【研究背景】
锂离子电池 (LIB) 自1991年被索尼公司商业化以来,被广泛应用于消费电子产品、电动汽车 (EV) 和电网储能系统。尽管锂离子电池的研究在过去几十年取得了巨大进展,但是由于其使用的易燃有机电解液,其在滥用条件下的热失控风险仍然具有挑战性。此外,为了进一步将锂离子电池的能量密度推向极限,具有高理论比容量 (3860 mAh g -1)和最低的氧化还原电位 (-3.040 V vs 标准氢电极 (SHE))的锂金属负极被认为是“圣杯”材料。然而,锂金属负极在传统液态锂离子电池的应用中难免会出现锂枝晶问题,导致严重的安全隐患。通过使用不易燃、高机械模量的固态电解质 (SSEs) 代替液态电解液,固态电池 (ASSBs) 可以提供本质安全优势。此外,ASSBs可以实现双极堆叠,从而最大限度地减少电池模块组中的非活性成分,实现更高的能量密度。在各种固态电解质(SSE)候选物(如氧化物、硫化物、聚合物等)中,硫化物固态电解质具有较高的室温离子电导率(10-3–10-2 S cm-1)和良好的可加工性,在全固态电池的实际应用中展现出潜力。
尽管前景广阔,但硫化物基ASSBs中的电化学-机械问题仍然知之甚少。在液态锂离子电池中这些电化学-机械效应(主要由循环过程中活性材料的体积变化引起)已经被广泛报道和研究。然而当涉及到全固态电池时,它们将变得更加复杂和严重。与液态电池不同,ASSBs中的颗粒或电极中产生的内部(机械)应力无法通过刚性SSE快速均匀地传递,从而导致电池内部应力的集中积累和释放。因此,全固态电池中产生的内应力将导致严重的电化学-机械问题,例如活性材料与固体电解质之间的物理接触损失、活性材料颗粒破碎、锂金属负极短路等。这些电化学-机械问题会阻碍离子/电子传输并增加电池阻抗,从而显著恶化电化学性能并阻碍ASSBs的应用。
在电池循环过程中精确测量相应的应力演变对于理解电化学-机械问题至关重要。最早的硫化物基ASSB内部应力测量工作是由 Janek课题组在2016年报道。他们的工作中使用了外部压力传感器来监测固态锂硫电池运行过程中内应力的变化。随后,在各种电池材料和系统中报道了使用外部压力传感器测量内部应力,包括NCM材料、合金负极材料和固态电解质材料。最近,已经广泛应用于液态锂离子电池中的光纤布拉格光栅 (FBG) 传感器被应用到固态电池系统的应力测试中。这些原位应力测量为桥接固态电池中电化学-机械效应与电池电化学性能之间的联系提供了强大的工具。然而,很少有评论文章全面总结固态电池中压力测量的工作原理和实验装置(如外部压力传感器和FBG传感器)以及这些压力测量技术的应用。
【文章简介】
鉴于此,厦门大学杨勇教授课题组就硫化物基全固态电池中内应力的来源、应力测量的工作原理和实验装置,以及这些应力测量技术在硫化物基全固态电池电化学反应研究中的应用等方面的最新进展进行了简要总结和综述。文中提出的精确、原位测量全固态电池中电化学-机械应力以及如何缓冲和抑制内应力演变策略将是未来固态电池研究中的一个重要方向。该综述文章以“Electrochemo-Mechanical Stresses and Their Measurements in Sulfide-Based All-Solid-State Batteries: A Review”为题发表在国际顶级期刊Advanced Energy Materials上,课题组博士研究生顾家宝为本文第一作者。
图1. 电化学机械应力起源、应力测量装置以及在硫化物基 ASSBs 中的应用的综合示意图。
【内容表述】
1. 全固态电池循环过程中活性材料和固态电解质的体积变化以及相应的应力变化概述
全固态电池中内应力主要是由电化学过程中活性材料的体积变化耦合引起的。活性物质的体积变化可以用锂在相应的化合物中的偏摩尔体积来描述。偏摩尔体积被定义为在保持所有其他状态变量不变时(即压力p、温度T和系统中的相量ni),由锂的加入引起的均质体积的微分:
