第一作者:Alma Mathew
通讯作者:Daniel Brandell
通讯单位:瑞典乌普萨拉大学
LiNi0.5Mn1.5O4 (LNMO)是一种非常有前景的锂离子电池正极材料,具有能量密度高、不含昂贵的钴元素等特点。但由于Ni、Mn等元素容易溶解于电解液中,电池循环稳定性不佳,亟需深入了解LNMO正极的电化学特征并对其进行改性以抑制过渡金属离子的溶出问题。通过在LNMO表面构建钝化层减少电解液与电极材料的接触,是解决上述问题的良好方法之一,而一些聚合物粘结剂除了具有粘合电极组分的功能之外,还能够形成稳定的钝化层,有望解决LNMO的问题。其中,腈类聚合物含有强极性的吸电子-CN基团,使其具有良好的粘结能力、高电压稳定性及离子导电率,是潜在的锂离子电池正极粘结剂之一。
瑞典乌普萨拉大学Daniel Brandell教授等人利用聚丙烯腈作为粘结剂,应用于LNMO正极上,深入研究了PAN与电极材料的相互作用以及PAN用量对电池性能的影响,揭示了粘结剂对LNMO正极性能衰退的影响机理,相关文章以 “Understanding the capacity fade in polyacrylonitrile binder-based LiNi0.5Mn1.5O4 cells” 为题发表在国际知名期刊 “Batteries & Supercaps” 上。
1. 表面化学性质
图1展示了含不同粘结剂的LNMO正极的EDX Mapping图像,相比于PVDF-HFP,高极性的PAN粘结剂更能均匀的覆盖LNMO颗粒,形成钝化层,减少其与电解液的接触,有望缓解LNMO中金属离子溶出问题。
表 1. 原始电极的EDX Mapping图: a)和c) 使用2.5PAN,以及b)和d) 使用2.5PVdF-HFP粘结剂。
2. 电化学性质
具有不同粘结剂含量的LNMO正极的循环测试结果如图2a所示,含2.5 wt% PAN (2.5PAN)的LNMO正极表现出最佳的循环稳定性,循环95圈后放电容量为135 mAh/g,而具有最高PAN含量的电极则衰减最快,降低至64 mAh/g,图2b中的库伦效率也说明了这一问题。PVDF-HFP粘结剂的循环性能如图2c所示,相比之下,无论含量如何,含PVDF-HFP粘结剂的LNMO正极都表现出更为优异的循环稳定性。LNMO电池性能随PAN粘结剂含量增加而降低,这说明了PAN会引发一些副反应,导致LNMO正极的性能衰退。
图 2. a) 和b) 含不同浓度PAN的LNMO电极的循环性能及库仑效率图,c) 和d) 含不同浓度PVDF-HFP的LNMO电极的循环性能及库仑效率图。
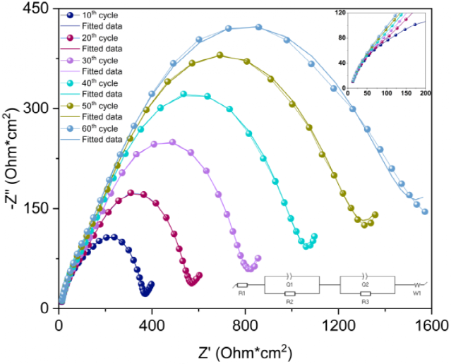
3. 间歇电流中断法及电化学阻抗图谱
为了理解PAN基LNMO正极的瞬时阻抗变化,对其进行了间歇电流中断测试(ICI),结果如图3所示,在前十圈循环中,PAN与PVDF-HFP基电极的阻抗差异不大,但循环次数达到100次后,PAN基电极表现出更大的阻抗,这说明该电极长循环过程中容量的下降与阻抗的增长有关。这一问题的原因之一是电解液分解产物堆积,使得电极内部导电网络被破坏。
除了ICI测试之外,还对电池进行了电化学阻抗图谱分析,如图4所示,随着循环圈数的增加,界面阻抗不断增加,这说明电极极化的增加与电极表面的变化有关,而不是源于电解液自身的降解。
图 3. 10PAN及10PVDF-HFP基LNMO半电池的ICI测试结果。
图 4. 20PAN-LNMO电池的电化学阻抗图谱。
4. 综合充放电电压曲线
为了确认PAN的分解或降解机理,对其进行了综合充放电曲线分析(SCPV),即将其充放电曲线分成两个区域,分别是低电压区(V < 4.3 V)及高电压区(V > 4.3 V),如图5a所示。为了准确获得副反应的电荷量,使用了玻碳电极代替LNMO电极,并在电极中加入了一定量的PAN或PVDF-HFP粘结剂,并进行充放电测试,其测试结果如图5b,c所示,相比于PVDF-HFP,在PAN电极中产生了更高的电荷量,这说明PAN在循环过程中的氧化分解更为严重。
