冯帅章(左图),暨南大学经济与社会研究院教授,院长。文章发表时为上海财经大学经济学院教授,研究领域为劳动经济学。著有《城市的未来——流动儿童教育的上海模式》等。[图源:huacheng.gz-cmc.com]
陈媛媛(右图),上海财经大学经济学院副教授,研究领域为劳动经济学、应用微观计量经济学。著有《为了明天——中国教育制度改革》(编著)、《城市的未来——流动儿童教育的上海模式》等。[图源:iar.sufe.edu.cn]
![]()
今年七月,我国教育部正式出台“双减”政策,坚决减轻义务教育学生课业负担,压减学科类校外培训。随着高强度、高竞争的教育逻辑占据上风,学生们之间的比拼从校园不断延展,花样迭出。上述政策即是试图通过抑制补充教育途径来进一步调节教育平等,对教育模式改革有着重大的意义。毋庸置疑的是,包括课外辅导、重点学校制度等在内的社会教育模式与配套系统制度性地影响着教育获得并产生相应的社会后果。本专题试图跳出传统教育社会学偏重社会人口属性与家庭资本的微观视角,呈现宏观教育模式层面的制度安排与学校组织形式对教育不平等的潜在影响路径。本专题开篇先以横向国际比较来探讨不同类型教育系统对教育不平等的媒介作用,比较不同教育模式的筛选机制和差异性;第二篇聚焦我国教育模式的历史变革,纵向剖析极具中国特色的重点学校制度和学轨分流对学生教育获得的影响;第三、第四篇紧随其后,进一步阐明分流体制下重点学校制度对个人生命历程的影响及在市场转型下对不同学校之间教育公平的影响;之后,第五、第六篇开始介绍被称为“影子教育”的课外补习作为一种补充教育途径如何成为现代教育模式的重要参与者,又是如何扭转了教育制度内在逻辑;第七、第八篇则具体考察盛行的私人补习对我国学生学业影响的效应;第九、第十篇分别以囚徒困境、时间分配为切入点,剖析以考试为升学基础的中国教育模式如何限制了学生学习的增负减负并造就不平等,兼论如何制定公平的替代制度。最后,第十一篇专访指出,如今我国教育模式已经成为各种力量的博弈,其中既有底层的平等诉求,也有中间阶级经营投资的策略,还有财富阶层对继承人的庇护。
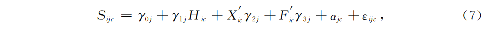
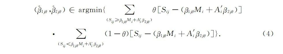
笔者才疏学浅,谨借此专题呈现现代教育形态及其分层效应,引发读者对教育模式、改革方向及其成效的思考,也望诸位读者不吝赐教。本文根据在上海地区进行的问卷调查和标准化考试结果,考察学校类型对于流动儿童考试成绩的影响。我们在控制家庭和学生个人因素,并通过工具变量法调整学校选择的内生性问题后,发现在民工子弟学校就读和在公办学校就读的流动儿童之间仍存在较大的成绩差距。进一步的分位数回归结果显示学校类型对于成绩较差的学生影响更大。我们的研究结果与目前民工子弟学校教学质量普遍低于公办学校的观察相吻合。随着我国经济的蓬勃发展和城市化进程的不断推进,从农村到城市的流动人口规模空前庞大。人口的城乡流动模式也逐渐由20世纪80年代中期的个体化、短期性迁徙,到90年代中期之后向家庭型、长驻型迁移模式转变。据新华网(2009)报道,全国进城务工农民随迁子女达1403万,每8个城镇儿童中就有一个是流动儿童。而在上海这样的流动人口聚集的大城市,每3个儿童中就有一个是流动儿童。流动儿童中义务教育适龄儿童数量达到1126万。同时,规模巨大的农村留守儿童也随时可能加入到城市流动儿童的队伍中来。流动儿童的教育问题已经成为我国转型期发展过程中的一个重大社会问题。从微观层面来看,流动儿童在义务教育阶段的人力资本积累对于他们的一生有不言而喻的决定性影响。能否接受义务教育以及义务教育的好坏,关乎他们是否有机会接受更高层次的教育,关乎他们未来能否顺利就业,以及就业后的收入水平。从宏观层面来看,规模巨大的流动儿童队伍是否能接受有较好质量的义务教育,不仅直接关系到当前社会的公正与和谐,也关系到未来我国经济发展、社会进步的大局。由于教育投资的地域性分割,流入地政府长期忽视流动儿童的义务教育问题。在这样的背景下,专门招收流动儿童的民工子弟学校应运而生。然而,这些学校在资金、监管、师资、安全等方面都存在许多先天不足,其存在的合理性和在义务教育系统中的定位也往往备受争议,引发极大社会关注。2001年,国务院作出《关于基础教育改革与发展的决定》,提出:“要重视解决流动儿童少年接受义务教育问题,以流入地区政府管理为主,以全日制公办中小学为主,采取多种形式,依法保障流动儿童少年接受义务教育的权利。”此后,流入地公办学校才开始对流动儿童大规模开放。但民工子弟学校在许多城市,尤其是市郊地区,仍扮演重要角色。