【研究背景】设计允许离子/电荷快速传输的材料构型与界面,对于储能电极材料开发至关重要。通过自组装将不同分子构建成多级有序或超晶格结构,可实现对电极材料体相/界面相的精细调节,其性能取决于构筑分子的空间排布和相互作用。传统分子单元由于结构简单、缺乏多重作用位点和组装驱动力,导致复合材料微纳结构与界面的调节力度有限。多酸(POM)是一类过渡金属离子(如MoⅥ,WⅥ,VⅤ,NbⅤ和TaⅤ)依托氧原子连接而成的多核金属氧簇,具有种类多样、尺寸均一、表面作用与氧化/还原性质丰富等特征,可作为新型组装单元实现对储能材料结构与性能的多重调节。然而,由于POM团簇尺寸较大、表面化学作用多样,对POM团簇表面作用、空间排布、取向的有序调节存在巨大挑战,阻碍了POM组装体电极材料的发展和应用。 【工作简介】近日,西安交通大学魏巍研究员课题组以POM团簇作为储能材料的构筑基元和异质界面的调节单元,针对性选用三嗪环共轭层状分子(CTA)与配位金属离子(Co2+)作为连接介质(CTA-Co)、诱导POM团簇空间分级组装,合成出一系列POM团簇呈一维线性排列、二维限域分布的超晶格结构。所开发的连接介质和组装方法适用于不同类型/尺寸的POM团簇客体单元,包括(NH4)2Mo4O13、(NH4)6Mo7O24、(NH4)4Mo8O26和H3PMo12O40。通过精细结构表征、结构演化规律和理论计算模拟揭示:POM团簇和连接媒介存在两种空间配位构型、超晶格独特的“堆叠-剥离-再堆叠”组装形成机制,实现了从分子水平上精细调节POM组装材料及其界面构型的目的。上述POM超晶格赋予其硫化衍生物丰富的插层/反应位点,以及多孔、稳固的界面作用,作为钠离子电池(SIB)负极时显示出高的比容量、优越的倍率特性和长循环稳定性,超过传统分子单元组装制备的金属化合物类负极。该文章以Spatially Guided Assembly of Polyoxometalate Superlattices and Their Derivatives as High-Power Sodium-Ion Battery Anodes为题,发表在国际权威期刊ACS Nano上。通讯作者为西安交通大学化学学院魏巍研究员,第一作者为西安交通大学博士研究生巫云萍。 【内容表述】由于POM自身的大小或形状与环境分子难以相容,选用常规的有机、无机分子或离子(如表面活性剂、金属离子等)作为调节剂,难以实现对POM组装行为及其空间排布形态的有效调节。针对此,本文设计出一种具柔性的CTA-Co二维连接与限域介质,用来引导POM团簇的空间组装过程。其中,CTA由三聚氰胺和三聚氰酸通过氢键连接形成2D层状结构,含有丰富共轭电子和氨基官能团,可与POM团簇和金属离子产生强的电子耦合和配位作用。此外,该介质提供了多齿螯合位点和二维限域环境,在POM团簇组装过程充分发挥电子和空间诱导效应,实现POM单元在分子层面有序排布,形成多级有序超晶格结构。 首先,我们以(NH4)6Mo7O24(Mo7)为构筑基元、CTA-Co为连接介质,构建了Mo7-Co-CTA超晶格组装体。SEM、TEM表征显示了Mo7-Co-CTA呈均匀的柱状体结构,分散度高(图1b、c)。HAADF-STEM图揭示了柱状体内部呈清晰的明暗条纹交替排列结构(图1d、e)。根据组装单元的原子序数差异,推测明暗间隔条纹源于Mo7团簇在空间上被CTA层状介质分隔,组装成一维线性排列、二维限域分布的超晶格结构。周期性亮条纹的宽度约为8.0 Å(图1f),与Mo7单元的晶格参数(图1a内嵌图)很好地吻合。以上结果说明,Mo7团簇在Co(Ⅱ)配位和CTA限域驱动作用下实现了空间有序组装(图1g-i)。图1. Mo7-Co-CTA组装体结构表征:(a)XRD谱图(插图为Mo7几何形状和参数),(b)SEM图,(c-f)HAADF-STEM图,(g)Mo7-Co-CTA的TEM及对应元素分布图,(h)柱状组装体末端TEM图,(i)超晶格组装体的结构模型图。