通过积分可以得到嵌/脱锂过程中活性物质的绝对体积变化ΔV:
表1 总结了正负极活性物质材料以及电解质材料在电化学循环过程中由晶体学数据得到的体积变化。
2. 全固态电池中应力测量的基本原理和测量装置(包括外部压力传感器和内置FBG传感器)
2.1 应力测量的基本原理
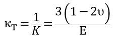
硫化物基全固态电池中活性材料的体积变化与电池系统的压力变化可以通过电池组件的机械性能(包括杨氏模量(E)、剪切模量(G)、体积模量(K)和泊松比(υ))来桥接。
表2 详细总结了活性物质、固态电解质等材料的机械性能,并给出由体积变化到应力变化的基本原理。
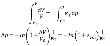
Janek等人提出了一个简单的力学模型来估计ASSB中材料体积变化和压力变化之间的关系。他们假设全固态电池由单一材料(β-Li3PS4玻璃陶瓷电解质)组成,并且固态电解质具有足够的弹性,在系统中表现得像流体,在各方面都受到限制。然后可以由泊松比υ和杨氏模量E组成的等温压缩系数推导出电池内部的压力变化:
通过对等温压缩系数进行积分,可以获得Hencky对数应变。其中V0是初始体积,=Δ𝑉/𝑉0是体积应变:
通过将对数应变线性化,可以得到内应力变化与体积应变εvol和SSE体积模量K之间的近似关系:
在实际实验中,可以通过外部压力传感器或内置光纤光栅传感器测量内应力变化。
2.2 应力测量装置(包括外部压力传感器和内置FBG传感器)
目前在硫化物基全固态电池中报道的应力测量装置主要分为两类:外置压力传感器型和内置光学FBG传感器。前者通过在固态电池系统外部放置压力传感器来监测循环过程中的应力变化,而后者则在电池内部植入光学FBG传感器,通过光纤光栅传感器的布拉格波长偏移与电池物理参数之间的转换间接测量电池系统压力。表3详细介绍了这两种测压装置的结构以及各自的优缺点。
图2. (a, b)外置压力传感器和(c, d)内置FBG传感器装置示意图以及FBG传感器测压原理图(e, f).
表3 比较了外部压力传感器和内置FBG传感器的优缺点。
总的来说,外置压力传感器的主要优点是操作简单,可以直接且无损地监控电池系统中的应力变化。然而,外部压力传感器仅能测得电芯尺度轴向的应力变化。内置FBG传感器需要将光纤引入电池系统,操作复杂,且难免会损坏电池结构。FBG传感器最大的特点是可以在电极尺度上得到轴向和纵向的局部应力。
3. 全固态电池中内应力变化与电化学反应过程之间的关系分析
准确测量全固态电池循环过程中的内部应力变化对于理解电化学-机械效应至关重要。内应力变化的大小将影响电极结构/界面演变的程度,导致电池容量的机械退化。此外,压力测量提供的力学信息还与电化学行为有关,如活性材料的反应机理、电池的荷电状态(SoC)和电池的健康状态(SoH)。本文详细总结了应力测量在深入理解正负极活性材料、非活性物质(粘接剂等)电化学-机械效应中的应用。
3.1 正极活性材料:电化学和力学
层状氧化物正极材料被广泛用于硫化物基ASSB中。Janek课题组通过使用零应变LTO材料作为对电极,系统地测量了不同材料(NCM、NCA和LCO)在循环过程中的压力变化。如图3a-c所示,这三种材料的实验测量压力变化大小类似(10-2 MPa级,取决于面积容量)。此外,三种材料的实验测得的压力变化趋势与晶体学得到的体积变化趋势一致,即NCM和NCA材料的压力在充电过程中降低,在放电过程中升高,而LCO材料则表现出相反的趋势。当匹配相同的正极时,NCM和LCO材料相反的压力变化会导致不同的电化学-机械效应,从而对电池结构造成不同程度的机械损伤。有趣的是,McDowell课题组最近报道当使用锂金属作为负极时,以NCM/LCO为活性材料的ASSB表现出完全不同的工作行为。