以下文章来源于新威 ,作者木槿
深圳新威NEWARE电池检测设备&环境试验箱&自动化物流设备集成解决方案
因其极高的理论容量(1672 mAh g−1)和低廉的成本,锂-硫电池(LSBs)广受关注,然而其商业化仍然需要克服几个关键问题。虽然硫正极的电绝缘性和循环过程中近80%的体积变化可以通过结构工程解决,但对电池性能构成最大隐患的多硫化物穿梭效应仍未得到缓解。用固态电解质(SE)替换电解液是解决穿梭效应的潜在方法。与全固态LIBs相比,全固态LSBs的界面,特别是SE和S正极之间的界面还没有得到充分的研究。S的挥发性使得SEM和TEM这类传统的界面表征工具不适用于LSBs的界面研究,理论计算对全固态LSBs正极-电解质界面的热力学和动力进行研究是十分必要的。
近期,J. Am. Chem. Soc.上发表的一篇题为“Thermodynamics and Kinetics of the Cathode−Electrolyte Interface in All-Solid-State Li−S Batteries”的文章,加利福尼亚大学圣迭戈分校王学彬、鲁尔基理工学院Swastika Banerjee通过基于密度泛函理论计算和机器学习原子间势,对全固态LSBs正极-电解质界面的热力学和动力进行了综合研究。发现在主要的电解质(氧化物、硫化物、氮化物、卤化物)当中,硫化物SEs对S8正极最为稳定,其他SE通常化学不稳定。通过主动学习法开发了一种精确瞬间测量原子间势研究S8|β-Li3PS4界面。大界面模型(>1000s原子)的分子动力学(MD)模拟表明,最稳定的Li3PS4(100)表面倾向于与S8形成具有二维通道和较低Li扩散激活势垒的界面。
(1)通过热力学近似计算,评估了一系列具有阴离子性质的SEs(氧化物、硫化物、卤化物)对充电状态下S和放电状态下Li2S正极的界面稳定性;
(2)通过对β-Li3PS4|α-S8模型界面系统的主动学习,开发了一种高精确度机器学习原子间势(ML-IAP)。
图1. 用于界面MTP开发的被动和主动学习流程图。@ACS
近年来,描述局部环境势能面的机器学习(ML)作为一种自动化方法可以用于开发复杂化学环境(包括SE材料)中的原子间势(IAPs),具有接近DFT的精度。这项工作中采用了均衡准确性和计算成本的矩张量势(MTP)进行研究。选α-S8|β-Li3PS4界面为研究的模型界面。如图1所示,为了体现局部环境的复杂性,以及不同相(Li2S,α-S,β-Li3PS4)以及界面上的键合,采用顺序被动学习与主动学习相适应的工作流程以适应MTP。
1. SE/正极界面的化学稳定性
图2. 不同电解质/电解组合下的反应能垒(左)和体积变化百分比(右)。@ACS
图2展示了不同电解质/电极组合下的反应能垒(左)和体积变化百分比(右)。Li3N/S8是最不稳定的SE/电极组合。反应能高达-900 meV/atom,这就导致了Li2S和N2的形成,造成了安全隐患。所有的氧化物SEs对S8都不稳定,具有相似的反应能量(∼250-300 meV/atom)和体积收缩(∼8-10%)。反应产物一般包括金属硫化物,如LaS2,ZrS3(TiS3)和Li2S。在卤化物SEs中,LYC/S8界面被预测为化学稳定的。LYB以22 meV/atom的小反应能和可忽略的约1%的体积增加反应生成二元化合物,如Y2S3,LiBr和SBr。
除了Li7P3S11会反应形成Li3PS4和P2S7外,硫化物SE/S8界面表现出最佳的化学相容性。与充电态的S8正极相比,放电态的Li2S正极对所有氧化物和硫化物SEs的化学稳定性通常更高。
2. SE/正极界面的电化学稳定性
图3. α-S8的电化学反应能(左)和相应的体积变化(右)。@ACS
图3展示了SE/α-S8界面在0~2.25 V之间的电化学反应能(左)和相应的体积变化(右)。一般来说,对于化学相对稳定性的定性观察也适用于电化学相对稳定性。Li3N/S8界面在2V时电化学稳定,电压继续升高时会分解为Li和S7N,反应能为-865 meV/atom,体积变化约为2%。卤化物SEs界面表现出非常有限的电化学稳定性,并在0.25V时开始反应形成LiX(其中X=Cl,Br)和YS,反应能高达>500 meV/atom,体积的变化是<10%。同样的,氧化物LLZO和LLTO界面在所有电压下都是电化学不稳定的,Li1.3Al0.3Ti1.7(PO4)3和Li3.5Zn0.25GeO4的稳定窗口略大分别为0~1.25 V和0~1 V。除了Li7P3S11在1.5 V下会与S8反应生成Li3PS4外,硫化物SE界面在所有电压下都电化学稳定。与带充电态的S8正极相比,放电态的Li2S正极/SE界面与反应相同。