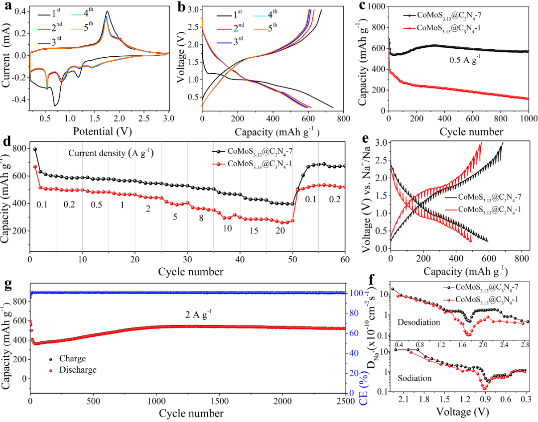
采用红外光谱(FT-IR)、X射线光电子能谱(XPS)和X射线吸收谱(XAS)表征了Mo7-Co-CTA中Co的形态及其多重配位环境。FT-IR光谱中[MoO6]和[Mo7O24]6-的伸缩振动峰位置保持一致,表明水热组装中Mo7团簇结构保持完整。通过XPS对Mo、Co和O元素的化学环境和电子状态分析,证实了Co不仅和POM团簇间存在配位作用,同时与CTA具有配位作用。Mo7-Co-CTA中Co的k边X射线近边吸收谱(XANES)证实其氧化态接近+2;扩展X射线吸收精细结构(EXAFS)和小波变换表明Mo7-Co-CTA组装体中Co以两种配位构型和五配位结合形式存在。通过对Mo7-Co-CTA中FT-EXAFS数据进行拟合得出:Co(Ⅱ) 通过与N原子部分螯合、锚定到CTA片层中,并进一步与POM团簇表面Ot原子配位连接,在CTA二维限域空间内起到调节POM团簇线性排列的效果。图2. Mo7-Co-CTA化学结构表征:(a)FT-IR光谱,(b)Mo 3d、(c)Co 2p和(d)O 1s高分辨XPS谱图,(e)Co-K边XANES图,(f)Co-K边FT-EXAFS光谱和(g)k2加权小波变换的Co-K边FT-EXAFS等值线图,(h)Co-K边在R空间(插图为k空间))FT-EXAFS拟合曲线。 基于时间依赖实验,我们提出了超晶格组装体独特的“堆叠-剥离-再堆叠”形成机制:CTA分子与Co(Ⅱ)预先组装成层状CTA-Co;POM团簇通过与Co2+的强配位和CTA的共轭电子作用,从最外层将CTA-Co逐层剥离并充分暴露活性位点,在POM团簇的连接下剥离片层重新堆叠;层间连接的POM团簇在Co(Ⅱ)配位原子和CTA空间限域作用下,重排形成1D线性连接、2D平行排列、3D层层堆叠的超晶格结构。参照上述时间依赖实验进行理论计算建模,发现逐渐增加Mo7数量(从1到2个,再到3个),POM团簇在层状CTA基底上呈规整的线性排列模式,基于模型III测量的POM线性排列宽度为8.1 Å,与图1中的周期性亮条纹的宽度一致。此外,我们发现随着Mo7团簇数目增加,三种组装构型的结合能呈明显下降的趋势,说明随着Mo7团簇数量增加,沿CTA层间线性排列是一个热力学能降低的自发组装过程。图3. (a-e)不同时间段Mo7-Co-CTA组装中间体的SEM图,(f)不同Mo7团簇数目下组装体的优化结构模型Ⅰ、Ⅱ、Ⅲ的顶视图和对应结构能量,(g)CTA的N 2p轨道和Co 3d轨道的PDOS分布图,(h)Mo7的O 2p轨道和Co 3d轨道的PDOS分布图。 从分子水平调节构建的POM超晶格赋予其衍生物独特的微纳结构特征,可用作高效钠离子电池(SIB)负极材料。如图4所示,经硫化的POM超晶格衍生物CoMoS3.13@C3N4-7仍保持完好的柱状体结构;内部由丰富的CoMoS3.13精细晶粒组成,且均匀地嵌入C3N4薄壁包裹层中。HRTEM图清晰地显示了Mo7团簇衍生的CoMoS3.13晶粒具有丰富的晶界,且暴露出宽的晶格间距0.62和0.25 nm,有利于促进较大半径Na+插层并缩短其在CoMoS3.13中的传输路径。TEM元素映射图证明了C、N、Co、Mo和S元素的均匀分布,进一步证实了Mo7组装体发生均匀地硫化转化。