以目前“两为主”政策执行情况较好的上海为例,在2011年秋季就学的流动儿童中,约70%在公办学校,仍有30%就读于民工子弟学校,而这样的公办学校就学比例已经在全国同类城市中领先了。在全国范围而言,可以预期在未来较长时间内仍将有相当规模的流动儿童从民工子弟学校接受义务教育。有鉴于目前流动儿童义务教育中两种类型学校并存的现实,我们认为非常有必要从实证的角度定量地考察流动儿童在民工子弟学校和公办学校所受教育的差别。首先,尽管一般公众普遍认为民工子弟学校在教学质量上要劣于公办学校,也有意见认为公办学校更可能存在对流动儿童的歧视,从而导致其学习成绩更差。其次,学校类型导致成绩差距的大小本身对于制定政策非常重要。如果民工子弟学校对成绩的影响为负但很小,则其仍然可以成为一个对流动儿童教育而言不错的政策选择。因此仅仅知道两类学校孰优孰劣是不够的。最后,民工子弟学校的情况在不断发生变化。以上海为例,目前得到政府认可和资助的民工子弟学校迥异于5-10年前的简易学校,其办学条件甚至比内地不少公办学校更好。与此同时,公办学校也在发生变化。尤其是越来越多的流动儿童进入公办学校后,对其教学管理等各方面都发生了极大的冲击。因此,学校类型对成绩的影响是动态的,从本质上讲是一个实证而非纯理论问题,必须通过定量而非单纯的定性手段来研究。当然,要准确科学地衡量这两类学校对学生成绩的影响并不容易。首先,民工子弟学校和公办学校的考试成绩并不具备直接的可比性。其次,学校层面的因素也并不是影响学生的成绩的唯一因素,而公办学校的学生在自身特征和家庭背景方面往往优于民工子弟学校学生。也就是说,流动儿童择校过程存在“自选择”问题(self-selection),他们就读民工子弟学校或者公办学校并不是随机的。因此仅仅比较民工子弟学校和公办学校的学习成绩,并不能直接得出有关两类学校优劣的结论。最后,学校类型对于不同学生影响的程度未必相同。从政策的角度看,有必要探讨哪类学生的成绩对于学校类型最为敏感。为解决上述问题,我们首先对上海地区的多所公办学校和民工子弟学校进行了实地考察,与学校校长、教师、家长和学生进行了大量深度访谈,并于2008年9月选取了两所公办学校,两所民工子弟学校进行了预调查。在此基础上,我们于2010年11月在上海选择了11所公办学校和9所民工子弟学校,通过多层次的问卷调查设计和标准化考试,获得了具备可比性的考试成绩、详细的学生和家庭背景资料以及学校、班级层面的信息。我们发现,就标准化考试成绩而言,民工子弟学校和公办学校的流动儿童学生之间存在很大差距。可观测到的学生本身特征以及家庭背景只能解释这种差距的很少部分。同时,我们发现父母上海话的流利程度,2008年是否居住在上海市中心城区以及5年内是否有返乡打算是决定流动儿童择校的重要因素,并以它们作为工具变量调整因为学校自选择而引起的估计偏差,结果发现流动儿童成绩因学校类型所引起的差距依然很大且在统计上高度显著。我们进一步利用分位数回归考察学校类型对于不同学生的影响,结果发现学习成绩较差的学生对于学校类型更为敏感。总体而言,本研究显示学校类型是导致目前流动儿童成绩差的一个主要原因,尤其是对于那些因家庭背景等因素而成绩较差的学生而言。从政策层面上看,为帮助流动儿童获得更好的教育,我们认为政府应双管齐下,一方面进一步开放公办学校,另一方面通过改制等方式切实提高民工子弟学校的教学质量。伴随着农民工问题,流动儿童的教育问题越来越受到学术界的关注。2000年第五次全国人口普查资料和2002年全国九城市流动儿童状况调查资料,为许多流动儿童教育问题的研究提供了一些数据支持,如郑桂珍和陈艳梅(2004),华灵燕(2007)。段成荣和梁宏(2004,2005)详细估计了流动儿童的规模,人口学特征及受教育状况,并总结了影响流动儿童教育的因素,包括流动儿童家长,流动儿童自身意识,学校因素以及流动儿童与社会的融合程度。曾守锤和李其维(2007)从心理学的角度研究流动儿童的社会适应性问题。杜娟和叶文振(2003)利用厦门市抽样调查的结果,分析就学结构、教育费用和家庭教育对流动儿童学习成绩的影响。雷万鹏和杨帆(2007)对武汉市流动儿童家长进行调查,提出目前流动儿童教育的重点已经从入学机会转为对教育过程和教育质量的关注。谢建社等(2011)对珠三角城镇流动人口的调查发现流动儿童转学率高、失学率高、犯罪率高和学习成绩低、升学率低、城镇认同感低等现象。文章提出了教育公共资源与农民工随迁子女教育合理匹配的模式,呼吁政府应该针对流动儿童的教育问题进行教育体制改革,尤其是高考制度的改革。与此同时,也有一些直接针对民工子弟学校与公办学校的比较研究。普遍认为,民工子弟学校在校舍硬件设备,师资数量和质量,管理规范化程度远远赶不上公办学校(张俊良和黄必富,2004)。一些学者从流动儿童的社会适应和心理健康发展角度,比较公办学校与民工子弟学校。