3. SE/缓冲层界面的化学稳定性
图4. 含氧化物缓冲层材料的不同电解质和电极的反应能(上)和体积变化(下)。@ACS
图5. 含硫化物缓冲层材料的不同电解质和电极的反应能(左)和体积变化(右)。@ACS
一般来说,氧化物和卤化物SEs在不同程度上对LSB正极的化学和电化学不稳定。然而,也存在需要使用氧化物或卤化物SE的特殊情况。例如,氧化物SEs可能对锂金属负极提供更好的化学和机械相容性。在这里研究了潜在的氧化物或硫化物缓冲层,可用于稳定界面。图4和图5展示了氧化物和硫化物缓冲材料SEs和正极界面的预测反应能和相应的体积变化百分比。与氧化物SEs一样,所有氧化物缓冲材料都被预测与S8正极不兼容。然而,一些硫化物具有用作缓冲层的可能性。例如,一些二元和三元硫化物(Sc2S3,Y2S3,Li3PS4和LiAlS2)和Li2PO2N以及充/放电状态下的LSB正极具有化学相容性,Li3PS4可以用来缓冲Li1.3Al0.3Ti1.7(PO4)3界面。
4. S8/β-Li3PS4界面的原子学研究
考虑到硫化物SEs似乎是LSB中最稳定的对抗S8正极,选择β-Li3PS4/S8界面作为模型体系,通过使用拟合的MTP进行MD模拟。在分析MD模拟结果之前,首先会对拟合的MTP进行验证。
图6. 主动学习迭代过程中从不同界面获得的测试结构的(a) MAEenergies和(b) MAEforces。@ACS
图6a和b展示了在AL过程中不同界面测试的MAEenergies和MAEforces演化过程。经过约15次AL迭代后,所有界面的测试MAEenergies和MAEforces分别收敛到5 meV atom−1以下和150 meV Å−1以下。
图7. 主动学习迭代过程中从不同界面获得的测试结构的(a) MAEenergies和(b) MAEforces。@ACS
图7a-c比较了测试MAEenergies和MAEforces以及计算出的所有界面的MAEinterface energies,在所有的界面上,MAEenergies和MAEforces与AL迭代过程中得到的结果一致。MAEinterface energies在0.15 J m−2以内,另外,MTP不太可能过度拟合。
5. β-Li3PS4/S8界面的MD模拟
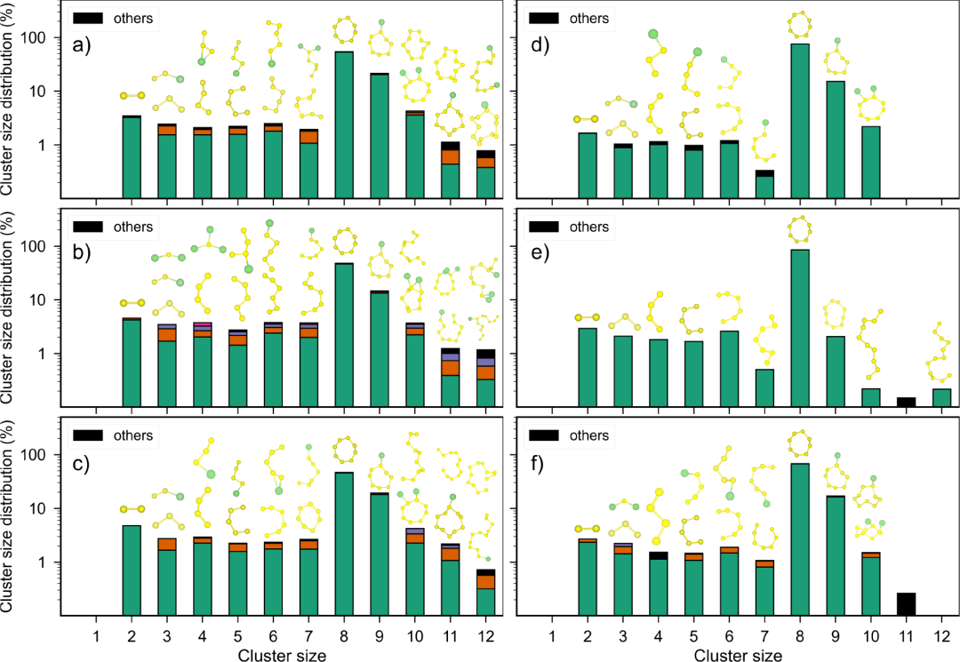
图8. 界面上团簇尺寸分布随时间的变化,(a)S8(001)|Li3PS4(001), (b)S8(001)|Li3PS4(010), (c)S8(001)|Li3PS4(100), (d)S8(111)|Li3PS4(001), (e)S8(111)|Li3PS4(010), 和(f) S8(111)|Li3PS4(100)。@ACS
图8a-f展示了β-Li3PS4/S8界面和S8表面上的团簇尺寸(nc)的分布随时间的变化,左侧高能量的(001)面,右侧为低能量的(111)面。在MD模拟时间尺度内,没有观察到β-Li3PS4向γ-Li3PS4或α-Li3PS4的相转变,这归因于转化需要动力学促进的PS4和LiS4/LiS6重排。随着模拟时间的延长,nc <8的团簇百分比稳步增加,同时nc = 8 (S8分子)的团簇百分比下降,表明S8环分解为更小的S环/链。
图9. 界面上团簇的平均大小分布和组成,(a) S8(001)|Li3PS4(001), (b) S8(001)|Li3PS4(010), (c) S8(001)|Li3PS4(100), (d) S8(111)|Li3PS4(001), (e) S8(111)|Li3PS4(010), 和 (f) S8(111)|Li3PS4(100)。@ACS
虽然,在不同界面的百分比组成方面有一些差异,但在团簇分布方面的定性趋势是非常相似的(图9)。与S8(001)界面相比,S8(111)界面的小团簇(nc < 8)百分比要比低得多(<1%),也就是说S8(111)界面比S8(001)界面反应性低。这可能是由于(111)表面的能量明显较低,因此比(001)表面更稳定。
