微信号 china56168
功能介绍 为家校服务不离不弃,为教育发声不亢不卑。专注于小学语、数、外的教育教学、研究探讨、资源优化。每天分享海量精品学习资料,分享学习方法、科学理念。服务家长,帮助老师,提高成绩。是真正的小学教育的乐园!
教育好声音
海量教育资源免费领
一、二年级看图写话满分指导67篇练习+30篇范文,可打印
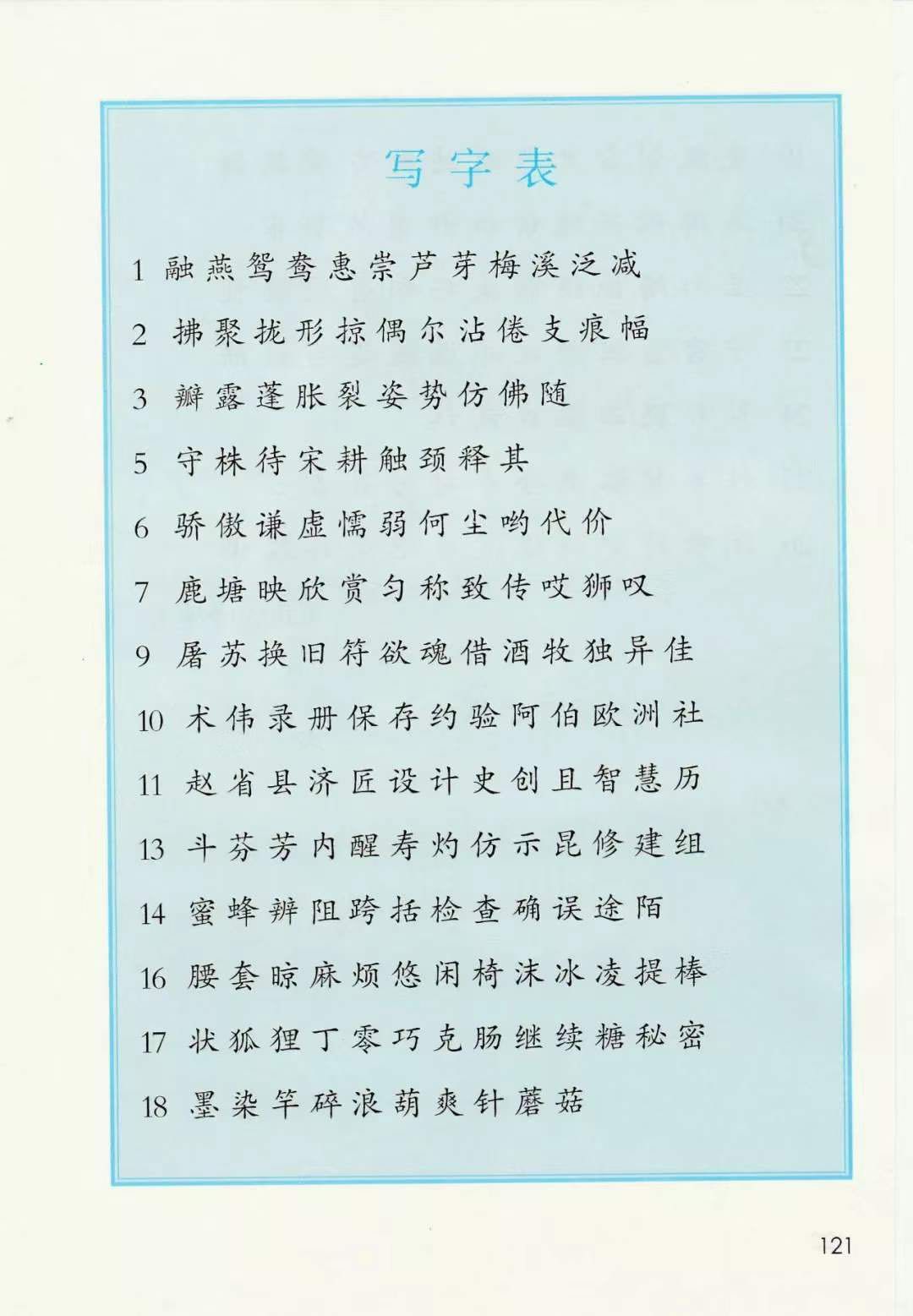
今天话筒君为大家带来的是,
根据最新部编版语文
下册教材整理出来的练字贴。
让孩子在寒假
多练习练习,
为下学期学习打下基础。
若需WORD打印版,
请拉到文章末尾,
免费领取百度网盘链接
点击左下方【阅读原文】
关注公众号后
发送消息“三下字帖”即可领取
微信扫一扫关注该公众号