曾守锤和李其维(2007)认为民工子弟学校中的流动儿童比公办学校中的流动儿童存在更多的社会适应问题。谢尹安等(2007)发现公办学校小学高年级的师生关系比民工子弟学校更融洽。但一些学者则持相反观点。郭良春等(2005)认为虽然公办学校中的流动儿童在家庭、学校和社会三个水平的适应状况基本良好,但随着年龄的增长,对来自社会的排斥有强烈的体验,心理健康受到一定影响。周皓(2006)认为公办学校存在对流动儿童严重的歧视,对流动儿童的身心健康不利。徐丽敏(2009)提出公办学校在接受农民工子女时,仍存在分校、分班级,甚至在同一个班级中分座位区域等现象,对于他们的教育融入非常不利。以上研究虽然从方方面面讨论了民工子弟学校在解决流动儿童教育中所起的作用以及其局限性,但是很大一部分研究都只做了定性的分析,即使有部分研究利用了实证数据,也只是进行简单的统计或者分类,其样本量和代表性都非常有限。目前,尚无研究从实际数据出发分析民工子弟学校学生与公办学校之间的学生成绩差距。本文的数据来源于我们在2010年11月对上海市20所小学四年级全部学生的问卷调查和标准化考试,其中包括11所公办小学和9所民工子弟学校。我们选择的学校来自于上海不同地区,包括中心城区和较边缘的郊区。由于我们研究的对象是流动儿童,我们选择的公办学校都是已经对流动儿童开放的公办学校,其教学质量在上海所有公办学校中属于中等偏低,而不是那些流动儿童基本无法进入的重点学校。之所以选择小学四年级学生,是因为目前流动儿童在上海升入初中比较困难,因此在民工子弟学校中,有大量成绩较好的五年级学生会转回老家就学以利于升初中,造成五年级学生的逆向选择,而三年级及以下的学生因年龄较小在回答问卷等方面存在一定困难。为避免学校内部的选择效应,我们对于这20所学校的所有四年级学生都进行了调查和考试。由于学校方面的配合,我们的受访率几乎达到100%。每所学校包括2—6个班级,每个班级人数多达59人,少至18人。20所学校总样本为2629个学生,去除一些缺失变量的样本以后,本文所用的样本为1832人,其中流动儿童学生1399个。问卷调查共包括学校、班级、学生及家长四个部分。学校问卷主要包括学校师资条件、生源结构、入学要求、学费等内容。班级问卷涉及学生生源背景、课程设计、任课老师背景。这两个部分问卷由校领导与班主任老师回答,其内容主要用于了解学校和班级的基本情况。我们调查的重点是学生问卷和家长问卷。学生问卷一部分由班主任老师填写,包括每个学生的期中考试成绩、平时表现、是否担任班干部、户籍情况等,另一部分由学生在调研员的帮助下自己填写,内容涉及从学前班以来的就学经历,平时时间安排情况、与父母的相处情况等。家长问卷包括家长的工作、学历、收入、其他子女情况,以及对学生的时间投入、教育期望和学校选择的问题。这一部分由家长自己填写并由调研员通过电话进行核实。我们还现场测量了每名学生的体重和身高,作为反映其生长发育和营养健康情况的重要指标。民工子弟学校的教学大纲、进度及考核内容,与公办学校都有较大区别。因此,各学校考试成绩并不具有可比性,不能反映民工子弟学校学生和公办学校学生的平均水平的真实差异程度。我们根据全国统一的小学四年级教学大纲,并参考上海市大纲,基于上海市公办和民工子弟学校教学的具体情况,设计了统一的语文与数学标准化试卷。我们的语文数学考试命题人来自被调查学校之外,并且都具有丰富的小学四年级教学经验。考虑到各学校大纲和进度的不同,我们考试的目标在于测试小学四年级应该达到的认知水平,与学生在课堂上学习的内容并不直接相关。所有学生在同等条件下进行了考试。据我们所知,类似的对于同等学习程度的本地户籍学生和外来流动儿童学生的统一考试以前并不存在。因此,该标准化考试成绩使得客观评价流动儿童学生的真实学习情况首次成为可能。表1列出受访学生及家长的基本信息。为了便于比较不同学校中不同学生之间的差异,我们将样本分组分别进行统计。A组是上海户口的学生,共有433位,全部就读于公办学校。B组是公办学校中非上海户口学生,共有485位。考虑到公办学校中有部分学生刚刚从民工子弟学校转来,而学校对于学生产生影响需要一定时间,我们将B组中从一年级开始就在该校就读的学生单独列出,归为B1组,共有338位学生,占B组的70%。C组包括民工子弟学校的所有学生,共914位。表1前四列分别列出这四组学生(A,B,B1,C)主要变量的均值和标准差。(3)***p<0.01,**p<0.05,*p<0.1,在第(1)列中表示A组与B1组差异,在第(2)列中表示B组与C组差异。从标准化考试成绩来看,A组学生的平均成绩最高,语文为69.2分,数学65.8分。B组学生的成绩与A组学生接近,两科平均成绩分别为66.5分和62.6分,均仅比A组差3分。