阅读此篇文章,你需要有以下知识基础
Java内存模型,可见性问题 CAS HashMap底层原理
我们知道,在日常开发中使用的HashMap是线程不安全的,而线程安全类HashTable只是简单的在方法上加锁实现线程安全,效率低下,所以在线程安全的环境下我们通常会使用ConcurrentHashMap,但是又为何需要学习ConcurrentHashMap?用不就完事了?我认为学习其源码有两个好处:
我抛出以下问题:
接下来,带着问题来继续看下去,欣赏并发大师精妙绝伦的并发艺术作品(以下讨论基于JDK1.8)
此节定律描述均来自《Java并发编程实战》一书
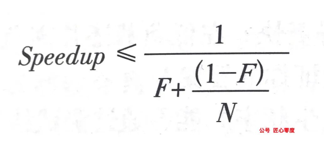
假设F是必须被串行执行的部分,N代表处理器数量,Speedup代表加速比,可以简单理解为CPU使用率此公式告诉我们,当N趋近无限大,加速比最大趋近于1/F,假设我们的程序有50%的部分需要串行执行,就算处理器数量无限多,最高的加速比只能是2(20%的使用率),如果程序中仅有10%的部分需要串行执行,最高的加速比可以达到9.2(92%的使用率),但我们的程序或多或少都一定会有串行执行的部分,所以F不可能为0,所以,就算有无限多的CPU,加速比也不可能达到10(100%的使用率),下面给一张图来表示串行执行部分占比不同对利用率的影响:
由此我们可以看出,程序中的可伸缩性(提升外部资源即可提升并发性能的比率)是由程序中串行执行部分所影响的,而常见的串行执行有锁竞争(上下文切换消耗、等待、串行)等等,这给了我们一个启发,可以通过减少锁竞争来优化并发性能,而ConcurrentHashMap则使用了锁分段(减小锁范围)、CAS(乐观锁,减小上下文切换开销,无阻塞)等等技术,下面来具体看看吧
HashMap的底层数据结构这里简单带过一下,不做过多赘述:大致是以一个Node对象数组来存放数据,Hash冲突时会形成Node链表,在链表长度超过8,Node数组超过64时会将链表结构转换为红黑树,Node对象:
static class Node<K,V> implements Map.Entry<K,V> {
final int hash;
final K key;
volatile V val;
volatile Node<K,V> next;
...
}
值得注意的是,value和next指针使用了volatile来保证其可见性
在JDK1.8中,初始化ConcurrentHashMap的时候这个Node[]数组是还未初始化的,会等到第一次put方法调用时才初始化:
final V putVal(K key, V value, boolean onlyIfAbsent) {
if (key == null || value == null) throw new NullPointerException();
int hash = spread(key.hashCode());
int binCount = 0;
for (Node<K,V>[] tab = table;;) {
Node<K,V> f; int n, i, fh;
//判断Node数组为空
if (tab == null || (n = tab.length) == 0)
//初始化Node数组
tab = initTable();
...
}
此时是会有并发问题的,如果多个线程同时调用initTable初始化Node数组怎么办?看看大师是如何处理的:
private final Node<K,V>[] initTable() {
Node<K,V>[] tab; int sc;
//每次循环都获取最新的Node数组引用
while ((tab = table) == null || tab.length == 0) {
//sizeCtl是一个标记位,若为-1也就是小于0,代表有线程在进行初始化工作了
if ((sc = sizeCtl) < 0)
//让出CPU时间片
Thread.yield(); // lost initialization race; just spin
//CAS操作,将本实例的sizeCtl变量设置为-1
else if (U.compareAndSwapInt(this, SIZECTL, sc, -1)) {
//如果CAS操作成功了,代表本线程将负责初始化工作
try {
//再检查一遍数组是否为空
if ((tab = table) == null || tab.length == 0) {
//在初始化Map时,sizeCtl代表数组大小,默认16
//所以此时n默认为16
int n = (sc > 0) ? sc : DEFAULT_CAPACITY;
@SuppressWarnings("unchecked")
//Node数组
Node<K,V>[] nt = (Node<K,V>[])new Node<?,?>[n];
//将其赋值给table变量
table = tab = nt;
//通过位运算,n减去n二进制右移2位,相当于乘以0.75
//例如16经过运算为12,与乘0.75一样,只不过位运算更快
sc = n - (n >>> 2);
}
} finally {
//将计算后的sc(12)直接赋值给sizeCtl,表示达到12长度就扩容
//由于这里只会有一个线程在执行,直接赋值即可,没有线程安全问题
//只需要保证可见性
sizeCtl = sc;
}
break;
}
}
return tab;
}
table变量使用了volatile来保证每次获取到的都是最新写入的值
transient volatile Node<K,V>[] table;
就算有多个线程同时进行put操作,在初始化数组时使用了乐观锁CAS操作来决定到底是哪个线程有资格进行初始化,其他线程均只能等待。
用到的并发技巧:
直接看代码:
final V putVal(K key, V value, boolean onlyIfAbsent) {
if (key == null || value == null) throw new NullPointerException();
//对key的hashCode进行散列
int hash = spread(key.hashCode());
int binCount = 0;
//一个无限循环,直到put操作完成后退出循环
for (Node<K,V>[] tab = table;;) {
Node<K,V> f; int n, i, fh;
//当Node数组为空时进行初始化
if (tab == null || (n = tab.length) == 0)
