总结
以下文章来源于橘喵哈希 ,作者橘喵哈希
美股/数字货币交易爱好者
白话区块链
从入门到精通,看我就够了!
大白导读:成熟的股票市场已经一套有成熟的估值模型。新兴的数字货币市场,目前还没有成熟完善的估值体系。本文试图根据各Token的属性,给出相对合理的估值模型,供君参考。快来看看你手里的币适合用哪种模型估值吧。
“起初,没有人知道怎么处理这些装满电路的巨大箱子,它们既笨重又昂贵,除了数据库管理之外,在其他方面应用都不太广泛,只是比较善于处理大量的数据。这好像是人们出于对技术的狂热而需要发明的一种应用。”——在纳西姆·塔勒布所著的《反脆弱》一书中,作者这样描述了计算机的诞生
如今,各种类型的token层出不穷,无论是新手还是资深投资者,都会发现,无法使用某种普适性的方法对所有token进行估值。在此,橘喵哈希提出了五种可行的估值模型,并给出了每种估值模型的适用范围。
👉1.相对估值法
适用范围:传统项目代币化的应用型token
针对存在可比类似资产的区块链项目,相对估值法是最为简单便捷的一种估值方法,我们可以使用同行业已上市公司的市盈率、市净率等各种指标,来为项目估值。以市盈率估值为例:
以法币计价的Token市值 = 以法币计价的年净利润(可根据项目的分红率判断)*PE
👉2.使用费雪方程式
适用范围:底层公链
Vitalik曾在博客中谈及使用费雪方程式为交易媒介类token估值的方法,即MV = PT,其中:
🔺M为token供应总量
🔺V代表货币流通速度,即token每天换手的次数
🔺P为物价水平,代表以token计量的商品或服务的价格,同时也是token价格的倒数(在经济学中,货币的价值,即货币购买力为“物价”的倒数)
🔺T为每天交易的经济价值
在这里,我们将1/V替换为H,代表用户在使用代币进行交易之前,持有代币的时长,再将1/P替换为C,代表币价。这样就会重新得到一个等式,即:
M/H=T/C → MC=TH
该公式表示某个Token的市值等于该Token每天交易的经济价值乘以用户在使用该币种进行交易前持有它的时间。后两者的值都可以根据——各渠道的数据统计分析得到。
👉3.现金流贴现估值法
适用范围:所有应用型token
在使用现金流贴现估值法时,橘喵哈希也曾犹豫😔,到底是以另一种公链的token价值为衡量尺度,来为某种token估值,还是把所有token的价值换算成法币,以法币作为衡量价值的尺度。
任何应用型token都需要基于公链平台创建,比较典型的案例是以太坊,85%的应用型token都基于以太坊创建(2018年4月23日数据,未排除只是暂时使用ERC-20 token的公链项目),目前ETH的年通胀率在9.8%左右,我们可以尝试使用公链平台代币的年价值收益率或未来PoS共识下的锁定收益作为整个系统的无风险利率。
但是,由于现有的数字货币价格波动大,购买力不够稳定,因此,以BTC、ETH等数字货币计量的各种数值比率也不稳定,预估增长率、贴现率的难度较大,即使勉强使用数学方法估算出来,因为参数的不确定性极高,可能导致估值结果失去参考意义。所以,我们可以将所有收益以原始形式记账,但是在估值时,把账面盈利的代币(比如BTC、ETH等)都按照公允价值以法币计量,未来如果出现通用的稳定币,那么也可使用稳定币计量。
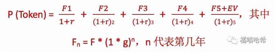
我们通常以五年为期来做测算,使用现金流贴现估值,公式如下:
估值参数:
(1)每年的自由现金流(F1 – F5):
EBIT减去驱动未来增长所需的再投资,即为当年的自由现金流。
未来每年的自由现金流 = 前一年的自由现金流 * 预期增长率
(2)预期增长率(g):
g为营业利润的预期增长率。对于区块链应用型项目来说,基本都可以在现实中找到对应的某一类行业。因此,我们可以从项目侵蚀存量业务+开发新的业务受众来估算该类业务的整体市场空间,并根据用户的增长速度、客单价等指标来确定项目利润的预期增长率。