在相同的操作条件下(电流密度为2 mA cm-2,面积容量为6 mAh cm-2),Li/LPSC/NMC811电池在第一次充电过程中表现出微短路行为(表现为电压突然下降)以及远超理论面积容量的过充容量。相比之下,Li/LPSC/LCO电池在第一个循环中充电正常。这种现象非常有趣,因为它可能包含有关锂金属全电池中产生的“内应力”(正极和负极之间的应力耦合)引起的微短路故障机制的信息。最近,Budiman等人通过有限元分析 (FEA) 对NCM/LGPS/LiIn和LCO/LGPS/LiIn构型电池进行了电化学-机械分析。在这项研究中,作者模拟了由电极体积变化和进一步的机械损伤行为(包括塑性变形、界面脱粘和裂纹扩展)引起的SSE内的应力分布。模拟数据表明,当正极和负极活性材料表现出相反的体积变化时(例如充电过程中NCM正极收缩和LiIn负极膨胀),SSE将发生最严重的机械损伤。虽然当LiIn被Li金属负极取代时,NCM/LCO-Li全电池中的不同电化学-机械效应具有直观意义,但它们对SSE机械损伤的影响以及由此产生的锂金属负极微短路机理仍需进一步研究。富镍层状正极材料的晶体结构设计极大地影响了它们的电化学-机械效应。Jung等人通过原位压力测量研究了两种不同的富镍材料的结构演变:具有随机晶粒取向的商业级Li[Ni0.80Co0.16Al0.04]O2 (NCA80)材料和具有径向棒状晶粒取向的全浓度梯度Li[Ni0.75Co0.10Mn0.15]O2 (FCG75)材料。如图3d所示,在第一次充电过程后,NCA80表现出比FCG75 (-0.30 MPa) 更低的压降 (-0.15 MPa)。该结果直接表明 NCA80中形成了空隙或裂纹。经过一个循环后,NCA80的压力高于FCG75,尽管与FCG75相比,NCA80的晶格中插入的Li+更少(对应的放电容量更低),这表明NCA80电极的机械降解更严重。
与层状氧化物材料相比,转换型正极材料在充放电过程中的体积变化要大得多。Janek课题组在Li0.3In0.7/Li7P3S11/S:Li7P3S11:Ketjen black 50:30:20 wt% 电池中监测了循环过程中的压力变化(图3e)。在他们的实验中,观察到放电过程中压力下降。有趣的是,作者似乎对这个结果感到困惑,因为他们预期放电过程中S8→Li2S是体积增加的过程。事实上,由于压力传感器监测的是电池在σ11方向的合力,放电过程中净压力的降低意味着电池的净体积变化由Li-In负极主导。当在正极侧使用具有较大体积变化的转换型材料(例如Se,其在完全锂化时表现出98%的体积变化)时,净压力变化可能由正极控制。最近,Sun课题组在全固态锂硒电池中证实了这种可能性(图3f)。在他们的实验中,电池的净压力变化是由硒正极的体积变化决定的。然而,由于大多数转化型活性材料不含锂,零应变LTO不能直接用作对电极,解耦单一转化型活性材料电极循环过程中的压力变化仍然是一个挑战。
一些硫化物SSEs可以在特定的电压范围内发生可逆的氧化还原反应,可以作为转化型正极活性材料。然而,这些材料中复杂的氧化还原反应机制仍不清楚。基于电化学反应与特定体积变化(压力变化)之间的高灵敏度和快速响应,通过原位压力测量跟踪电化学-机械变化可用于揭示可能的反应途径。Wang等人报道了使用Li6PS5Cl0.5Br0.5作为正极活性材料的ASSB(In/InLi|LPSCB|LPSCB-MWCNTs)。在这项工作中,作者首次使用压力测量来揭示反应机理。如图3g所示,测得的压力曲线显示在充电过程中具有三个不同区域的非线性行为。考虑到Li-In负极的偏摩尔体积变化为常数(+7.89 cm3 mol-1),说明正极侧至少存在三个不同体积变化的反应。通过比较正极反应的偏摩尔体积变化和Li-In阳极的偏摩尔体积变化,可以进一步给出潜在的反应机理。
图3. 正极活性材料的应力测量与电化学关系