tab = initTable();
//Unsafe类volatile的方式取出hashCode散列后通过与运算得出的Node数组下标值对应的Node对象
//此时的Node对象若为空,则代表还未有线程对此Node进行插入操作
else if ((f = tabAt(tab, i = (n - 1) & hash)) == null) {
//直接CAS方式插入数据
if (casTabAt(tab, i, null,
new Node<K,V>(hash, key, value, null)))
//插入成功,退出循环
break; // no lock when adding to empty bin
}
//查看是否在扩容,先不看,扩容再介绍
else if ((fh = f.hash) == MOVED)
//帮助扩容
tab = helpTransfer(tab, f);
else {
V oldVal = null;
//对Node对象进行加锁
synchronized (f) {
//二次确认此Node对象还是原来的那一个
if (tabAt(tab, i) == f) {
if (fh >= 0) {
binCount = 1;
//无限循环,直到完成put
for (Node<K,V> e = f;; ++binCount) {
K ek;
//和HashMap一样,先比较hash,再比较equals
if (e.hash == hash &&
((ek = e.key) == key ||
(ek != null && key.equals(ek)))) {
oldVal = e.val;
if (!onlyIfAbsent)
e.val = value;
break;
}
Node<K,V> pred = e;
if ((e = e.next) == null) {
//和链表头Node节点不冲突,就将其初始化为新Node作为上一个Node节点的next
//形成链表结构
pred.next = new Node<K,V>(hash, key,
value, null);
break;
}
}
}
...
}
值得关注的是tabAt(tab, i)方法,其使用Unsafe类volatile的操作volatile式地查看值,保证每次获取到的值都是最新的:
static final <K,V> Node<K,V> tabAt(Node<K,V>[] tab, int i) {
return (Node<K,V>)U.getObjectVolatile(tab, ((long)i << ASHIFT) + ABASE);
}
虽然上面的table变量加了volatile,但也只能保证其引用的可见性,并不能确保其数组中的对象是否是最新的,所以需要Unsafe类volatile式地拿到最新的Node
由于其减小了锁的粒度,若Hash完美不冲突的情况下,可同时支持n个线程同时put操作,n为Node数组大小,在默认大小16下,可以支持最大同时16个线程无竞争同时操作且线程安全。当hash冲突严重时,Node链表越来越长,将导致严重的锁竞争,此时会进行扩容,将Node进行再散列,下面会介绍扩容的线程安全性。总结一下用到的并发技巧:
在扩容时,ConcurrentHashMap支持多线程并发扩容,在扩容过程中同时支持get查数据,若有线程put数据,还会帮助一起扩容,这种无阻塞算法,将并行最大化的设计,堪称一绝。
先来看看扩容代码实现:
private final void transfer(Node<K,V>[] tab, Node<K,V>[] nextTab) {
int n = tab.length, stride;
//根据机器CPU核心数来计算,一条线程负责Node数组中多长的迁移量
if ((stride = (NCPU > 1) ? (n >>> 3) / NCPU : n) < MIN_TRANSFER_STRIDE)
//本线程分到的迁移量
//假设为16(默认也为16)
stride = MIN_TRANSFER_STRIDE; // subdivide range
//nextTab若为空代表线程是第一个进行迁移的
//初始化迁移后的新Node数组
if (nextTab == null) { // initiating
try {
@SuppressWarnings("unchecked")
//这里n为旧数组长度,左移一位相当于乘以2
//例如原数组长度16,新数组长度则为32
Node<K,V>[] nt = (Node<K,V>[])new Node<?,?>[n << 1];
nextTab = nt;
} catch (Throwable ex) { // try to cope with OOME
sizeCtl = Integer.MAX_VALUE;
return;
}
//设置nextTable变量为新数组
nextTable = nextTab;
//假设为16
transferIndex = n;
}
//假设为32
int nextn = nextTab.length;
//标示Node对象,此对象的hash变量为-1
//在get或者put时若遇到此Node,则可以知道当前Node正在迁移
//传入nextTab对象
ForwardingNode<K,V> fwd = new ForwardingNode<K,V>(nextTab);
boolean advance = true;
boolean finishing = false; // to ensure sweep before committing nextTab
for (int i = 0, bound = 0;;) {
Node<K,V> f; int fh;
while (advance) {
int nextIndex, nextBound;
//i为当前正在处理的Node数组下标,每次处理一个Node节点就会自减1
if (--i >= bound || finishing)
advance = false;
//假设nextIndex=16
else if ((nextIndex = transferIndex) <= 0) {
i = -1;
advance = false;
}
//由以上假设,nextBound就为0
//且将nextIndex设置为0
else if (U.compareAndSwapInt
(this, TRANSFERINDEX, nextIndex,
nextBound = (nextIndex > stride ?