在B组中,B1组的学生平均成绩略高,为67.3分和64.0分。他们和A组上海户口学生比较,语文和数学成绩差异均在10%显著水平下显著。C组民工子弟学校的学生成绩比在公办学校学习的任何一类学生都要差很多,其平均成绩分别为56.0分和46.5分,与B组学生相比其语文成绩相差10分左右,数学成绩的差异更为明显,相差16分。这意味着同样都是流动儿童,在公办学校就学和在民工子第学校就读,其语文和数学成绩的差异约为一个标准差的幅度。就学生的身体发育情况来看,上海户口学生平均比流动儿童身高更高。A组学生平均身高为139.5厘米,比B组和C组学生的身高高出1.7厘米和1.4厘米。而B组与C组学生的身高差异并不显著。从体重的差异来看,A组学生的平均体重要显著高于B组。而B组体重显著高于C组学生,显示较好的营养条件,也从一个侧面显示流动儿童学校选择上可能存在自选择的问题。从年龄上看,流动儿童(B组和C组)要比上海户口的学生明显大一些。上海户口学生平均年龄为9.4岁,比B组和C组要小0.2岁左右。同时,流动儿童的年龄标准差要比A组大得多,其中民工子弟学校C组的标准差更高。三组的年龄标准差分别为0.5,0.7和0.9。一方面,民工子弟学校入学年龄的限制没有公办学校那么严格,因此有些学生的年龄相对较小。另一方面,很多流动儿童到年龄没能正常入学,或者因为父母工作流动性太大,经常更换学校导致他们不得不留级。从学生性别与独生子女情况来看,三组学生存在较大差异。流动儿童(B组和C组)中女孩的比例比上海户口学生要少很多。A组学生中女孩的比例约为50%,B组中女孩比例下降到43%,C组的比例更少为40%。而A组中90%是独生子女,B组只有近一半为独生子女,而C组超过70%为非独生子女。一方面,许多农民工存在超生的现象,他们的子女往往没有户籍,造成他们进入公办学校的障碍。另一方面,农民工更倾向于将多子女中的女孩留在家乡或者不让她们上学。从户籍上看,上海户口学生中有6%为农村户口,在公办学校的流动儿童(B组)中农村户口比例为69%,民工子弟学校中农村户口比例明显增多为91%。从学生教育经历来看,上海户口学生全部都读过幼儿园,在公办学校的流动儿童也仅有3%没有读过幼儿园,而在民工子弟学校中有13%的学生没有受过学龄前教育。从转学的经历上,他们的差异更为显著。A组和B组有9%和27%的学生在小学阶段有过转学经历,而在C组中这个比例高达到44%。也就是说,在民工子弟学校,接近一半的学生有过转学经历。在C组中有10%的学生是本学期刚刚转入的,而公办学校该比例仅为1%—2%。从家庭背景的情况来看,A组学生的父母教育水平比另两类学生明显较高,他们父母中一半为高中毕业,父亲中专和大学毕业占29%,母亲中这个比例为26%。而B组中父母多半为初中毕业生或更低学历,中专或者大学毕业比例不到10%。但是A组学生家庭月收入并不比B组好,其收入分布的比例在统计上没有显著的差异。这当然部分是因为我们选取的公办学校在所有上海的公办学校中条件偏低,因此许多家庭条件好的上海户籍学生会选取转入其他条件更好的公办小学。C组的父母的教育水平与家庭收入比前两组要差很多。C组的父母中大部分为初中毕业生或者更低学历,专科以上比例仅占3%。同样都是流动儿童(B组和C组),C组父亲高中学历以下占75%,比B组多21%。相应的,在家庭收入方面,C组月收入超过5000元和10000元的比例也明显较少。就父母对孩子入学的重视程度来看,A组学生中有50%的父母因为孩子就读而搬家,而B组和C组的父母有82%—87%因为孩子的上学问题搬过家。在辅导孩子读书方面,A组父母优于B组,而B组父母又比C组更经常一些。这里一方面体现了上海户口的父母对于教育更加重视一些,另一方面,流动儿童的父母通常的工作时间更长,很难抽出时间辅导孩子的学业。不同组别的父母对于孩子学习的期望也有很大的差异。A组和B组有86%和78%的父母认为孩子未来的教育程度可以达到大学本科以上水平,而C组中仅有61%。父母认为读书对学生的未来影响很大在三组学生中的比例分别为73%,66%和50%。为了更好地分析不同学校机制对于流动儿童(B组与C组)学习成绩的影响,我们需要同时控制学生自身的特征以及他们的家庭背景。因此,学生成绩的影响因素可以用以下的方程表示:其中,Sij表示学生i在科目j(语文或数学)的标准化考试成绩。Mi是表示学校类型的虚拟变量,如果该学校是民工子弟学校则取值为1,为公办学校则取0,因此系数β1j代表民工子弟学校相对于公办学校的成绩差异。Xi为学生自身的特征,包括性别、年龄、是否是独生子女。Fi为学生的家庭背景变量,包括是否为农村户口、父母离乡外出打工的时间,以及父母的教育背景和家庭收入。表2第(1)列和第(3)列给出了语文和数学成绩的OLS回归结果。