用数据所提供的服务实现业务需求、改善系统性能、提高企业竞争力的能力或程度来衡量数据的价值。由此可见,数据价值的评价依赖于具体应用,没有统一的标准。表1列出了针对实际应用的常用数据价值评价方法。
随着计算机处理能力、网络通信能力、机器学习等算法处理能力的提升以及经济生活对数据的依赖性的提高,一种以数据为基础的新型经济学形态形成了,即数据经济学。数据经济学以数据资产为基础,以开放、流通、保护隐私为前提,以数据存储、传输、安全、质量、应用为目标,支持数据量化、交易定价、收益分成等经济学行为,研究数据内在价值挖掘、生产和行为模式。
支持不同处理阶段的异构数据交换(通过数据目录、数据交换协议实现);
以参与者为中心,实现参与者管理;
交易、管理的自动化、协同化、智能化;
区域/部门服务专业化;
有效的监管措施,实现安全、可信、可审计的数据交易服务;
操作透明化;
数据商品化运维。然而,建立有效的数据市场机制仍存在诸多挑战,具体如下:
数据作为经济商品的属性仍需仔细地研究和定义,以利于数据交易的常态发展;
建立新的数据市场模式及机制,实现在保留数据所有权和主权的同时交易数据;
现有的数据保护法案(如《个人信息保护条例》《通用数据保护条例(GDPR)》)提供了通用规则,但需要技术的保障和实施,以实现更严格的数据管理。
大数据时代推动数据成为重要的生产要素,数据是促进数据流通、挖掘数据价值的必备条件。数据资产化为数据成为生产要素创造了条件,然而,数据的非竞争性导致数据资产交易复杂化,因而有必要重新认识数据资产交易。基于这一目的,从分析数据价值及数据交易市场的发展过程入手,讨论了数据资产及数据市场的特性,并从经济学的角度分析了数据市场中各参与者的行为。针对参与者模型利润最大化需求,在数据市场中如何有效配置资源是下一步研究的主要方向。
(欢迎大家加入数据工匠知识星球获取更多资讯。)
扫描二维码关注我们
微信:DaasCai
邮箱:ccjiu@163.com
QQ:2286075659
我们的使命:发展数据治理行业、普及数据治理知识、改变企业数据管理现状、提高企业数据质量、推动企业走进大数据时代。
我们的愿景:打造数据治理专家、数据治理平台、数据治理生态圈。
我们的价值观:凝聚行业力量、打造数据治理全链条平台、改变数据治理生态圈。
了解更多精彩内容
长按,识别二维码,关注我们吧!
数据工匠俱乐部
微信号:zgsjgjjlb
专注数据治理,推动大数据发展。