图 5. a) LNMO的电压分布曲线,b) 20PAN与c) 20PVDF-HFP电极中通过的电荷量。
5. 在线电化学质谱
为了确认PAN的分解路径及气态分解产物,对其进行了在线电化学质谱(OEMS)分析,为了避免金属锂/电解液反应的干扰,选择磷酸铁锂电极作为该测试的对电极,其测试结果如图6所示,CO2及POF3气体都表现出与电压的相关性。另外,在循环2圈后,PAN基PVDF-HFP电极产生的CO2的量分别为380 nmol 和 401 nmol,几乎可以认为是相等的,POF3气体的趋势也一样,这说明这两种与电压相关的气体的产生,与粘结剂的选择无关。另外,在测试过程中,H2是持续产生且与电压没有明显相关性的,在测试刚开始就已经开始产生了,这说明H2是通过自催化的化学反应产生的,而PAN电极中产生了更大量的H2,这说明PAN的存在促进了H2的自催化,从而导致了电极的性能恶化。
图 6. 使用含(a) 20PAN和(b) 20PVdF-HFP粘结剂的LNMO电池的气体析出速率及相应充放电曲线。
6. XPS图谱
利用XPS检测了循环100周后的电极的表面分解产物成分,如图7所示,相比于原始电极,在循环后电极的N 1s谱中可以看到两种不同的含N组分,包括C=N及C≡N,说明PAN经历了一定的降解,其分解路径如图8所示,生成了环状分子产物,而后可能会进一步转化为其他的产物,结合OEMS结果可知,这些产物的存在形式不是气态,因此会残留在电极表面。
图 7. LNMO电极的XPS图谱:原始20PAN a) C 1s, b) N 1s,循环20PAN电极C) C 1s和d) N 1s。
图 8. PAN的分解示意图。
7. 溶解测试
为了测试PAN粘结剂在不同电解液溶剂中的溶解情况,把PAN浸泡于溶剂中。如图9所示,PAN能够完全溶解于EC中,但无法溶解于DEC中,在LP40电解液中PAN则会发生溶胀,对电池性能会产生一定的影响,如粘结能力降低,使得电极材料从中脱落。
图 9. PAN在电解液溶剂中的溶解实验。
腈类化合物通常被认为具有较高的氧化稳定性,其稳定性通常被认为可超过LNMO正极的工作电位。在本文中,作者将PAN作为LNMO的粘结剂,并发现随着粘结剂浓度的升高,相应的电池表现出更迅速的容量衰减,这与最初的假设相反。电化学分析和ICI测试表明,由于PAN的降解和寄生反应,电极内阻不断增加,XPS结果也验证了这一点。因此,应该谨慎地在高压电池中使用聚腈类物质。另一方面,其他电化学稳定性较低的粘结剂,如CMC、海藻酸钠等,也与LNMO正极相容性良好,这说明粘结剂的电化学稳定性并不一定是能够实现稳定正极的关键。
Alma Mathew, Casimir Misiewicz, Matthew J. Lacey, Satu Kristiina Heiskanen, Jonas Mindemark, Erik Berg, Reza Younesi, Daniel Brandell. Understanding the capacity fade in polyacrylonitrile binder-based LiNi0.5Mn1.5O4 cells, Batteries & Supercaps, 2022, 202200279.DOI: 10.1002/batt.202200279.
https://doi.org/10.1002/batt.202200279
2022-09-23
2022-09-23
2022-09-23
2022-09-23
2022-09-23
2022-09-22
2022-09-22
2022-09-22
2022-09-22
2022-09-21