可以看出在民工子弟学校就读的学生,语文和数学的平均成绩分别落后8.3分和13.3分,比公办学校学生成绩低12%和20%。女生语文成绩要略优于男生,但数学成绩略逊但统计上不显著。年龄越大的孩子成绩越差,这其中一部分原因是有些孩子因转学而留级的缘故。独生子女的语文和数学成绩比非独生子女显著高出2.2分和2.7分。这可能是由于独生子女家庭中父母对孩子学习的投入相对较多的原因。来自农村的流动儿童成绩显著较差,他们的语文成绩和数学成绩分别低于城市户口学生2.2分和3.7分。父母离开老家外出打工时间对于语文成绩没有显著影响,但对于数学成绩影响显著。父母外出打工时间增加一年,孩子的数学成绩平均要高出0.3分。家庭收入对于成绩的影响显著,当家庭月收入超过5000元以上,子女的语文成绩明显较好。数学成绩也随着家庭收入的上升而增加,但当收入超过10000元时,学习成绩相较于收入在5000—10000元之间的家庭并无增加。父母的教育水平对语文成绩的影响并不显著。母亲受过高中以上教育,则其子女的数学成绩显著较高。注:括号中为标准差;***p<0.01,**p<0.05,*p<0.1;A. 缺省组为1000元以下;B. 缺省组为初中及以下;C. 缺省组为上海话非常流利;D. 缺省组为2008年以前来沪,但居住地不明的。如前所述,流动儿童进入不同类型学校就读可能存在自选择问题。尽管(1)式中我们已经控制了一些学生和家庭背景因素,表示学校类型的虚拟变量Mi与误差项仍可能存在相关关系。本小节进一步通过工具变量法来调整由此可能带来的估计偏误。我们用下式表示学校选择的决策:其中,Mi为学校类型的虚拟变量(民工子弟学校为1,公办学校为0)。Xi与Fi分别表示式(1)中所提到的个人特征和家庭特征,Zi为工具变量。(2)式与(1)式共同构成本文工具变量法的实证模型。模型识别的假定包括两方面,其一,工具变量Zi与学生是否就读于民工子弟学校的选择相关(δ3≠0),其二,在控制个人和家庭因素后Zi与(1)式中的误差项不相关,即COV(εij,Zi|Xi,Fi)=0。我们选取的工具变量包括父母的上海话流利程度(分为四个不同程度),是否计划五年内返乡,以及2008年时是否在上海市中心城区居住(根据父母来沪时间和当时是否居住于中心城区,分为4类,具体见表1)。由于上海市教委从2008年开始启动“农民工同住子女义务教育三年行动计划”,逐步关闭中心城区的民工子弟学校,并由当地区政府的教育局统一安排流动儿童进入公办学校学习。我们假定流动儿童父母在2008年前并不知道政府即将采取的政策,因而也不会据此选择居住地地区。这样,2008年前父母的居住地就成为一个恰当的工具变量。第一阶段的回归结果也证实了父母2008年以前来沪并居住在上海市区对于子女进入公办学校的影响非常显著,2008年居住在市区的家庭,子女进入公办学校的概率要高0.6。相对于中心城区而言,上海郊区的公办学校较少,不能完全接受流动儿童。我们在访谈中发现,能否进入公办学校,很大程度上取决于父母的社会关系。因此,我们选取了父母的上海话流利程度作为工具变量。可以认为,流动儿童父母的上海话流利程度与他们在上海的社会关系高度相关,但在控制了家庭教育经济背景的情况下,未必影响父母对子女教育的重视程度等误差项包含的内容。第(5)列的结果显示父母的上海话流利程度较差对子女进入公办学校不利。另外,我们也选择了五年内是否有计划返乡作为工具变量。由于进入上海公办学校将对于流动儿童进一步在上海升入初中非常有利,如果父母计划长期在上海发展,则必然有更大动力将子女送入公办学校。反之,如果父母计划五年内返乡,进入公办学校的诱因就不一定很强。这同样并不一定意味着父母不重视子女教育。表2中第(5)列给出了式(2)的估计结果,其中所有的工具变量对于进入民工子弟学校就读的概率都有显著影响。工具变量的偏R方为0.32,联合显著的F统计值为241.9,P值为零。同时通过Stock and Yogo (2005)关于弱工具变量的检验,Cragg-Donald Wald F统计值为92.9,远远高于5%的显著性水平的临界值19.9。也就是说,这里不存在弱工具变量的问题。同时,由于本文采用7个工具变量来分析决定进入公办学校的因素,因此我们可以用过度识别的检验方法(Overidentification test)来检验工具变量的有效性。过度识别的检验都表明在这些工具变量之间,不能拒绝工具变量本身外生性的假设。表2的第(2)列和第(4)列分别列出语文和数学成绩两阶段最小二乘回归(2SLS)的结果。与OLS的回归相比,工具变量估计的结果中公办学校与民工子弟学校的成绩差异明显下降,语文成绩的差异从8.3分下降到7.2分,数学成绩的差异从13.3分下降到10.0分,但这些成绩差异在1%的显著水平上仍然显著。