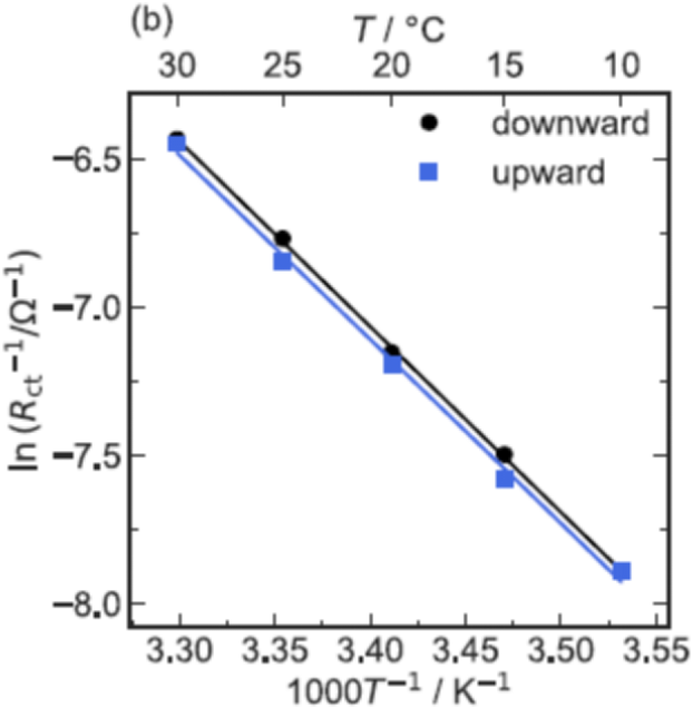
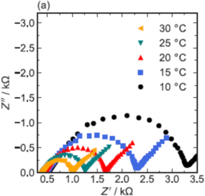
第一作者:Junichi Inamoto通讯作者:Junichi Inamoto通讯单位:日本兵库县立大学 作为一种通过对氧化石墨进行热处理得到的材料,类石墨烯石墨(GLG)具有当电极电势低于Li沉积电势时保持高速充电且不沉积锂金属的优势。然而,影响GLG快速充电能力的因素尚且不清楚。 近日,日本兵库县立大学Junichi Inamoto团队通过电化学阻抗探究影响类石墨烯石墨负极快充能力的因素。研究者通过电化学阻抗法对GLG薄膜的电荷转移电阻和扩散电阻定量评估后发现:GLG/电解质界面处锂离子转移的活化能几乎与报道的石墨相同,但是GLG中的锂离子扩散系数却比石墨高几个数量级;此外,在不同结构参数的GLG比较中,含氧量较低且内部石墨烯层中具有较多气孔的GLG具有较高的锂离子扩散系数。因此可以得出结论,迄今为止报道的GLG的快速充电性能归因于GLG内部锂离子的快速扩散。相关工作以“Insight into the Origin of the Rapid Charging Ability of Graphene-Like Graphite as a Lithium-Ion Battery Anode Material Using Electrochemical Impedance Spectroscopy”为题发表在国际期刊The Journal of Physical Chemistry C上。 【文章详情】模型的建立图1:原始石墨、GO、GLG300、GLG700和GLG900的XRD图谱。(标有*的峰来自用于峰位置校正的硅;GLG300指在300摄氏度下处理的GLG,其他类似) 研究者通过XRD分析证明热处理降低了GLGs的层间距离且降低的层间距,与GO在较高温度下大量含氧基团被去除有关。此外,研究者通过电化学性能分析证明GLG薄膜在结构、表面形貌和电化学性能方面适合作为模型电极。 界面离子转移的影响图2:(a) GLG700薄膜电极在初始充放电循环中的原位EIS图;(b) 首圈充放电期间电荷转移电阻的变化图。图3:(a) GLG700薄膜电极在不同温度下的原位EIS图;(b) 由图a数据得到的阿伦尼乌斯图。(“向下”和“向上”表示温度扫描的方向) 研究者通过对GLG700薄膜电极进行不同电压和不同温度下的EIS分析得出:其层间距离在第一次充电后不可逆地增加,从而降低了电荷转移电阻,这有利于实现GLG的快速充电。另外通过计算得出所有GLG的平均活化能在52-56 kJ mol–1的范围内,这些值与迄今为止报道的石墨活化能保持一致。因此,研究者认为GLG的快速充电特性不能用界面离子转移来解释。 离子扩散的分析图4:石墨和GLGs在0.05、0.1、0.2和0.5 V时的扩散系数。(GLG900-L由在0摄氏度下合成的GO在900摄氏度下进行热处理)图5:(a) 电池中的锂离子位置和扩散路径。(为简单起见,仅显示了GLG模型中带有醚基的底层);(b) 锂离子在GLG(LiC34O2)和石墨(LiC36)中扩散的能垒比较。图6:平衡(实线)和非平衡(虚线)状态下活性材料和电解质中锂离子的摩尔吉布斯自由能曲线比较。 由于GLG高倍率能力的原因不能归因于界面离子转移过程。针对以上情况,研究者着眼于离子扩散过程。研究者通过比较本研究中测得的石墨和GLG的扩散系数,结果证明残余氧气量的减少可能有助于扩散系数的增加。为了研究含氧官能团对锂离子扩散的影响,研究者通过DFT计算来评估GLG中扩散的势垒。研究发现,GLG内部的孔隙数量和低氧含量对锂离子在GLG中的快速扩散具有决定性影响。 快充伴随着大的过电势,当过电势超过一定数值,锂离子的扩散成为唯一的速率决定步骤。并且扩散不仅涉及活性材料中的锂离子扩散,还涉及电解质溶液中的锂离子扩散。因此活性材料内部的扩散速率在快速充电过程中很重要。通过上述结果分析,研究者表明即使在高度优化的实用复合电极中,活性材料内部的锂离子扩散可能是决定快速充电倍率性能的重要因素。 【结果与展望】为了阐明影响GLG优异倍率性能的因素,研究者使用GLG薄膜作为模型电极,通过EIS测量分析了电荷转移电阻和扩散电阻。结果发现,GLG的电荷转移电阻的活化能与石墨相当,表明在GLG/电解质界面的锂离子转移与石墨一样慢。另一方面,GLG内部的锂离子扩散系数比石墨高几个数量级,表明锂离子可以在GLG内部快速扩散。此外,在不同结构参数的GLG比较中,含氧量较低且内部石墨烯层中具有较多气孔的GLG具有较高的锂离子扩散系数。因此可以得出结论,迄今为止报道的GLG的快速充电性能归因于GLG内部锂离子的快速扩散。 Junichi Inamoto, Shinpei Komiyama, Satoshi Uchida et al. Insight into the Origin of the Rapid Charging Ability of Graphene-Like Graphite as a Lithium-Ion Battery Anode Material Using Electrochemical Impedance Spectroscopy. The Journal of Physical Chemistry C.https://doi.org/10.1021/acs.jpcc.2c04780