图10. (a)S8(001)|Li3PS4(001)界面反应产物归一化原子数的时间演化作为距离的函数;(b)S8(001)|Li3PS4(001)界面区域,Li、P和S用绿色、紫色和黄色的原子表示;(c)S8归一化原子数随S8(001)|Li3PS4(001)界面距离变化的时间演化;(d)α-S8|β-Li3PS4界面相厚度随时间的演化。@ACS
图10a和c分别显示了S8(001)|Li3PS4(001)界面的非S8和S8簇的空间分布随垂直于界面方向的距离的函数,界面结构如图10b所示。可以看出,反应区的厚度开始增加,之后趋于稳定。值得注意的是,当厚度增长时,模拟的时间尺度内没有证据表明反应产物(多硫化锂)扩散到Li3PS4区域。需要注意的是,与全电池不同,除了化合物之间的差异外,没有电化学驱动力驱使β-Li3PS4的Li扩散到α-S8中。此外,界面晶界的存在也会影响界面反应性、界面厚度和多硫化物迁移率,这将是未来研究的重点。
图10d显示了在模拟时间尺度下界面间相厚度的演变。可以看出,所有界面的在前100 ps内增长非常迅速,之后只有很小的波动。具有较高反应活性的α-S8(001)表面形成了相当厚的间相层,为6.5-8 Å。更稳定的α-S8(111)的界面的间相厚度为3.5−4.5 Å。因此,表面的稳定性可以对界面的反应性和相应的界面相层的厚度产生深远的影响。
图11. α-S8|β-Li3PS4界面界面区域Li面积密度的(a)阿伦尼乌斯图和(b)时间演化。(c)S8(111)|Li3PS4(001)和(d) S8(001)|Li3PS4(100)界面沿c晶体轴观察的界面;(e) Li3PS4(001)和(f) Li3PS4(100)的表面形貌。@ACS
图11a,b显示了不同α-S8|β-Li3PS4界面区域在模拟时间尺度下的Li密度的阿伦尼乌斯图和时间演化图。具有较低Li密度和局部Li扩散路径的表面往往具有较高的表面Ea。总的来说,与体相β-Li3PS4相比,间相的形成导致了Ea的增加,这也取决于界面的相对Li富集/耗尽。界面的Li轨迹(图11c)也揭示了一维Li扩散路径的破坏,Ea较高的表面倾向于形成较高Ea的界面。这些差异可以追溯到不同的β-Li3PS4表面的形貌和Li扩散拓扑结构(图11e,f)。(001)表面是波纹型的,这导致了一维Li扩散通道的形成,通道间跳跃。相比之下,(100)表面和(010)表面是高度平整的,具有大量的扩散路径,从而实现了表面的高覆盖,从而具有较低的Ea。
这项工作为LSBs中的正极/SE界面提供了一个全面的热力学和动力学分析。一般来说,充电态的S8正极比完全放电态的Li2S正极具有更强的反应性。在不同的阴离子化学反应中,硫化物SEs对LSB正极的热力学稳定性最强。如果由于其他原因需要使用其他SE阴离子化学物质,硫化物也是高效的缓冲层。我们希望这些发现可以推广到任何LIBs或LSBs的SEs或缓冲层。通过使用高精度MTP的纳秒MD模拟,证明了Li3PS4/S8界面的反应性与复合α-S8表面的相对表面能有关,高能的表面比低能高的表面反应性更强。最后,虽然间相的形成倾向于增加Li扩散的活化能,Li3PS4界面的形貌和Li扩散拓扑结构是界面锂扩散维度和势垒的关键因素。最稳定的Li3PS4(100)表面倾向于与S8形成具有二维通道的界面,并具有较低的Li扩散活化势垒。
Manas Likhit Holekevi Chandrappa, Ji Qi, Chi Chen, Swastika Banerjee,* and Shyue Ping Ong*,Thermodynamics and Kinetics of the Cathode−Electrolyte Interface in All-Solid-State Li−S Batteries,J. Am. Chem. Soc.,2022
https://doi.org/10.1021/jacs.2c07482
声明:本文仅代表作者观点,如有不科学之处,请在下方留言指正!文章系作者授权新威公众号发布,转载及相关事宜请联系小威(微信号:xinweiyanxuan)。