这表明尽管OLS的结果在一定程度上受到学校自选择的影响,但在调整了自选择的偏差以后,学校类型的差异仍然是学生成绩的一个重要决定因素。其他变量的估计结果与OLS的结果没有太大变化。农村户口的学生与城市户口学生成绩的差异变大,语文成绩差异增加到2.5分,数学成绩差异为4.6分。女生在语文成绩上显著高于男生,而在数学上显著较差。与OLS相比,独生子女的成绩比非独生子女成绩高出更多,语文和数学成绩分别各高出2.3分和2.9分左右。为了避免流动儿童定义的差异对我们研究结果造成的影响,我们进一步对以上报告的分析结果进行稳健性检验。在以下的检验中,我们尽量直接比较特征相似的流动儿童(从B组与C组中选取),分析是否不同的学校类型仍然是造成学生成绩差异的重要因素。首先,有一些流动儿童的父母虽然没有上海户口,但是其家庭背景较好,有些父母是从其他城市到上海工作的白领,也有一些父母是大学毕业以后来上海工作但没有拿到上海户口的,甚至有一些是上海市的引进人才。这些儿童往往就读于公办学校,如果把他们和民工子弟学校的流动儿童进行比较,可能会夸大因学校原因而引起的成绩差异。在表3中的第一栏,我们把样本限制于仅包括农村户口的学生,不论在OLS回归还是两阶段的回归中,民工子弟学校的语文和数学成绩差异仍然很显著,而且其差距并不比表2中的估计系数小。在表3的第二栏和第三栏,我们去除了父母教育水平有任何一方达到大学毕业水平的,或者有任何一方学历达到大专毕业水平以上的,在两种情况下,民工子弟学校与公办学校在两科成绩上的差异也没有减少。注:(1)除第5项外,所有的回归中包括变量与表2的前4列回归一致。第5项中增加了儿童BMI,是否转过学、是否在本学期转过学、父母是否因为子女就读问题而搬过家,以及父母是否经常辅导孩子学习等控制变量。(2)括号中为标准差,***p<0.01,**p<0.05,*p<0.1。其次,由于在民工子弟学校儿童流动率要明显高于公办学校,而经常转学的学生需要更长的时间适应新的校园生活,而且其父母对于子女学业的重视程度也较低,因此民工子弟学校中转学的比例较大会夸大学校的原因而引起的差异。在表3的第4栏,我们将样本限制在仅包括没有转过学的农村户口学生,估计的两类学校成绩之间的差异也与表2中的结果很接近。再次,考虑父母对子女教育的期望,对子女成长的投入不同,以及转学等因素会造成流动儿童成绩的差异,同时这些因素又与其子女进入公办学校就读有着密切的关系,因此忽略这些因素可能造成因忽略变量而引起的偏差。我们在表2模型的基础上,加入了反映儿童身体发育的指标BMI(身体质量指数)、是否转过学、是否在本学期转过学、父母是否因为子女就读问题而搬过家,以及他们是否经常辅导孩子学习等控制变量,表3第5栏显示加入这些新增的控制变量后,两类学校的成绩差异仅比表2中的结果略有下降,其中语文成绩的差距下降到7.8分,数学成绩的差异下降为12.7分。最后,由于学生的成绩与老师的质量,班级的大小以及学校的各种硬件条件有很大的关系,同一个班级学生的成绩具有很强的相关性。在表3的最后一栏的(1)和(3)列,我们把OLS估计结果的标准差调整为班级类内的标准差(cluster standard deviation),即假设误差项εij在同班同学之间具有相关性,而在不同班级之间不相关。结果显示,标准差调整以后明显变大,但两类学校的成绩差距仍然显著。在第(2)和(4)列,我们用工具变量矩估计方法(GMMIV)进行估计,利用加权矩阵调整异方差和类间相关引起的偏差。矩估计结果与表2中2SLS的结果类似,不同学校类型的成绩差异略有增加。最后,考虑到学校类型对于学生成绩影响的异质性,我们通过分位数回归来考察标准化成绩的各个影响因素。根据Buchinsky(1994)的方法,估计学校类型对成绩影响的分位回归模型可以写为:其中Ai表示公式(1)中的Xi和Fi且Qθ(Sij|Mi,Ai)=β1jθMi+A′iβ2jθ,Qθ(Sij|Mi,Ai)表示给定Mi和Ai,Sij的第θ个条件分位值(conditional quantile)。θ为所考虑的分位点,0<θ<1。分位回归的参数β1jθ与β2jθ可以通过最小绝对离差(LAD)的方法来估计:我们以图像形式展示分位回归结果所显示的流动儿童在民工子弟学校与公办学校之间的成绩差距在不同分位点的估计参数。图1和图2分别给出的语文和数学成绩在不同分位点的差异。可以看出,两门成绩的差异都随着分位点的上升而表现出明显下降的趋势。也就是说,民工子弟学校对于那些成绩较差的学生负面影响更大。图1 流动儿童的语文成绩在两类学校的差异:分位数回归结果图2 流动儿童的数学成绩在两类学校的差异:分位数回归结果无论是语文还是数学成绩,不管在哪个分位值上,民工子弟学校相对于公办学校而言对成绩的影响都为负且在统计上显著。