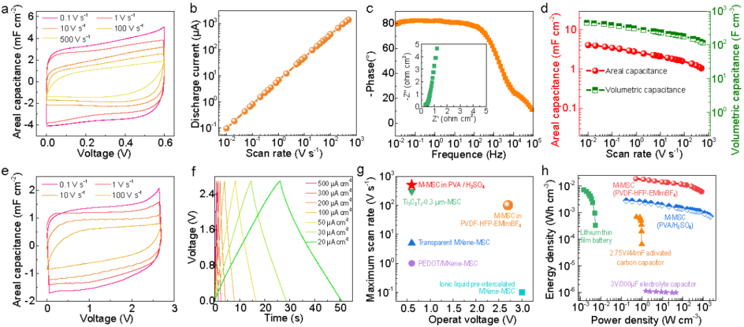
​吴忠帅&陆瑶&成会明院士NSR: 高系统性能和高集成度的单片集成微型超级电容器模块

Energist 能源学人