nextIndex - stride : 0))) {
//bound=0
bound = nextBound;
//i=16-1=15
i = nextIndex - 1;
advance = false;
}
}
if (i < 0 || i >= n || i + n >= nextn) {
int sc;
if (finishing) {
nextTable = null;
table = nextTab;
sizeCtl = (n << 1) - (n >>> 1);
return;
}
if (U.compareAndSwapInt(this, SIZECTL, sc = sizeCtl, sc - 1)) {
if ((sc - 2) != resizeStamp(n) << RESIZE_STAMP_SHIFT)
return;
finishing = advance = true;
i = n; // recheck before commit
}
}
//此时i=15,取出Node数组下标为15的那个Node,若为空则不需要迁移
//直接设置占位标示,代表此Node已处理完成
else if ((f = tabAt(tab, i)) == null)
advance = casTabAt(tab, i, null, fwd);
//检测此Node的hash是否为MOVED,MOVED是一个常量-1,也就是上面说的占位Node的hash
//如果是占位Node,证明此节点已经处理过了,跳过i=15的处理,继续循环
else if ((fh = f.hash) == MOVED)
advance = true; // already processed
else {
//锁住这个Node
synchronized (f) {
//确认Node是原先的Node
if (tabAt(tab, i) == f) {
//ln为lowNode,低位Node,hn为highNode,高位Node
//这两个概念下面以图来说明
Node<K,V> ln, hn;
if (fh >= 0) {
//此时fh与原来Node数组长度进行与运算
//如果高X位为0,此时runBit=0
//如果高X位为1,此时runBit=1
int runBit = fh & n;
Node<K,V> lastRun = f;
for (Node<K,V> p = f.next; p != null; p = p.next) {
//这里的Node,都是同一Node链表中的Node对象
int b = p.hash & n;
if (b != runBit) {
runBit = b;
lastRun = p;
}
}
//正如上面所说,runBit=0,表示此Node为低位Node
if (runBit == 0) {
ln = lastRun;
hn = null;
}
else {
//Node为高位Node
hn = lastRun;
ln = null;
}
for (Node<K,V> p = f; p != lastRun; p = p.next) {
int ph = p.hash; K pk = p.key; V pv = p.val;
//若hash和n与运算为0,证明为低位Node,原理同上
if ((ph & n) == 0)
ln = new Node<K,V>(ph, pk, pv, ln);
//这里将高位Node与地位Node都各自组成了两个链表
else
hn = new Node<K,V>(ph, pk, pv, hn);
}
//将低位Node设置到新Node数组中,下标为原来的位置
setTabAt(nextTab, i, ln);
//将高位Node设置到新Node数组中,下标为原来的位置加上原Node数组长度
setTabAt(nextTab, i + n, hn);
//将此Node设置为占位Node,代表处理完成
setTabAt(tab, i, fwd);
//继续循环
advance = true;
}
....
}
}
}
}
}
这里说一下迁移时为什么要分一个ln(低位Node)、hn(高位Node),首先说一个现象:
我们知道,在put值的时候,首先会计算hash值,再散列到指定的Node数组下标中:
//根据key的hashCode再散列
int hash = spread(key.hashCode());
//使用(n - 1) & hash 运算,定位Node数组中下标值
(f = tabAt(tab, i = (n - 1) & hash);
其中n为Node数组长度,这里假设为16。
假设有一个key进来,它的散列之后的hash=9,那么它的下标值是多少呢?
假设Node数组需要扩容,我们知道,扩容是将数组长度增加两倍,也就是32,那么下标值会是多少呢?
此时,我们把散列之后的hash换成20,那么会有怎样的变化呢?