比如,成绩处于10%分位数的学生,如果读于民工子弟学校,相对于公办学校其语文成绩要差约10分,数学成绩差为18.6分。对于成绩好一些的学生,就读于民工子弟学校造成的成绩差距要小一些。对于中位数(50%)的学生,学校类型对语文和数学成绩的影响分别为8.2分和13.6分,与OLS结果非常接近。而对于成绩处于90%分位的学生,其影响分别降为5.0分和9.1分。学校类型对于成绩较差的学生影响更大。这一结论对于我们的教育政策特别有参考价值。如果我们更希望帮助那些学习成绩较差的学生(这些往往是家庭背景较差的学生)这个结果表明对于学习较差的学生来说,学校质量对其学习的影响更大。这个结果和国外研究学校质量,老师素质和班级大小与学生考试成绩关系的文献相符。比如Bressoux et al.(2010)的研究表明小班级对于成绩较差的学生正面影响最大,老师的培训对于最差的班级受益最大。为了调整学校类型的自选择引起的偏差,我们同时也采用分位回归的工具变量估计法(Quantile Regression with IV),遵循Chernozhukov and Hansen(2006,2008)文章的思路,我们把分位回归中估计的目标函数定义为:其中Vi=V(Ai,Zi)>0是一个权重。在这里,为简单起见,我们设此权重为1。这时,回归系数为:然后利用格点搜索(grid search)的方法,找到一个最优的β1jθ值,使得γ(βijθ)尽量接近于零。用分位回归的工具变量法的估计结果也显示在图1和图2中。可以看出,经过工具变量的调整以后,语文和数学的成绩差距都缩小了。工具变量估计法的结果不如分位回归的结果那么平滑,在不同分位点的系数跳跃更大一些。但是,总体来看,成绩差异都随着分位点的上升而下降的趋势仍然明显存在。(五)公办学校中上海学生与一直在该校就读的流动儿童的成绩差异最后,如果学校的质量对学生学习成绩的影响比家庭背景更为重要,那么对于同在公办学校的学生来说,是否为上海户口的学生应该在学习成绩上没有太大的差异。虽然在前文提到在我们样本中的公办学校是流动儿童达到一定比例的学校,许多上海户口儿童的家庭背景不及在重点公办学校的学生。但是,从表1的描述统计量中可以看出上海户口的学生无论在家庭背景和自身发育情况都要比流动儿童优越。因此如果在相同学校相同班级就读的上海户口学生成绩与流动儿童没有显著的差异,那么说明从平均水平上看,家庭背景对学生成绩的影响要远远小于学校的影响。我们通过下面的模型比较在公办学校就读的上海学生(A组)和非上海学生(B1组)成绩之间的差异:其中,Sijc表示C班级的学生i在科目j标准化考试成绩。Hic取值为1如果该学生有上海户口,否则为零。估计系数γ1j表示上海学生和非上海学生成绩之间的差异。Xic和Fic包括与公式(1)相同的个人和家庭特征。αjc为表示班级特征的固定效应,包括班级的学生人数,老师的质量以及学校的各种硬件条件等。表4的第(1)列和第(3)列给出了公式(7)的OLS和班级固定效应回归的估计系数。结果显示两组学生的成绩在统计上并没有显著差异,在控制了班级的固定效应以后,上海户籍的学生平均成绩反而要低一些,但这个差距在统计上不显著。由于我们在模型中控制了学生特征和家庭背景变量,因此上海户口学生与流动儿童的成绩差异也随之缩小。为了比较这两组学生成绩的绝对差距,我们在第(2)列和第(4)列去除所有的控制变量,结果显示A组学生在语文和数学的绝对成绩上分别比B1组高1.9和1.8,语文成绩的差异在统计上显著,但数学成绩差异不显著。在控制了班级的固定效应以后,这些差距趋近于零,意味着在相同班级相同的师资条件下,上海户籍的学生并没有比流动儿童的成绩更优异。表4 公办学校中上海学生与一直在该校就读的流动儿童的成绩差异注:(1)在加入表2的控制变量回归中,由于上海学生的父母教育水平较高,因此,这里的父母教育水平分为初中毕业及以下、高中、大专和本科四类;
(2)括号中为标准差,***p<0.01,**p<0.05,*p<0.1。从与公办学校教师的访谈中,我们得知流动儿童的学业成绩在一开始转入公办学校时会明显受到转学经历、方言文化差异和缺乏学前教育等因素的影响,但在一段时间后,流动儿童的学业成绩会渐渐追赶上本地居民学生,也常有拔尖的学生代表就是转入的流动儿童。可见,公办学校的规范管理和教学质量的一致,会使不同户籍的学生成绩趋同,淡化城乡差异。为了进一步分析造成公办学校与民工子弟学校标准化考试成绩的差异的原因,我们对学校软硬件条件进行比较,在可观测到的许多方面民工子弟学校都大大落后于公办学校。首先,民工子弟学校的办学时间普遍较短,投入不足,师生比偏低。民工子弟学校的教师与学生比例明显偏低,班级人数明显较多。