在千年发展目标(MDG)时代,全球5岁以下儿童死亡人数显著下降,从1990年的1270万例下降至2015年的590万例,降幅达53%。随着世界各地5岁以下儿童死亡率的下降,儿童在不同生命阶段的死亡分布也发生了变化,UNICEF数据显示5岁以下儿童死亡更集中发生在新生儿期(年龄小于1个月),发生在新生儿后期(1个月至1岁)和幼儿期(1至5岁)的比例变小。降低新生儿死亡和降低幼儿期死亡的干预措施也不尽相同,新生儿的健康更多地依赖于良好的医疗系统和产前产后检查;而幼儿的健康则更加依赖于营养摄入、疫苗接种、卫生习惯、养护方式等与家庭和环境相关的因素。若要进一步降低5岁以下儿童的死亡率,就需要深入研究其分布特征为决策者规划多层次卫生战略,并制定对应的干预措施提供信息。
清华大学万科公共卫生与健康学院助理教授李志徽(Zhihui Li)课题组在《国际健康权益杂志》(International Journal for Equity in Health)合作发表文章《5岁以下儿童死亡在新生儿期、新生后期和幼儿期的分布:基于64个中低收入国家的多国分析》(Distribution of under-5 deathsin the neonatal, postneonatal, and childhood periods: a multicountry analysisin 64 low-and middle-income countries)。
研究方法
研究发现
总体来看,新生儿期的死亡在所有5岁以下儿童死亡中占比最高,为53.1%;新生儿后期的死亡占比为28.4%;幼儿期死亡的占比为18.5%。
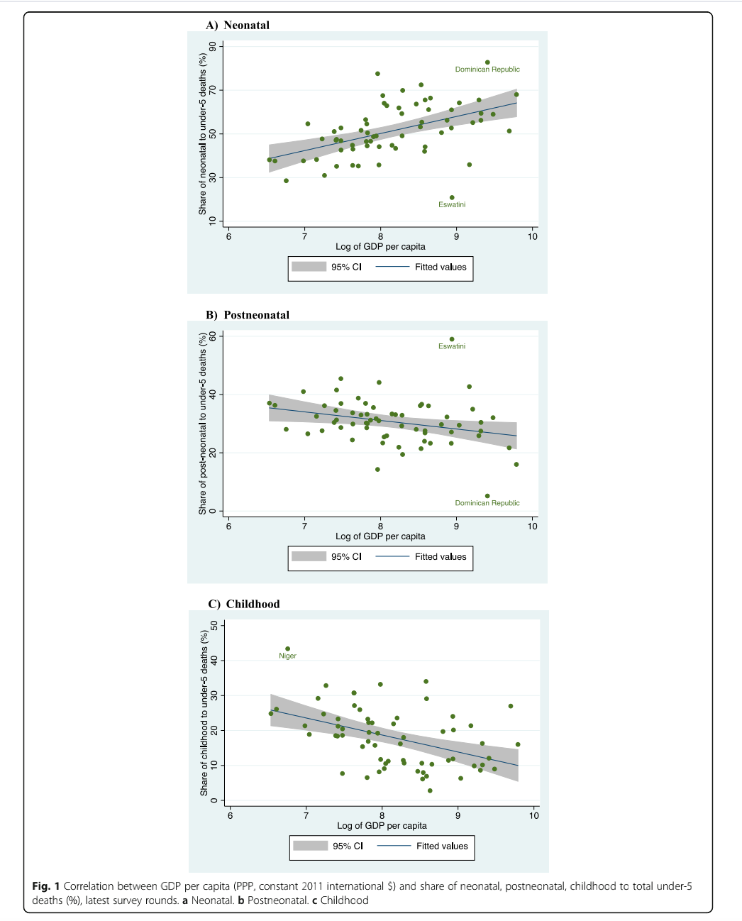
从国家收入来看,收入越高的国家5岁以下儿童死亡发生在幼儿期的比例越小,相反,发生在新生儿期的比例越高。
本文分析了64个国家最新的数据,并根据5岁以下儿童死亡发生在不同生命阶段的比例排序。5岁以下儿童死亡发生在新生儿时期的比例最高的十个国家中(64.2%-82.8%),只有1个为低收入国家(吉尔吉斯斯坦,77.6%)。而发生在幼儿期的比例最高的十个国家中有6个为低收入国家(27%-43.4%;尼日尔,布基纳法索,马里,乍得,利比里亚,刚果,贝宁,加蓬)。该结果进一步表明中高收入国家5岁以下的儿童死亡大多集中在新生儿期,而低收入国家5岁以下的儿童死亡更容易集中在幼儿期。
本文对人均GDP与5岁以下儿童死亡的关联分析结果表明:GDP与新生儿后期以及幼儿期在所有5岁以下儿童死亡的占比呈负相关的关系,GDP每增加10%,新生儿后期及幼儿期的死亡在所有5岁以下儿童死亡的比例分别降低0.29%和0.49%。相反,GDP与新生儿期在所有5岁以下儿童死亡的占比呈正相关的关系,GDP每增加10%,新生儿期的死亡在所有5岁以下儿童死亡的比例增加0.78%。
对于儿童在不同生命阶段的死亡分布的变化趋势,本文利用其中50个国家的数据进行了分析。其中5岁以下儿童死亡发生在新生儿后期的比例在17个国家中显著下降,发生在幼儿期的比例在19个国家中呈显著下降。而28个国家5岁以下儿童死亡发生在新生儿时期的比例显著增加(如柬埔寨,东帝汶和刚果),只有纳米比亚和尼泊尔新生儿期在所有5岁以下儿童的死亡比例呈显著下降趋势。该结果进一步说明越来越多的5岁以下儿童死亡集中在新生儿期。
总结
该研究首次全面分析了5岁以下儿童死亡在各个不同生命阶段的分布情况。本文发现新生儿死亡约占所有5岁以下儿童死亡的一半,并且在相对富裕的国家所占比例越高。这可能是相对富裕的国家在减少新生儿后期和幼儿期的儿童死亡方面取得显著进展的结果。在资源相对充足的情况下,这些国家的政府能更有力的实施营养补充、免疫接种、肺炎及腹泻的预防和治疗等针对新生儿后期和幼儿期的儿童健康的干预措施。而降低新生儿期死亡的干预措施更多的在于提高家庭和医疗环境等不易改变的因素。本文结果指出在儿童在不同生命阶段的死亡分布存在着一定的差异,因此政府有必要制定多层次的健康策略,给予新生儿健康更多的关注,并且应综合考虑各个国家的具体情况。
原文摘要
Background
As under-5 mortality rates declined all over the world,the relative distribution of under-5 deaths during different periods of lifechanged. To provide information for policymakers to plan for multi-layer healthstrategies targeting child health, it is essential to quantify the distributionof under-5 deaths by age groups.
Methods