此时细心的读者应该可以发现,如果hash在高X位为1,(X为数组长度的二进制-1的最高位),则扩容时是需要变换在Node数组中的索引值的,不然就hash不到,丢失数据,所以这里在迁移的时候将高X位为1的Node分类为hn,将高X位为0的Node分类为ln。
回到代码中:
for (Node<K,V> p = f; p != lastRun; p = p.next) {
int ph = p.hash;
K pk = p.key;
V pv = p.val;
if ((ph & n) == 0)
ln = new Node<K,V>(ph, pk, pv, ln);
else
hn = new Node<K,V>(ph, pk, pv, hn);
}
这个操作将高低位组成了两条链表结构,由下图所示:然后将其CAS操作放入新的Node数组中:
setTabAt(nextTab, i, ln);
setTabAt(nextTab, i + n, hn);
其中,低位链表放入原下标处,而高位链表则需要加上原Node数组长度,其中为什么不多赘述,上面已经举例说明了,这样就可以保证高位Node在迁移到新Node数组中依然可以使用hash算法散列到对应下标的数组中去了。
最后将原Node数组中对应下标Node对象设置为fwd标记Node,表示该节点迁移完成,到这里,一个节点的迁移就完成了,将进行下一个节点的迁移,也就是i-1=14下标的Node节点。
假设Node下标为16的Node节点正在迁移,突然有一个线程进来调用get方法,正好key又散列到下标为16的节点,此时怎么办?
public V get(Object key) {
Node<K,V>[] tab; Node<K,V> e, p; int n, eh; K ek;
int h = spread(key.hashCode());
if ((tab = table) != null && (n = tab.length) > 0 &&
(e = tabAt(tab, (n - 1) & h)) != null) {
if ((eh = e.hash) == h) {
if ((ek = e.key) == key || (ek != null && key.equals(ek)))
return e.val;
}
//假如Node节点的hash值小于0
//则有可能是fwd节点
else if (eh < 0)
//调用节点对象的find方法查找值
return (p = e.find(h, key)) != null ? p.val : null;
while ((e = e.next) != null) {
if (e.hash == h &&
((ek = e.key) == key || (ek != null && key.equals(ek))))
return e.val;
}
}
return null;
}
重点看有注释的那两行,在get操作的源码中,会判断Node中的hash是否小于0,是否还记得我们的占位Node,其hash为MOVED,为常量值-1,所以此时判断线程正在迁移,委托给fwd占位Node去查找值:
//内部类 ForwardingNode中
Node<K,V> find(int h, Object k) {
// loop to avoid arbitrarily deep recursion on forwarding nodes
// 这里的查找,是去新Node数组中查找的
// 下面的查找过程与HashMap查找无异,不多赘述
outer: for (Node<K,V>[] tab = nextTable;;) {
Node<K,V> e; int n;
if (k == null || tab == null || (n = tab.length) == 0 ||
(e = tabAt(tab, (n - 1) & h)) == null)
return null;
for (;;) {
int eh; K ek;
if ((eh = e.hash) == h &&
((ek = e.key) == k || (ek != null && k.equals(ek))))
return e;
if (eh < 0) {
if (e instanceof ForwardingNode) {
tab = ((ForwardingNode<K,V>)e).nextTable;
continue outer;
}
else
return e.find(h, k);
}
if ((e = e.next) == null)
return null;
}
}
}
到这里应该可以恍然大悟了,之所以占位Node需要保存新Node数组的引用也是因为这个,它可以支持在迁移的过程中照样不阻塞地查找值,可谓是精妙绝伦的设计。
在put操作时,假设正在迁移,正好有一个线程进来,想要put值到迁移的Node上,怎么办?
final V putVal(K key, V value, boolean onlyIfAbsent) {
if (key == null || value == null) throw new NullPointerException();
int hash = spread(key.hashCode());
int binCount = 0;
for (Node<K,V>[] tab = table;;) {
Node<K,V> f; int n, i, fh;
if (tab == null || (n = tab.length) == 0)
tab = initTable();
else if ((f = tabAt(tab, i = (n - 1) & hash)) == null) {
if (casTabAt(tab, i, null,
new Node<K,V>(hash, key, value, null)))
break; // no lock when adding to empty bin
}
//若此时发现了占位Node,证明此时HashMap正在迁移
else if ((fh = f.hash) == MOVED)
//进行协助迁移
tab = helpTransfer(tab, f);
...
