Materials & Design: 巧妙利用化学组分设计革命性优化无铅铁电材料介电性能的温度稳定性
Perovskite Bi0.5Na0.5TiO3-based materials for dielectric capacitors with ultrahigh thermal stability
Jiyue Wu, Hangfeng Zhang, Nan Meng, Vladimir Koval, Amit Mahajan, Zhipeng Gao, Dou Zhang, Haixue Yan
通讯作者:晏海学,伦敦玛丽女王大学
张 斗,中南大学
随着车辆工程,航空航天等领域的飞速发展,用于监控系统的特定电子器件的工作温度范围需要扩大到从-55 ℃到300 ℃,而这也对相应的高温电容器的设计和开发提出了更高的要求。因此,高温电容器中使用的材料必须具备高电容,低损耗和优越的的高温稳定性。为了满足这些要求,具有高介电常数和高温不易分解特性的铁电陶瓷被认为是目前最有前途的高温电容器材料。然而遗憾的是,铁电陶瓷的介电性能一般具有很强的温度依赖性。与此同时,市场上目前广泛应用的含铅陶瓷材料在制备过程中不可避免地由于铅挥发而产生毒性,考虑到可持续发展的要求,在保持优良介电性能的同时,优化无铅铁电陶瓷的介电温度稳定性成为了目前介电材料领域研究的热点。针对无铅铁电陶瓷介电性能温度依赖性强的问题,伦敦玛丽女王大学(QMUL)晏海学博士团队与中南大学张斗教授团队合作研究,在钛酸铋钠(Bi0.5Na0.5TiO3,BNT)基材料的基础上,在钙钛矿结构内首次提出了铷/铌共掺杂的化学改性新方法。目标材料在-43℃到292℃范围内同时实现了较高介电常数(εr > 800),超低介电损耗(tanδ≤0.05)和较低的电容温度系数(即在固定温度区间的电容变化率,TCC≤10%)。在同等条件下,该工作报道的温度范围是目前所有报道的高温无铅中最大的。研究表明,铌的引入有助于降低BNT基材料的电导率和极化强度,而通过铷和铌的共掺杂可进一步降低晶体结构的畸变并提高极化值的热稳定性,从而使所研究的材料可在更宽的温度范围内,同时保持高介电性能和高温度稳定性。该研究工作从结构设计的角度出发,为优化铁电材料的介电性能的稳定性提供了新的思路,同时也揭示了无铅铁电陶瓷在未来应用于更广阔的电子器件市场的巨大潜力。相关研究结果以题为“Perovskite Bi0.5Na0.5TiO3-based materials for dielectric capacitors with ultrahigh thermal stability”发表在Materials & Design上,伦敦玛丽女王大学为论文第一单位,吴际越博士为论文第一作者。
本研究的材料设计基于在BNT 晶体结构中,铌的引入可有效降低氧空位的浓度,从而降低材料的电导率;铷的引入增大了对应的钙钛矿结构的容限因子t(图1),进一步限制了晶格畸变,从而减小极化随外场干扰而引起的扰动。图1 不同元素对应的钙钛矿容限因子t
XRD结果表明,铷和铌掺杂的BNT基陶瓷均形成了稳定的单相结构,随着铷掺杂量的增加,材料逐渐由四方相P4bm向立方相Pm-3m转变;EDX结果确认了所有元素在晶粒中均匀分布(图2)图2 XRD(左),SEM和EDX (右)表征结果
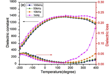
材料的介电温谱印证了BNT基材料中铷和铌的掺杂极大优化了介电常数随温度的波动,同时保证了极低的介电损耗(图3),而过量的铷掺杂则会增加介电常数在高温段的频率依赖性(图4),引起温度稳定性的降低。因此,只有合适比例的铷/铌掺杂量能最大程度上实现介电性能温度稳定性的优化。图4 不同组分材料对应的电容温度系数TCC在10%和15%内的温度区间比较
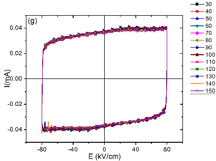
材料铁电性能随着温度改变基本保持不变(图5),这进一步验证了介电性能的温度稳定性的提升。同时也表明该材料的介电性能可以在不同电压下保持稳定,这在直流偏压下的电容测试中得到了验证(图6)。图5 电流-电场(I-E)曲线和电滞回线(D-E)随温度的变化
Jiyue Wu et al. ‘Perovskite Bi0.5Na0.5TiO3-based materials for dielectric capacitors with ultrahigh thermal stability’, Materials & Design, Volume 198 (2021), 109344,
论文链接:
https://doi.org/10.1016/j.matdes.2020.109344
(点击底部“阅读原文”即可直达原文)
伦敦玛丽女王大学(QMUL)晏海学博士团队
晏海学博士领衔的先进功能材料研究室,聚焦新型功能陶瓷及复合材料中的制备技术和理论研究,主要集中于放电等离子烧结(SPS)和具有织构、纳米和亚稳结构的功能材料。近年来取得了一系列的研究成果,团队成员以第一/通讯作者在Nature Communications, Advanced Materials, Advanced Energy Materials, Nano Energy, Chemistry of Materials, Acta Materialia, JMCA等权威期刊发表学术论文篇100余篇。
课题组主页
https://www.sems.qmul.ac.uk/staff/h.x.yan欢迎各位专家学者、研究生提供稿件(最新科研进展、论文解读、实验原理介绍、论文投稿经验介绍、学术交流、招聘招生信息等)至dielectrics@163.com,并请注明联系信息。
为了便于电介质同行之间的相互交流,本公众号建立了多个电介质交流讨论群(如电介质储能、微波电介质、电介质压电效应、电介质电-热效应、纳米发电、电介质聚合物等)。申请入群方式,公众号后台发送:入群。