以下文章来源于nanomicroletters ,作者纳微快报
Nano-Micro Letters 是上海交通大学主办的英文学术期刊,主要报道纳米/微米尺度相关的最新高水平科研成果与评论文章及快讯,在 Springer 开放获取(open-access)出版。可免费获取全文,欢迎关注和投稿。
随着化石燃料的不断开采和使用,能源危机和环境恶化的问题越来越严重。可再生能源(如太阳能、风能和潮汐能),在缓解环境污染的同时,正逐步取代传统的火力发电,但这些可再生能源面临着供需结构的不匹配和区域能源调度的困难。因此,开发清洁、高效、便携的能源转换装置是非常可取的,但目前仍是一个技术难题。与主要依靠氧离子传导的传统固体氧化物电池(SOCs)相比,依靠质子传导的可逆质子陶瓷电化学电池(R-PCECs)由于其低能耗和高效的能量转换而引起广泛关注。由于质子传导需要较低的能量屏障,R-PCECs可以促进工作温度从高温到中间温度(500-700 ℃)的转变,从而提高电池的耐用性和各种设备的相互匹配,并降低原材料的成本。然而,R-PCECs的技术难题之一是空气电极的氧还原反应(ORR)和氧析出反应(OER)的电催化活性不足。因此,开发具有高电化学活性和稳定性的高性能双功能空气电极对R-PCECs具有特殊意义。
High Entropy Perovskite Oxide: A New Opportunity for Developing Highly Active and Durable Air Electrodes for Reversible Protonic Ceramic Electrochemical Cells
Zuoqing Liu, Zhengjie Tang, Yufei Song, Guangming Yang*, Wanru Qian, Meiting Yang, Yinlong Zhu*, Ran Ran, Wei Wang, Wei Zhou, Zongping Shao*
Nano-Micro Letters (2022)14: 217
https://doi.org/10.1007/s40820-022-00967-6
本文亮点
1. 合成用于可逆质子陶瓷电化学电池空气电极的高熵钙钛矿氧化物。
2. 三重导电的高熵空气电极表现出良好的结构稳定性和氧气催化活性。
3. 具有高熵空气电极的单电池在燃料电池和电解模式下的峰值功率密度和电流密度分别为1.21 W cm⁻²和-1.95 A cm⁻²在600 ℃。
内容简介
图文导读
通过XRD精修深入的探究了采用简单的溶胶-凝胶法合成的PLNBSCC钙钛矿氧化物的相结构,其呈现一个Pm-3m的空间基团,晶格参数为a=b=c=3.8301(3) Å(图1a,Rₚ=3.51%,Rwp=4.55%,χ² = 1.79)。同时,母体氧化物PBC呈现典型的层状钙钛矿结构,空间基团为P4/mmm。这里,通过增加PBC的A位点阳离子种类来实现晶体结构从层状钙钛矿向立方钙钛矿的转变,这是基于钙钛矿氧化物体系构型熵的增加所导致的结构稳定效应。然而,当所有元素的原子分数相等时,A位点阳离子的掺杂数与构型熵的关系如图1b所示(不考虑可能的氧空位和电子空穴的影响)。