}
final Node<K,V>[] helpTransfer(Node<K,V>[] tab, Node<K,V> f) {
Node<K,V>[] nextTab; int sc;
if (tab != null && (f instanceof ForwardingNode) &&
(nextTab = ((ForwardingNode<K,V>)f).nextTable) != null) {
int rs = resizeStamp(tab.length);
while (nextTab == nextTable && table == tab &&
(sc = sizeCtl) < 0) {
if ((sc >>> RESIZE_STAMP_SHIFT) != rs || sc == rs + 1 ||
sc == rs + MAX_RESIZERS || transferIndex <= 0)
break;
//sizeCtl加一,标示多一个线程进来协助扩容
if (U.compareAndSwapInt(this, SIZECTL, sc, sc + 1)) {
//扩容
transfer(tab, nextTab);
break;
}
}
return nextTab;
}
return table;
}
此方法涉及大量复杂的位运算,这里不多赘述,只是简单的说几句,此时sizeCtl变量用来标示HashMap正在扩容,当其准备扩容时,会将sizeCtl设置为一个负数,(例如数组长度为16时)其二进制表示为:
1000 0000 0001 1011 0000 0000 0000 0010
无符号位为1,表示负数。其中高16位代表数组长度的一个位算法标示(有点像epoch的作用,表示当前迁移朝代为数组长度X),低16位表示有几个线程正在做迁移,刚开始为2,接下来自增1,线程迁移完会进行减1操作,也就是如果低十六位为2,代表有一个线程正在迁移,如果为3,代表2个线程正在迁移以此类推…
只要数组长度足够长,就可以同时容纳足够多的线程来一起扩容,最大化并行任务,提高性能。
在put值时,发现Node为占位Node(fwd)时,会协助扩容
在新增节点后,检测到链表长度大于8时
final V putVal(K key, V value, boolean onlyIfAbsent) {
...
if (binCount != 0) {
//TREEIFY_THRESHOLD=8,当链表长度大于8时
if (binCount >= TREEIFY_THRESHOLD)
//调用treeifyBin方法
treeifyBin(tab, i);
if (oldVal != null)
return oldVal;
break;
}
...
}
treeifyBin方法会将链表转换为红黑树,增加查找效率,但在这之前,会检查数组长度,若小于64,则会优先做扩容操作:
private final void treeifyBin(Node<K,V>[] tab, int index) {
Node<K,V> b; int n, sc;
if (tab != null) {
//MIN_TREEIFY_CAPACITY=64
//若数组长度小于64,则先扩容
if ((n = tab.length) < MIN_TREEIFY_CAPACITY)
//扩容
tryPresize(n << 1);
else if ((b = tabAt(tab, index)) != null && b.hash >= 0) {
synchronized (b) {
//...转换为红黑树的操作
}
}
}
}
在每次新增节点之后,都会调用addCount方法,检测Node数组大小是否达到阈值:
final V putVal(K key, V value, boolean onlyIfAbsent) {
...
//在下面一节会讲到,此方法统计容器元素数量
addCount(1L, binCount);
return null;
}
private final void addCount(long x, int check) {
CounterCell[] as; long b, s;
if ((as = counterCells) != null ||
!U.compareAndSwapLong(this, BASECOUNT, b = baseCount, s = b + x)) {
//统计元素个数的操作...
}
if (check >= 0) {
Node<K,V>[] tab, nt; int n, sc;
//元素个数达到阈值,进行扩容
while (s >= (long)(sc = sizeCtl) && (tab = table) != null &&
(n = tab.length) < MAXIMUM_CAPACITY) {
int rs = resizeStamp(n);
//发现sizeCtl为负数,证明有线程正在迁移
if (sc < 0) {
if ((sc >>> RESIZE_STAMP_SHIFT) != rs || sc == rs + 1 ||
sc == rs + MAX_RESIZERS || (nt = nextTable) == null ||
transferIndex <= 0)
break;
if (U.compareAndSwapInt(this, SIZECTL, sc, sc + 1))
transfer(tab, nt);
}
//不为负数,则为第一个迁移的线程
else if (U.compareAndSwapInt(this, SIZECTL, sc,
(rs << RESIZE_STAMP_SHIFT) + 2))
transfer(tab, null);
s = sumCount();
}
}
}
ConcurrentHashMap运用各类CAS操作,将扩容操作的并发性能实现最大化,在扩容过程中,就算有线程调用get查询方法,也可以安全的查询数据,若有线程进行put操作,还会协助扩容,利用sizeCtl标记位和各种volatile变量进行CAS操作达到多线程之间的通信、协助,在迁移过程中只锁一个Node节点,即保证了线程安全,又提高了并发性能。
ConcurrentHashMap在每次put操作之后都会调用addCount方法,此方法用于统计容器大小且检测容器大小是否达到阈值,若达到阈值需要进行扩容操作,这在上面也是有提到的。这一节重点讨论容器大小的统计是如何做到线程安全且并发性能不低的。