3.2 负极活性材料:电化学和力学
锂金属被认为是负极材料中的“圣杯”。然而,由于硫化物SSEs和Li金属之间的热力学不稳定性,在界面处会产生中间相。由于中间相与锂金属之间的偏摩尔体积差异,界面处中间相的形成和演化将影响电池的压力。因此,压力测量可以为界面演化提供新的电化学-机械视角。Lee等人通过原位监测Li/SSE/Li对称电池中的压力变化,系统地研究了两种代表性SSEs(LSPS和LPSCl)/Li界面演变(图4a)。与LPSCl对称电池相比,LSPS对称电池在开路电压(OCV)下表现出更明显的压力下降。这是由于LSPS与锂金属接触时会形成电子导电的Li-Sn合金,从而使界面反应不断进行。作者进一步研究了LSPS对称电池中压力变化与电化学过程之间的关系。如图 4b所示,由于电化学界面的形成,对称电池压力下降得更快。有趣的是,当对称电池中发生由锂枝晶穿透引起的短路时,压力变化趋于平稳(dP/dt接近于零)。这种电化学机械响应特征表明,压力测量可以作为检测ASSB锂金属负极短路故障的有力工具。
Lim等人最近报道的一项工作证实了这种可能性。如图4c、d所示,作者监测了NCM/无涂层锂金属电池和 NCM/LixIn涂层锂金属电池在循环过程中的原位压力变化。由于锂沉积/剥离过程中的体积变化远大于NCM材料,因此当电池正常循环时,周期性线性压力变化主要由锂金属负极主导。在NCM/无涂层锂电池中,当发生短路行为时,压力不再线性变化。这是由Li枝晶在SSE内由机械应力引起的缺陷中的渗透和生长引起的。作者进一步归一化了压力变化差异(Δ(ΔP))相对于每个循环的放电容量 (Q) (表示为Δ(ΔP)Q) (图4e)。Δ(ΔP)Q的减少与SSE内Li枝晶的穿透生长有关。因此,通过监测Δ(ΔP)Q值可以有效预测Li枝晶的生长机制。
由于严重的界面反应和微短路问题,锂金属短期内难以实际应用。作为替代方案,锂合金负极因其高比容量和低电位而有望实现高能量密度的ASSB。其中,Li-In合金是实验室应用最广泛的合金负极材料。虽然Li-In负极和硫化物SSE在热力学和动力学上是稳定的,但Li-In负极在循环过程中也会表现出巨大的体积变化,从而导致电池出现严重的电化学-机械问题。最近,Tarascon课题组将FBG传感器引入到ASSB 中,并系统地测量了Li-In负极内部和负极/SSE界面(以LTO作为对电极)的应力演变。作为对比,他们还使用了外置压力传感器来测量压力变化。在Li-In负极内部的压力测量中,虽然外部压力传感器和FBG传感器测得的压力变化都是对称的、周期性的,但FBG传感器监测到的应力变化比外部压力传感器测到的压力变化大一个数量级传感器(图4f,g)。特别值得指出的是,在这项工作中,首次通过FBG传感器的“双折射效应”监测了Li-In负极/SSE界面之间的局部应力演变(图4h,i)。测量界面处的这种局部应力演变对于更深入地了解ASSB中的电化学-机械效应至关重要。除了Li-In阳极,Han等人系统地研究了不同复合合金负极(Sb、Sn和Si)的ASSB中的压力演变(图4j-l)。由于正极侧NCM111的体积变化小于合金负极,电池净压力变化由合金负极控制。合金阳极的一个典型特征是在第一个循环期间发生的结构变化,这在机械信息中反映为第一个循环期间最严重的应力滞后和不可逆性。该结果表明压力测量对电极结构演变响应的敏感性。
图4. 负极活性材料的应力测量与电化学关系
3.3 非活性成分:电化学和力学