此外,外部包覆的C3N4多孔框架结构,有利于加快储能循环过程中的离子传输,并缓解活性晶粒反复充放电过程中的体积膨胀。图4. 组装体衍生物CoMoS3.13@C3N4-7结构表征:(a)SEM图,(b)TEM图,(c)XRD图谱,(d-e)TEM图,(f-g)HRTEM图,(h)TEM及对应的元素分布图。 基于半电池构型测试了CoMoS3.13@C3N4-7作为SIB负极材料的电化学性能。在0.5 A g-1的电流密度下,经过1000次循环,CoMoS3.13@C3N4-7电极仍保留570.5 mAh g-1的高可逆容量,远高于以NaMoO4为组装单元的对比电极材料CoMoS3.13@C3N4-1(120.0 mAh g-1)。当电流密度从5 A g-1逐渐增加到20 A g-1,CoMoS3.13@C3N4-7只显示出轻微的可逆容量降低;在20 A g-1的高电流密度下,仍保持有401.6 mAh g-1的可逆容量,明显高于CoMoS3.13@C3N4-1(276.2 mAh g-1)。进一步通过恒电流间歇滴定技术(GITT)证实了CoMoS3.13@C3N4-7内部Na+嵌入/脱出过程中的扩散系数均大于CoMoS3.13@C3N4-1电极。并且CoMoS3.13@C3N4-7电极在2 A g-1的大电流密度下经历2500次循环后仍保持较高且稳定的可逆容量(~521.1 mAh g-1),且库伦效率(CE)超过99.9%,明显优于传统的金属化合物类SIB负极材料。图5. CoMoS3.13@C3N4-7电极电化学性能测试:前5圈的(a)CV和(b)GCD曲线,CoMoS3.13@C3N4-7和CoMoS3.13@C3N4-1电极在0.5 Ag-1电流密度下的(c)循环稳定性和(d)倍率性能,(e,f)两种电极的GITT曲线和钠离子扩散系数对比,(g)CoMoS3.13@C3N4-7电极在2 A g-1电流密度下的长循环性能和库伦效率。
【结论】本工作以POM团簇作为材料组装单元和界面化学调节单元,选用柔性多齿共轭三嗪环与金属离子配合物CTA-Co为连接媒介,合成了一系列POM团簇呈一维线性排列、二维限域分布的超晶格结构,由此衍生构建了具有高电化学活性和稳固结构的SIB负极材料。研究内容实现了从空间分子水平上构建多级有序结构的团簇组装体,赋予了POM团簇衍生物优越的微纳结构和界面特征,在储能材料开发和应用中展现出巨大发展潜力,为推进POM材料的多级有序组装和能源存储与转化应用提供了参考实例。 【文献详情】Yunping Wu, Sheng Chen, Caihe Bai, Shuwen Niu & Wei Wei*, Spatially Guided Assembly of Polyoxometalate Superlattices and Their Derivatives as High-Power Sodium-Ion Battery Anodes. ACS Nano 2022https://doi.org/10.1021/acsnano.2c09796 【作者简介】魏巍,西安交通大学“青年拔尖人才”,特聘研究员,博士生导师。研究方向为功能型碳基复合材料的结构设计、可控合成及其在能源储存和转化领域的应用。课题组在无机物/高分子和碳纳米管/石墨烯等纳米结构复合材料的组装制备,以及在新型二次电池、超级电容器、清洁能源电催化剂等应用方面取得了重要成果,研究成果发表在J. Am. Chem. Soc., Angew. Chem. Int. Ed., Adv. Mater.和ACS Nano等重要国际权威杂志上,多篇论文入选“基本科学指标数据(ESI)”高被引论文。Email:wwei.mc@mail.xjtu.edu.cn