大部分的单机数据查询优化方案都会降低并发性能,就像缓存的存储,在多线程环境下将有并发问题,所以会产生并行或者一系列并发冲突锁竞争的问题,降低了并发性能。类似的,热点数据也有这样的问题,在多线程并发的过程中,热点数据(频繁被访问的变量)是在每一个线程中几乎或多或少都会访问到的数据,这将增加程序中的串行部分,回忆一下开头所描述的,程序中的串行部分将影响并发的可伸缩性,使并发性能下降,这通常会成为并发程序性能的瓶颈。而在ConcurrentHashMap中,如何快速的统计容器大小更是一个很重要的议题,因为容器内部需要依靠容器大小来考虑是否需要扩容,而在客户端而言需要调用此方法来知道容器有多少个元素,如果处理不好这种热点数据,并发性能将因为这个短板整体性能下降。
试想一下,如果是你,你会如何设计这种热点数据?是加锁,还是进行CAS操作?进入ConcurrentHashMap中,看看大师是如何巧妙的运用了并发技巧,提高热点数据的并发性能。
先用图的方式来看看大致的实现思路:
@sun.misc.Contended static final class CounterCell {
volatile long value;
CounterCell(long x) { value = x; }
}
这是一个粗略的实现,在设计中,使用了分而治之的思想,将每一个计数都分散到各个countCell对象里面(下面称之为桶),使竞争最小化,又使用了CAS操作,就算有竞争,也可以对失败了的线程进行其他的处理。乐观锁的实现方式与悲观锁不同之处就在于乐观锁可以对竞争失败了的线程进行其他策略的处理,而悲观锁只能等待锁释放,所以这里使用CAS操作对竞争失败的线程做了其他处理,很巧妙的运用了CAS乐观锁。
下面看看具体的代码实现吧:
//计数,并检查长度是否达到阈值
private final void addCount(long x, int check) {
//计数桶
CounterCell[] as; long b, s;
//如果counterCells不为null,则代表已经初始化了,直接进入if语句块
//若竞争不严重,counterCells有可能还未初始化,为null,先尝试CAS操作递增baseCount值
if ((as = counterCells) != null ||
!U.compareAndSwapLong(this, BASECOUNT, b = baseCount, s = b + x)) {
//进入此语句块有两种可能
//1.counterCells被初始化完成了,不为null
//2.CAS操作递增baseCount值失败了,说明有竞争
CounterCell a; long v; int m;
//标志是否存在竞争
boolean uncontended = true;
//1.先判断计数桶是否还没初始化,则as=null,进入语句块
//2.判断计数桶长度是否为空或,若是进入语句块
//3.这里做了一个线程变量随机数,与上桶大小-1,若桶的这个位置为空,进入语句块
//4.到这里说明桶已经初始化了,且随机的这个位置不为空,尝试CAS操作使桶加1,失败进入语句块
if (as == null || (m = as.length - 1) < 0 ||
(a = as[ThreadLocalRandom.getProbe() & m]) == null ||
!(uncontended =
U.compareAndSwapLong(a, CELLVALUE, v = a.value, v + x))) {
fullAddCount(x, uncontended);
return;
}
if (check <= 1)
return;
//统计容器大小
s = sumCount();
}
...
}
先假设当前Map还未被put数据,则addCount一定没有被调用过,当前线程第一个调用addCount方法,则此时countCell一定没有被初始化,为null,则进行如下判断:
if ((as = counterCells) != null ||
!U.compareAndSwapLong(this, BASECOUNT, b = baseCount, s = b + x))
这里的if判断一定会走第二个判断,先CAS增加变量baseCount的值:
private transient volatile long baseCount;
这个值有什么用呢?我们看看统计容器大小的方法sumCount:
final long sumCount() {
//获取计数桶
CounterCell[] as = counterCells; CounterCell a;
//获取baseCount,赋值给sum总数
long sum = baseCount;
//若计数桶不为空,统计计数桶内的值
if (as != null) {
for (int i = 0; i < as.length; ++i) {
//遍历计数桶,将value值相加
if ((a = as[i]) != null)
sum += a.value;
}
}
return sum;
}
这个方法的大体思路与我们开头那张图差不多,容器的大小其实是分为两部分,开头只说了计数桶的那部分,其实还有一个baseCount,在线程没有竞争的情况下的统计值,换句话说,在增加容量的时候其实是先去做CAS递增baseCount的。
由此可见,统计容器大小其实是用了两种思路:
此时出现了竞争,则不会再用CAS方式来计数了,直接使用桶方式,从上面的addCount方法可以看出来,此时的countCell是为空的,最终一定会进入fullAddCount方法来进行初始化桶:
private final void fullAddCount(long x, boolean wasUncontended) {
int h;
if ((h = ThreadLocalRandom.getProbe()) == 0) {
ThreadLocalRandom.localInit(); // force initialization
h = ThreadLocalRandom.getProbe();
wasUncontended = true;
}
boolean collide = false; // True if last slot nonempty
for (;;) {
CounterCell[] as; CounterCell a; int n; long v;
...