除活性材料外,复合电极中非活性组分(SSE和粘接剂)的机械性能对电极结构稳定性同样重要。Wang等人研究了具有不同结晶度(7525-glass和晶态β-Li3PS4)的硫代磷酸盐SSE对ASSB电化学性能的影响。如图5a所示,两个SSE的氧化还原过程可以通过循环伏安法 (CV) 测试和原位压力监测与压力变化相关联。β-Li3PS4具有比7525-glass更显著的氧化还原反应,导致更严重的体积变化(压力变化)。由于SSE与正极活性物质之间的体积变化不匹配,会发生更严重的物理接触损失和裂纹(图5b),从而恶化电池的电化学性能。Teo等人报道的工作中也得出了类似的结论。作者通过原位压力测试研究了玻璃态 (1.5Li2S-0.5P2S5-LiI) 和晶态 (Li6PS5Cl) 硫代磷酸盐SSE的电化学机械行为(图5c)。同样,晶态Li6PS5Cl具有更明显的氧化还原反应和压力变化。与硫化物SSEs相比,卤化物SSEs由于具有更宽的电化学稳定性窗口和更好的化学稳定性,最近引起了极大的研究关注。然而,硫化物和卤化物SSE之间的机械性能差异仍不清楚。Han等人通过压力测量,研究了硫化物(Li6PS5Cl0.5Br0.5,LPSX)和卤化物(Li3YCl6,LYC)SSEs的电化学机械效应对电池性能的影响。如图5d所示,采用LPSX SSE的多晶NCA电极在第一次充电过程开始时显示出突然的压力下降。此外,与P/LYC相比,P/LPSX的DEP曲线的最小点(可以看作是SOC指标)向正方向移动,反映了LPSX更严重的分解反应(或Li+脱出)导致的充电延迟。因此有必要将SSE的电化学-机械效应视为电极结构机械稳定性的设计因素。合适的SSE候选者应同时考虑其电化学稳定性窗口和机械性能。
大面积电极膜对于硫化物基ASSB的实际应用是必需的。粘合剂在保持微观结构完整性方面起到关键作用,因此在柔性电极的制备中是不可或缺的。Kwon等人报道了一种新型硫化丁二烯橡胶 (BR) 粘合剂,具有优异的机械性能,可以部分抑制循环过程中的电化学-机械效应,从而提高电池的电化学性能。作者监测了使用原始和硫化BR粘接剂的NCM/LTO电池循环过程中的压力变化。如图5e所示,电池整体压力变化趋势与(去)锂化过程中富镍层状氧化物的晶格体积变化一致。然而,在放电深度较低的情况下,使用原始BR粘接剂的电池显示出比使用硫化BR粘接剂的电池更高的应力值。作者认为更高的压力变化反映了由电化学-机械降解引起的裂缝和/或空隙的形成。
图5. 非活性成分的应力测量与电化学关系
3.4 电池荷电状态(SOC)与电池应力变化的相关性
准确估计电池的充电状态 (SOC) 至关重要,但也具有挑战性。许多基于可测量参数(例如,电压、电流、阻抗及其微分)的电化学技术已被开发用于估计电池的SOC。然而,由于这些技术通常需要在低电流密度或开路电位下进行测量以排除极化的影响,同时需要进行复杂的计算,因此SOC的估计精度会随着电池老化而降低并变得更加复杂。电池压力和体积变化(与电化学过程相关)之间的对应关系使得粗略但快速地跟踪SOC变化成为可能。通过压力测量估算电池SOC的灵敏度和简单性已在液态电池中得到证明。由于整体材料的固有刚性,ASSB中的压力变化会更加明显。因此,压力测量可以为估计ASSBs的SOC提供一种新的工具。Jung等人通过原位微分电化学压力微分法 (DEP)追踪NCM/Gr全电池的SOC。图6a-c显示了不同n/p比的NCM/石墨电池的电压曲线和压力变化(ΔPGr)。ΔPGr根据NCM/Gr电池的压力变化减去NCM/LTO电池的压力变化估算。结果表明,随着n/p比的增加,DEP最小值(图中的红色菱形)在充电过程中向正方向移动。最大值在放电过程中向负方向移动。因为总的Gr电极体积变化是由Li+嵌入(或脱嵌)导致,这一观察结果表明DEP与特定SOC之间存在关联。与传统的基于电压的估算方法相比,压力测量对SOC更敏感(特别是对于循环过程中具有电压平台的材料,例如LFP),从而更便于估算SOC。此外,由于压力可以瞬时响应电极中的锂含量,与传统的安时计数法相比,可以有效检测由自放电引起的SOC差异。
图6. (a-c) NCM/Gr电池各个电极的充电放电电压曲线、相应的压力变化曲线 (ΔP) 和DEP曲线 (dP/dt)。(d-f) 使用 55:45 wt% NCM-811:LCO正极复合材料进行应力补偿的示意图。
