以下文章来源于科学温故社 ,作者芦天亮
知幽渺之理而收显著之效:从实验到理论,探索催化反应隐藏的信息与机理,打开催化过程“黑匣子”
背景介绍
由乙酰丙酸及其酯加氢制γ-戊内酯(GVL)是一条重要的生物质转化路线。以Lewis(L)酸为催化剂,醇为氢源的催化转移加氢(CTH)策略是实现上述过程的重要方法之一。目前许多研究均能得到较高的GVL收率,但是,所需反应温度较高。近日,郑州大学化工学院芦天亮副教授和化学学院杨晓梅教授利用水热合成的Sn-Beta为催化剂在较温和条件下(110 oC)实现了催化乙酰丙酸乙酯(EL)制GVL(收率97.1%),并探讨了晶化过程对Sn-Beta催化性能的影响。
图文解读
首先,作者通过控制晶化时间合成了一系列不同结晶度的Sn-Beta(图1),并考察了这些样品催化EL制GVL的性能(图2)。结果表明,晶化时间显著影响Sn-Beta的催化性能,当晶化时间≥7天时,Sn-Beta表现出优异的催化性能,同时也表现出良好的重复使用性。Sn-Beta的晶化过程能够影响Sn的微环境从而影响其L酸性,而该项工作中的CTH过程正是L酸催化反应,这是晶化时间显著影响Sn-Beta催化性能的原因。
Fig. 1. XRD patterns of the Sn-Beta-xd (a), and the corresponding crystallization curve (b).
Fig. 2. Catalytic performance of Sn-Beta-xd for conversion of EL to GVL. Reaction conditions: (a) 1 mmol of EL, 5 mL of IPA, 0.2 g of catalyst, 8 h; (b) 1 mmol EL, 5 mL of IPA, 0.2 g of Sn-Beta-7d; (c) 1 mmol of EL, 5mL of IPA, 0.2 g of Sn-Beta-7d, 130 oC, 8 h.
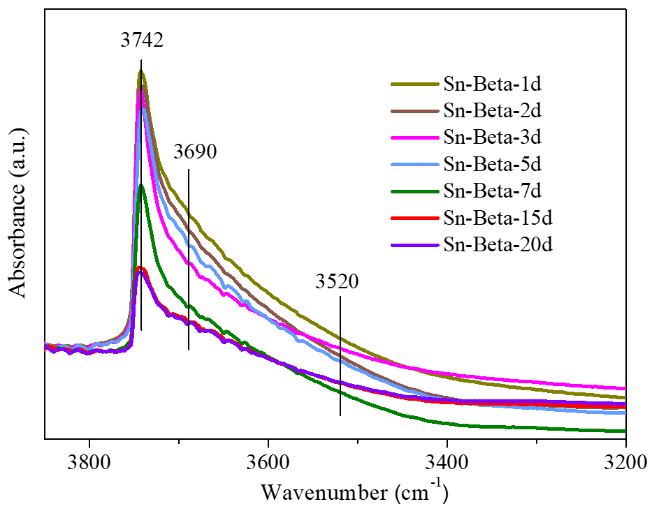
接着,作者对各Sn-Beta样品的微结构及酸性进行了研究。XPS结果表明在晶化时间足够长,Sn-Beta结晶度较高时,Sn的存在形式主要是四配位的骨架Sn,而在较短晶化时间的样品中则存在大量的非骨架Sn物种(例如SnO2)(图3)。而羟基区红外光谱也表明要使大部分的Sn物种形成骨架Sn至少需要晶化7天时间(图4)。上述结果与图2中的催化反应结果相结合,说明Sn-Beta分子筛中骨架Sn的形成对催化EL制GVL至关重要。图5为吡啶吸附红外结果,可见L酸量随晶化时间延长而增多。图6为氘代乙腈吸附红外图谱。2310 cm‒1处峰强度的变化进一步证实随晶化时间延长Sn-Beta分子筛中骨架Sn的量增加。同时,随着晶化时间延长,2310 cm‒1处的峰出现明显蓝移,表明骨架Sn中Open/Closed位点比例在增大。由于Sn4+的离子半径较大,随着晶化时间延长,Sn-Beta分子筛的骨架结构更加完整,从而造成骨架张力增大,而Open位骨架Sn的形成能有效降低骨架张力,使分子筛结构更为稳定。同时,文献普遍认为在Meerwein–Ponndorf–Verley (MPV)反应中,Open位比Closed位的骨架Sn具有更高的催化活性,这是晶化时间影响Sn-Beta催化性能的原因之一。
Fig. 3. XPS spectra of Sn3d in Sn-Beta-xd.
Fig. 4. FTIR spectra of hydroxy region of Sn-Beta-xd.
Fig. 5. FTIR spectra of pyridine adsorption over the Sn-Beta-xd. These spectra were collected after evacuation at 150 oC for 30 min.
Fig. 6. FTIR spectra of CD3CN adsorption over the Sn-Beta-xd. These spectra were collected after evacuation at 25 oC for 15 min.
此外,各样品的活性差异也与Sn-Beta分子筛中的硅羟基有关。羟基区红外、氘代乙腈红外等结果均表明随着晶化时间延长,Sn-Beta分子筛中硅羟基数量减少。硅羟基较少时,Sn-Beta的疏水性增强,能抑制反应系统中微量水在活性中心的吸附,从而使Sn-Beta具有较高的催化性能。最后,作者利用后合成法制备了具有较多硅羟基的Sn-Beta分子筛(图7),其催化性能显著低于水热合成的Sn-Beta,这也从侧面证实了低硅羟基量有利于Sn-Beta分子筛催化MPV反应。
Fig. 7. FTIR spectra of 2Sn-Beta-p, 3Sn-Beta-p and Sn-Beta-7d in hydroxy region.
结论
作者利用水热合成的Sn-Beta分子筛实现了温和条件下催化EL转化制GVL。晶化时间对Sn-Beta的催化性能有显著影响,一方面,随着晶化时间的延长,Sn-Beta中的活性中心数量增加,特别是Open位骨架Sn含量增加。另一方面,较多的硅羟基对Sn-Beta的催化性能有负面影响,随晶化时间延长Sn-Beta分子筛硅羟基含量降低,有利于催化EL制GVL。
文本编辑: 大老猫
科学温故社QQ群—科研爱好者集中地!(不定期发布讲座通知,分享录制视频)
微信群(学术交流/电催化/光催化/理论计算/资源共享/文献互助群;C1化学/生物质/单原子/多孔材料分舵),小编微信:hao-xinghua或SRS-nano,备注“姓名-单位”。