//如果计数桶!=null,证明已经初始化,此时不走此语句块
if ((as = counterCells) != null && (n = as.length) > 0) {
...
}
//进入此语句块进行计数桶的初始化
//CAS设置cellsBusy=1,表示现在计数桶Busy中...
else if (cellsBusy == 0 && counterCells == as &&
U.compareAndSwapInt(this, CELLSBUSY, 0, 1)) {
//若有线程同时初始化计数桶,由于CAS操作只有一个线程进入这里
boolean init = false;
try { // Initialize table
//再次确认计数桶为空
if (counterCells == as) {
//初始化一个长度为2的计数桶
CounterCell[] rs = new CounterCell[2];
//h为一个随机数,与上1则代表结果为0、1中随机的一个
//也就是在0、1下标中随便选一个计数桶,x=1,放入1的值代表增加1个容量
rs[h & 1] = new CounterCell(x);
//将初始化好的计数桶赋值给ConcurrentHashMap
counterCells = rs;
init = true;
}
} finally {
//最后将busy标识设置为0,表示不busy了
cellsBusy = 0;
}
if (init)
break;
}
//若有线程同时来初始化计数桶,则没有抢到busy资格的线程就先来CAS递增baseCount
else if (U.compareAndSwapLong(this, BASECOUNT, v = baseCount, v + x))
break; // Fall back on using base
}
}
到这里就完成了计数桶的初始化工作,在之后的计数都将会使用计数桶方式来统计总数
从上面的分析中我们知道,计数桶初始化之后长度为2,在竞争大的时候肯定是不够用的,所以一定有计数桶的扩容操作,所以现在就有两个问题了:
假设此时是用计数桶方式进行计数:
private final void addCount(long x, int check) {
CounterCell[] as; long b, s;
if ((as = counterCells) != null ||
!U.compareAndSwapLong(this, BASECOUNT, b = baseCount, s = b + x)) {
CounterCell a; long v; int m;
boolean uncontended = true;
//此时显然会在计数桶数组中随机选一个计数桶
//然后使用CAS操作将此计数桶中的value+1
if (as == null || (m = as.length - 1) < 0 ||
(a = as[ThreadLocalRandom.getProbe() & m]) == null ||
!(uncontended =
U.compareAndSwapLong(a, CELLVALUE, v = a.value, v + x))) {
//若CAS操作失败,证明有竞争,进入fullAddCount方法
fullAddCount(x, uncontended);
return;
}
if (check <= 1)
return;
s = sumCount();
}
...
}
进入fullAddCount方法:
private final void fullAddCount(long x, boolean wasUncontended) {
int h;
if ((h = ThreadLocalRandom.getProbe()) == 0) {
ThreadLocalRandom.localInit(); // force initialization
h = ThreadLocalRandom.getProbe();
wasUncontended = true;
}
boolean collide = false; // True if last slot nonempty
for (;;) {
CounterCell[] as; CounterCell a; int n; long v;
//计数桶初始化好了,一定是走这个if语句块
if ((as = counterCells) != null && (n = as.length) > 0) {
//从计数桶数组随机选一个计数桶,若为null表示该桶位还没线程递增过
if ((a = as[(n - 1) & h]) == null) {
//查看计数桶busy状态是否被标识
if (cellsBusy == 0) { // Try to attach new Cell
//若不busy,直接new一个计数桶
CounterCell r = new CounterCell(x); // Optimistic create
//CAS操作,标示计数桶busy中
if (cellsBusy == 0 &&
U.compareAndSwapInt(this, CELLSBUSY, 0, 1)) {
boolean created = false;
try { // Recheck under lock
CounterCell[] rs; int m, j;
//在锁下再检查一次计数桶为null
if ((rs = counterCells) != null &&
(m = rs.length) > 0 &&
rs[j = (m - 1) & h] == null) {
//将刚刚创建的计数桶赋值给对应位置
rs[j] = r;
created = true;
}
} finally {
//标示不busy了
cellsBusy = 0;
}
if (created)
break;
continue; // Slot is now non-empty
}
}
collide = false;
}
else if (!wasUncontended) // CAS already known to fail
wasUncontended = true; // Continue after rehash
//走到这里代表计数桶不为null,尝试递增计数桶
else if (U.compareAndSwapLong(a, CELLVALUE, v = a.value, v + x))
break;
else if (counterCells != as || n >= NCPU)
collide = false; // At max size or stale
//若CAS操作失败了,到了这里,会先进入一次,然后再走一次刚刚的for循环
//若是第二次for循环,collide=true,则不会走进去
else if (!collide)
collide = true;
//计数桶扩容,一个线程若走了两次for循环,也就是进行了多次CAS操作递增计数桶失败了
//则进行计数桶扩容,CAS标示计数桶busy中
else if (cellsBusy == 0 &&
U.compareAndSwapInt(this, CELLSBUSY, 0, 1)) {
try {
//确认计数桶还是同一个
if (counterCells == as) {// Expand table unless stale
//将长度扩大到2倍
CounterCell[] rs = new CounterCell[n << 1];
//遍历旧计数桶,将引用直接搬过来
for (int i = 0; i < n; ++i)
rs[i] = as[i];
//赋值
counterCells = rs;
}
} finally {
//取消busy状态
cellsBusy = 0;
}
collide = false;
continue; // Retry with expanded table
}
h = ThreadLocalRandom.advanceProbe(h);
}
else if (cellsBusy == 0 && counterCells == as &&
U.compareAndSwapInt(this, CELLSBUSY, 0, 1)) {
//初始化计数桶...