公办学校的平均每个老师有11.3个学生,而民工子弟学校的师生比为21.9,是公办学校的两倍。公办学校平均每个班级人数为30.6人,民工子弟学校平均每班有47.4人。从我们与农民工学校老师的访谈中,我们发现大部分民工子弟学校的英语、体育、美术和音乐等科目缺乏专业教师,这些课常常分摊到各主科教师身上。其次,民工子弟学校师资方面严重不足,教师所受到的专业训练不足,流动性偏高。表5对于这两种学校类型的师资情况进行了比较。从教师职称情况来看,民工子弟学校仅有6%的教师有高级职称的,而公办学校高级职称老师比例为23%。同时,民工子弟学校的教师学历水平上也明显低于公办学校。公办学校的大学本科学历教师比例达到59%,而民工子弟学校仅为16%。公办学校教师95%为师范类院校的毕业生,而民工子弟学校这样的老师仅有56%。在民工子弟学校教师教龄和在本校的工作时间明显较短,47%的教师教龄在5年以下,教龄超过10年的教师比例为29%,而公办学校的教师,教龄在5年以下的仅为10%,10年及以上教龄的老师达到85%。民工子弟学校的教师有94%在本校的工作时间低于5年,没有一位老师是在本校工作时间超过10年的。从我们现场调查的结果来看,许多民工子弟学校聘用退休的教师,因此我们在数据中看到民工子弟学校有教龄较长的教师,但在本校工作时间却很短。民工子弟学校教师工资待遇低。民工子弟学校教师的月工资88%集中在1000—3000元,99%的教师工资低于4000元。而公办学校老师月工资低于在4000元的比例仅占4%。同时,大多学校没有把教师的工资激励与教学质量考核挂钩。因为缺乏监管机制,甚至有教师在学校制定的期末考试成绩上帮学生造假,以敷衍文化程度普遍较低的民工家长。办学者随意克扣教师工资的行为也很普遍。这些都增加了在此类学校任教的老师的心理成本,教学质量因此不能保证。另外,公办学校一般对教师家访有明确的规定,但民工子女学校中,教师和家长之间极少联系,这个反馈机制的缺乏很大程度上影响了学生所接受的教育质量。由于民工子弟学校教师的工资待遇低、无福利或激励机制、教学任务超负荷、心理压力大,其教师的流动率要比公办学校高很多,民工子弟学校本学期转入转出的教师比例和为22%,而公办学校的这个比例仅为4%。所有这些,都表明民工子弟学校师资上与公办学校的巨大差距。除师资外,民工子弟学校还存在硬件条件较差、管理不够规范、课程设置不科学等方面问题。这些在其他研究和大众媒体上都有被多次提及。在我们调查的样本中所有的学校都配有学生电脑房、图书室和操场,但其具体设施的差异比较大。最后,学校类型对于成绩的影响也可能包括“同伴效应”的因素。由于民工子弟学校的学生平均来说成绩较差,许多学生可能成绩受周围同学不好的影响也变差。反之,部分流动儿童在转入公办学校后成绩提升很快,也有可能是受到同学好的影响的结果。本文基于在上海20所小学四年级学生进行的实地调研和标准化考试收集的定量数据,分析学校类型对于流动儿童学习成绩的影响。我们发现民工子弟学校和公办学校的流动儿童学生之间成绩差距较大,在控制了家庭和学生个人因素以后,按我们工具变量法估计的结果语文为7分,数学为10分。我们的分析也显示对于学习较差的学生,学校类型的影响更大。鉴于本研究的发现,我们建议政府可以从两方面着手来切实保障流动儿童的受教育权。一方面,流入地政府应大力开放原有的公办学校,如同上海市正在做的一样。另一方面,对于现存的民工子弟小学,教育部门也应该对他们加强管理监督,进行资金上、师资上和教学管理方法上的扶助,建立民工子女学校教师的激励机制,帮助他们尽快提高教学水平。需要指出的是,由于上海市最近几年对民工子弟学校进行改制,投入了相当的经费支持,我们样本中的民工子弟学校已经和最初出现的“放羊式”简易学校有了很大的差别。从全国范围平均来看,有理由认为民工子弟学校与公办学校教学质量的差别比本文揭示的更大。尽管本研究是最早将定性和定量方法结合,并以标准化考试为可比性变量来考察流动儿童教育问题的实证研究,这也只是一个起步,我们相信,围绕流动儿童的教育问题,还有许多值得深入探讨的话题。例如,流动儿童在转入公办学校后,其与同校的本地学生成绩差距是否会逐步缩小?流动儿童在义务教育阶段的成绩,会在多大程度上影响其未来接受教育的机会和就业前景?上海以外其他地区的流动儿童是在接受义务教育方面是否面临同样的情况?对于这些问题的回答,需要更大的调研样本和对流动儿童长期的跟踪调查。*本文原载于《经济学(季刊)》2012年第11卷4期。为阅读及排版便利,本文删去了部分注释与参考文献,敬请有需要的读者参考原文。**封面图选自中国传媒大学电视学院的优秀摄影作品系列《何处为家?——北京流动儿童纪实》。[图源:tvs.cuc.edu.cn]