【结论】
通过外部压力传感器或内置光学FBG传感器,可以获得固态电池在循环过程中的内部应力变化。本综述概述了最近关于应力测量技术的工作及其在硫化物基 ASSB 中的应用。预计未来几年,包括硫化物基多晶硅在内的多晶硅应力(压力)测量技术将得到快速发展,下文概述了该技术的一些未来前景。
1)压力(或应力)测量技术的准确性和分辨率需要进一步改进。例如,在研究体积变化较小的活性电极材料(如NCM材料)时,需要应力分辨率高于满量程的0.01%的压力传感器。在使用外置压力传感器的压力测量实验中,机械部件松弛引起的压力变化干扰是不可忽略的。因此,需要合理的设计尽可能保持压力基线稳定。在许多使用外置压力传感器的压力测量实验中,实际测量的压力是正负极应力变化的总合力的相加,而这两个电极的应力变化的贡献往往是不一致的。因此,有必要分别解耦正负极应力贡献。含锂和不含锂活性材料组成的电极的应力解耦方法不同。含锂正极或负极活性材料,如NCM、LCO、Li2S、Li金属、Li-In合金等,可直接用零应变LTO作为对电极来解耦另一侧电极应力。对于不含锂的活性材料,如S、石墨、Si等,其对应电极的应力变化更难解耦。使用LTO电极作为桥梁是一种可行的方法,可以从全电池的应力变化中扣除另一个电极的应力贡献。此外,通过使用(电)化学预锂化的LTO作为对电极,已经在液态电池体系中被证明可以解耦单个电极的压力/体积变化。
2)应重视电极局部应力测量。在电池循环过程中,电极内部不均匀的电化学反应会导致局部应力分布不均匀,导致电池严重的电化学-机械性能退化。显然,仅通过单个外部压力传感器无法测量局部应力。使用光学FBG传感器能够在一定程度上获得局部应力信息。在后续实验中,更复杂的应力测量方法,例如压力传感器阵列或多组光学FBG传感器的组合,可能能够获得电极/电池/模块级别的局部应力分布的更详细信息。
3)应更仔细地考虑和分析内部应力源的复杂性。以层状氧化物材料为例,液态电池中的NCM材料会产生气体析出,其来源于电解液/表面杂质分解和高压下晶格氧的释放,主要成分为CO2和/或O2。有趣的是,最近的研究表明,在硫化物基ASSB中也可以观察到由于副反应而产生气体。活性物质的这种不可逆结构变化也是电池不可逆应力的来源之一。Janek等人首次在硫化物基全固态电池复合正极中提出“应力平衡”的概念。他们提出在复合正极中使用以55:45质量比混合的NCM/LCO两种活性材料。由于NCM和LCO在充放电过程中体积变化相反,复合正极中产生的应力会相互抵消(图6d-f)。然而,考虑到电池内部应力的变化来源于正极和负极引起的应力耦合,仅优化一个电极的应力平衡是不够的。一种可能的方法是为硫化物基ASSB设计应力补偿装置,通过外部操作保持压力恒定,缓解电化学-机械问题。
总之,尽管应力(压力)测量技术是直接检测内部应力变化的有力工具,但为了关联电池中电化学反应与内部应力演化之间的关系,仍然需要多种表征工具的组合理解和解决硫化物基 ASSB 中这些复杂的电化学机械问题。
J. Gu, Z. Liang, J. Shi, Y. Yang, Electrochemo-Mechanical Stresses and Their Measurements in Sulfide-Based All‐Solid‐State Batteries: A Review. Advanced Energy Materials, 2022.
https://doi.org/10.1002/aenm.202203153
杨勇老师课题组:
https://yanggroup.xmu.edu.cn/
2022-12-04
2022-12-03
2022-12-03
2022-12-03
2022-12-03
2022-12-03
2022-12-02
2022-12-02
2022-12-02
2022-12-02