Using 245 Demographic and Health Surveys from 64 low- andmiddle-income countries conducted between 1986 and 2018, we compiled a databaseof 2,437,718 children under-5 years old with 173,493 deaths. We examined theshare of deaths that occurred in the neonatal (< 1 month), postneonatal (1month to 1 year old), and childhood (1 to 5 years old) periods to the totalnumber of under-5 deaths at both aggregate- and country-level. We estimated theannual change in share of deaths to track the changes over time. We alsoassessed the association between share of deaths and Gross Domestic Product(GDP) per capita.
Results
Neonatal deaths accounted for 53.1% (95% confidenceinterval [CI]: 52.7, 53.4) of the total under-5 deaths. The neonatal share ofdeaths was lower in low-income countries at 44.0% (43.5, 44.5), and higher inlower-middle-income and upper-middle income countries at 57.2% (56.8, 57.6) and54.7% (53.8, 55.5) respectively. There was substantial heterogeneity in shareof deaths across countries; for example, the share of neonatal to totalunder-5deaths ranged from 20.9% (14.1, 27.6) in Eswatini to 82.8% (73.0, 92.6)in Dominican Republic. The shares of deaths in all three periods weresignificantly associated with GDP per capita, but in different directions—asGDP per capita increased by 10%, the neonatal share of deaths wouldsignificantly increase by 0.78 percentage points [PPs] (0.43,1.13), and thepostneonatal and childhood shares of deaths would significantly decrease by0.29 PPs (0.04, 0.54) and0.49 PPs (0.24, 0.74) respectively.
Conclusion
Along with the countries’ economic development, anincreasing proportion of under-5 deaths occurs in the neonatal period,suggesting a need for multi-layer health strategies with potentially heavierinvestment in newborn health.
Keywords:Low-and middle-incomecountries, Distribution of under-5 deaths, Heterogeneity across countries
获取全文
扫码或点击“阅读原文”获取文章原文
教授简介
李志徽
清华大学万科公共卫生与健康学院助理教授,博士,博士生导师。于2019年在哈佛大学公共卫生学院获得博士学位。主要研究领域包括:国际卫生治理与国际卫生援助的模式及有效性;社会经济和行为因素对人类健康的影响;母婴、青少年及生殖健康的决定因素;新冠肺炎疫情下的中国国际卫生援助策略。
相关阅读
John S. Ji团队最新研究发现:改善家庭燃料使用情况可有效改善人群因贫困致病而陷入贫困陷阱
陈润森研究团队及其合作者最新研究:家庭心理暴力对于性别少数青年的心理健康与自尊水平所产生的负面影响
供稿:李志徽课题组
编辑:十四