扫码阅读全文
芬兰埃博学术大学张宏博教授和南通大学李贵才副教授团队提出了一种具有双生物功能化支架的构建策略,证明具有该双功能化支架能显著促进血管生长和神经再生,有望用于周围神经损伤修复和治疗,相关成果以 ” Construction of Dual-Biofunctionalized Chitosan/Collagen Scaffolds for Simultaneous Neovascularization and Nerve Regeneration” 为题发表在Research 上(Research, 2020 DOI: 10.34133/2020/2603048)。
01
研究背景
02
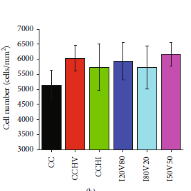
研究进展
03
未来展望
04
作者简介
●【期刊】上海硅酸盐所揭示Ag2(S,Se)无机塑性半导体中化学组分、晶体结构、力学性能、热电性能构效关系 | Research
●【期刊】2D材料及器件微纳技术最新进展,看国内外大咖如何评述 | Research
●【蔻享科讯】科幻变现实:液态游动金属纳米机器人用于癌症主动联合治疗 |Research
●【期刊】Research编辑部:新型冠状病毒大爆发的防控:早期诊断、药物治疗及全球协同合作抗疫|新加坡国立大学刘小钢教授团队国际合作重磅综述
●【期刊】Research编辑部:电弧放电法一步合成高稳定性单原子催化剂的新策略,中科院上海硅酸盐研究所等单位最新研究成果
欢迎大家提供各类学术会议或学术报告信息,以便广大科研人员参与交流学习。