}
else if (U.compareAndSwapLong(this, BASECOUNT, v = baseCount, v + x))
break; // Fall back on using base
}
}
看到这里,想必已经可以解决上面两个问题了:
什么条件下会进行计数桶的扩容?
答:在CAS操作递增计数桶失败了3次之后,会进行扩容计数桶操作,注意此时同时进行了两次随机定位计数桶来进行CAS递增的,所以此时可以保证大概率是因为计数桶不够用了,才会进行计数桶扩容
扩容操作是怎么样的?
答:计数桶长度增加到两倍长度,数据直接遍历迁移过来,由于计数桶不像HashMap数据结构那么复杂,有hash算法的影响,加上计数桶只是存放一个long类型的计数值而已,所以直接赋值引用即可。
个人感觉,统计容器大小的线程安全与扩容ConcurrentHashMap这两个算得上ConcurrentHashMap中最聪明的两个并发设计了,阅读此源码的我看到这两个操作的设计,都忍不住拍手叫绝,我想,这或许也是一个看源码的乐趣吧,站在巨人的肩膀看巨人的思想。
总结一下计数中用到的并发技巧:
对于get操作,其实没有线程安全的问题,只有可见性的问题,只需要确保get的数据是线程之间可见的即可:
public V get(Object key) {
Node<K,V>[] tab; Node<K,V> e, p; int n, eh; K ek;
int h = spread(key.hashCode());
//此过程与HashMap的get操作无异,不多赘述
if ((tab = table) != null && (n = tab.length) > 0 &&
(e = tabAt(tab, (n - 1) & h)) != null) {
if ((eh = e.hash) == h) {
if ((ek = e.key) == key || (ek != null && key.equals(ek)))
return e.val;
}
//当hash<0,有可能是在迁移,使用fwd占位Node去查找新table中的数据
else if (eh < 0)
return (p = e.find(h, key)) != null ? p.val : null;
while ((e = e.next) != null) {
if (e.hash == h &&
((ek = e.key) == key || (ek != null && key.equals(ek))))
return e.val;
}
}
return null;
}
在get操作中除了增加了迁移的判断以外,基本与HashMap的get操作无异,这里不多赘述,值得一提的是这里使用了tabAt方法Unsafe类volatile的方式去获取Node数组中的Node,保证获得到的Node是最新的
static final <K,V> Node<K,V> tabAt(Node<K,V>[] tab, int i) {
return (Node<K,V>)U.getObjectVolatile(tab, ((long)i << ASHIFT) + ABASE);
}
JDK1.7的ConcurrentHashMap底层数据结构:其中1.7的实现也同样采用了分段锁的技术,只不过多个一个segment,一个segment里对应一个小HashMap,其中segment继承了ReentrantLock,充当了锁的角色,一把锁锁一个小HashMap(相当于多个Node),从1.8的实现来看, 锁的粒度从多个Node级别又减小到一个Node级别,再度减小锁竞争,减小程序同步的部分。
不得不说,大师将CAS操作运用的淋漓尽致,相信理解了以上源码的读者也可以学习到大师所运用的并发技巧,不仅仅是在ConcurrentHashMap中,其实在大部分JUC的源码中很多并发思想很值得我们去阅读、学习。
END
关注后端面试那些事,回复【2022面经】
获取最新大厂Java面经