(3)贴现率(r):
贴现率(即币权成本,对标股权成本)的计算方式如下:
r = rf + β * re
➡无风险利率(rf):
摒弃传统估值方法的人认为,使用传统方法为token估值的最大难度在于如何确定无风险利率,而无风险利率实际上是一项投资有保障的预期回报率,由于需要保证投资对象不能有违约风险,因此我们通常使用短债国债利率作为无风险利率。在区块链项目的财务记账过程中,当我们采用法币计量和结算时,则可以采用项目主要经营国的无风险利率,以此来确定在某个时间点上项目的价值及token的价值。
➡Beta系数(β):
代表项目代币收益率与整体市场收益率之间的协方差。
➡币权风险溢价(re):
币权与股权类似,我们可以把token视为证券,市场的币权风险溢价可以通过不同市场间的币/股票的波动性来衡量。
币权风险溢价
= 成熟市场的股权风险溢价 * 不同市场间的相对标准差
= 成熟市场的股权风险溢价 * (该公链系统下各个币价格的标准差 / 成熟市场股票价格的标准差)
在这里,我们可以直接使用美国的股权风险溢价和股票价格标准差,并且计算出出同期内该公链系统下各个币价格的标准差。
(4)终值(EV):
token在估值预测期结束时(比如第5年)的评估值:
终值EV = [ Fn*(1+永续增长率)] /(贴现率-永续增长率)
根据用户数的分布地,取项目主要经营国的GDP作为永续增长率。
👉4.期权定价估值法
适用范围:所有应用型token、底层公链
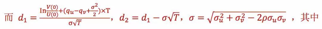
该观点由中国人民银行数字货币研究所所长姚前提出,他认为由于某种token的价值与其它token之间具有共生性,并且回报形式往往不是法币,所以传统股票估值模型对token来说适用性有限,因此,可以考虑使用期权定价的方式,对token进行定价。在这个过程中,可以把token的价值看做以项目未来价值为标的资产的看涨期权。我们在此观点上再度根据token的类型,进行估值方法的延展。该方法适用于派息类/货币类Token的定价(对标:派息股票期权/外汇期权 - 欧式看涨期权的定价)。
根据看涨期权的特性,T期token的价值C(T) = Max(S(T) - K, 0)。其中S(T)相当于在T期时,以比特币计价的标的项目价值,U(T)为比特币的法币价值,因此以法币计价的项目价值V(T) = S(T)U(T)。K相当于行权价,在这里是以比特币计价的临界值,当项目价值低于临界值时,token价值为0,当项目价值大于临界值时,token的价值=S(T) – K。在此,我们将C(T)写成Max(S(T), K) – K,并将K假定为1,此时,token的价值C(T) = Max(S(T), 1) – 1,我们将以上值代入期权定价公式:
▫S0是以比特币计价的token现价
▫V(0)是项目现在的价值
▫U(0)是比特币以法币计价的现在的价值,可直接使用比特币的市场现价
▫K是以比特币计价的项目失败的临界值
▫N(x)为服从标准正态分布的累计分布函数
▫qu是比特币价值的的预期收益率
▫qv是项目价值的预期增长率
▫T是到期时间
▫𝜎u是比特币价值的波动率
▫𝜎v是项目价值的波动率
▫𝜌是项目价值和比特币价值间的相关系数
👉5.自由定价: 相对估值+潜在需求评估
适用范围:由链下资产或服务背书的token
有一些token既不对标股票,也不对标货币,它代表着链下资产上链后的份额化资产,类似文交所交易的份额化艺术品,只是token可涵盖的资产范围远远大于文交所中的交易标的。另外,也有用户将社区服务份额化,或是将个人时间份额化,比如爱思群发行的AISI币、宝二爷发行的CHANDLER币等等。这类背后有标的资产或服务支撑的token的估值,完全取决于潜在的市场需求(体现在token的流动性或报价上)或是同类链下资产的成交价格。
总结
与公链的token相比,其它类型的token相对来说缺乏公众透明度。当我们对应用型token进行估值时,需要警惕那些除去再投资需求外,账上仍然有大量现金余额,但是不发放任何红利/不提供社区优惠/不执行回购的应用型代币。作为投资者,我们需要争取自己的权利,呼吁各个区块链项目方在达到某个最低市值(比如3000万美金)或年净利润超过某个最低金额(比如300万美金)后,有责任披露更多的链下财务细节。在区块链领域,这可以是一种自律行为而非规章制度,财务透明的公司可以享受更高的市场溢价。一些在财务上做的比较好的项目肯能会选择始终定期披露完整的季度报表,并且在报表中有谈及项目运营/合规/下季度规划/团队情况等各类细节。此外,对于作为履约凭证而存在token,市场需要监控token发行方的历史信用。
与分析股票财报类似,在使用估值模型来评估token的价值时,由于我们使用了一部分历史数据,在价值发现上可能具有滞后性,因此,还需要结合项目所在的细分行业或具体业务前景,来做更多定性的研究和判断。但是在整个区块链行业的早期阶段,这显然是一个非理性的交易市场,根据格雷厄姆的“无效市场理论”,通过挖掘具有安全边际的低估币种,投资者将会有所收获,这里就不再赘述。
熊市来临,这样的低谷期可能持续三五个月,还是一年,两年,谁也无法预知。在此期间,我们需要做的,就是选择有价值的标的,最终穿越牛熊。《三体2:黑暗森林》中的大低谷纪念碑上有这样一句话:给岁月以文明,而不是给文明以岁月,在这里,我们也要谨记:给时间以价值,而不是给价值以时间。
参考文献:
1. 当代金融家|人行姚前:数字加密代币ICO及其监管研究
2. Vitalik Buterin: On Medium-of-Exchange Token Valuations
您是否认可上述的5种估值模型呢?参照上面的估值模型,给你手里的币估估值,看看其目前的价格是否合理?快到留言区发表你的观点以及估值分析吧,有机会中奖哦!
——End——
『声明:文章转载自公众号「橘猫哈希」 ,不代表白话区块链立场,亦不构成任何投资意见或建议。』
——世界杯留言有奖竞猜环节——
——世界杯留言有奖竞猜第15期——
北京时间 7月8日 02:00
俄罗斯 🇷🇺 VS 克罗地亚 🇭🇷
第14期的结果今晚揭晓,将在下一期公布。
参与方式:只要在本文末留言,即表示参与竞猜,留言时间分号:两边的2个数字就是竞猜号码。
玩法规则(留言即挖矿😄):
留言时间的时与分的分号:两边的各1个数字就是就是你的竞猜比分,时间按24小时制,假如你的留言时间为 21:30分 你的竞猜号码就是1:3 ,同一个比分24小时内通常只会出现2次,每次出现10分钟,所以比赛前的24小时内所有人都有机会猜中。示例:
为防止忘记自己的比分,建议在留言时前面加上当前的时间以供参考(届时以系统时间为准)
淘汰赛阶段比分按90分钟包含伤停补时阶段比分为竞猜比分,点球大战比分不算。
我们将选取最早猜中的幸运读者为手气之王。获得奖励66.6元微信红包一个。比分出来后即可联系领奖。当期无人猜中,则奖金累计给下一期的参与者。
猜中,但是不是第一个,或者不是按时间规则猜中的亲,为神预测,手气之星,经检测你的手气值爆棚,赶紧彩票神马的来100注,获得大白编辑小姐姐飞吻一个,以及登上下期手气琅琊榜。
请勿重复留言,同1期重复留言参与,所有竞猜无效。
竞猜截止时间为相应比赛开始时间。
6月20日至世界杯结束,推文不定期插入有奖竞猜小活动
本活动最终解释权归白话区块链所有。
——第13期比赛结果揭晓——
【第13期】比赛结果:哥伦比亚 VS 英格兰 1:1,恭喜猜中1:1比分的@擦擦,获得奖金66.6元红包。世界杯竞猜第14期:乌拉圭VS法国的比赛结果还在竞猜中,下期揭晓。
公众号后台回复 关键词 查看资料:
回复 0 直达“区块链从0到1入门必读”
回复 1 直达“白话区块链历史精华”
回复 abc 获取区块链科普及投资入门最简指南
回复 双花 获取双花的科普文章
喜欢请给我们点赞哦,谢谢
(●—●)