显然,PLNBSCC的A位点构型熵为1.79R,而PBC氧化物作为简单双钙钛矿的构型熵为0(AB位有序)。此外,通过HAADF-STEM图像和EDX元素映射揭示了PLNBSCC中Pr、La、Nd、Ba、Sr、Ca、Co和O元素的均匀性(图1c)。此外,图1d所示的EDX光谱表明,各元素的原子比接近理论化学计量比。然后用HRTEM研究了高熵钙钛矿氧化物PLNBSCC的立方构型。图1e所示的晶格间距为2.701 Å,对应于PLNBSCC氧化物的(110)晶格面。
图1. (a) PLNBSCC粉末的XRD精修谱图;(b) 金属氧化物系统的最大构型熵与所含阳离子数量的关系;(c) PLNBSCC粉末TEM图像和EDX元素映射;(d) 图1c中PLNBSCC粒子的EDX光谱;(e) PLNBSCC的HR-TEM图像。
II 对称电池的电化学性能
Gd0.2Ce0.8O1.9 (GDC)电解质的对称电池上使用PLNBSCC电极所测得的EIS曲线如图2a。在700、650、600、550和500 °C条件下,极化电阻(Rₚ)分别为0.01、0.02、0.05、0.12和0.33 Ω cm²。DRT分析图谱显示了PLNBSCC空气电极的HF峰P1和IF峰P2的面积小于PBC电极,说明高熵PLNBSCC氧化物的电荷转移更快,氧的体扩散也大大改善。在相同的温度下,PLNBSCC的Rₚ值大大低于报道的空气电极材料,表明其优异的氧催化活性。
PLNBSCC电极在质子导体电解质的对称电池上也测出极低的Rₚ值,与干燥空气条件相比,水蒸气的引入大大降低了Rₚ,这是因为水化反应加速了表面离子交换和体质子导电性。同时,高熵PLNBSCC电极具有优异的ORR活性,这是由于其快速反应动力学,该动力学与快速电子离子传导和水化反应密切相关也被反映通过DRT拟合。
图2. (a)在500-700 ℃下测得PLNBSCC电极基于GDC的对称电池的EIS曲线;(b)在600 ℃下对PLNBSCC和PBC电极的EIS谱进行DRT分析;(c)PLNBSCC、PBC、LPNSBSCFNC、LPNSGC、SFTNM、BCFZY0.925、BBSC、PBSC和PBC-GDC电极的Rₚ的Arrhenius图;(d)PLNBSCC电极在BZCYYb电解质的对称电池上测得的EIS图谱;(e) PLNBSCC、PLNBC、PBSCC和PBC电极在550 ℃、5%的H2O-空气下的EIS比较;(f) 和相应的DRT图;(g)在500-700 ℃时,PLNBSCC、PLNBC、PBSCC和PBC电极的对称电池的活化能图。
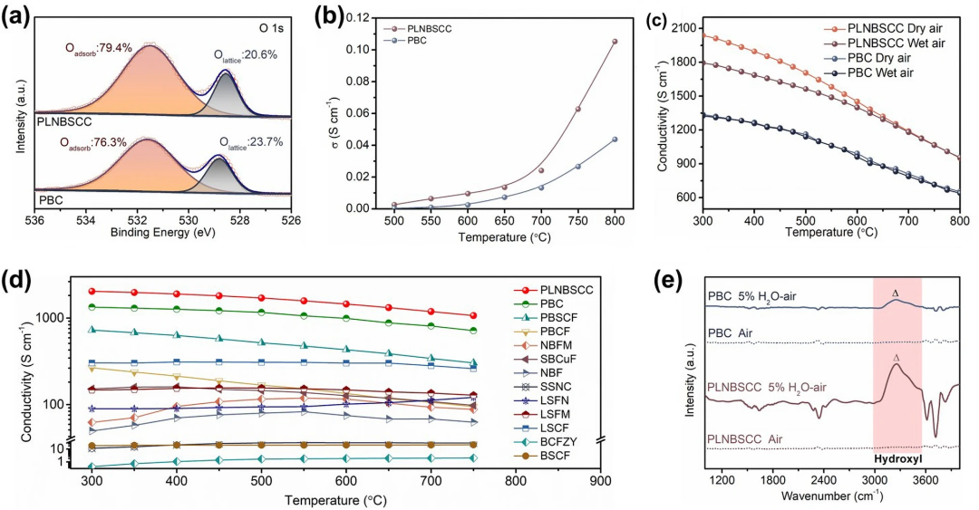
III 电导率与水化反应
图3. (a)PLNBSCC和PBC氧化物O1s的XPS谱;(b) PLNBSCC和PBC氧化物在500-800°C温度范围内的O²⁻电导率;(c)在300-800 °C的干湿空气(3% H2O)下测量PLNBSCC和PBC氧化物的电导率;(d)与大多数典型空气电极相比,PLNBSCC在300-750 °C时的导电性;(e)PLNBSCC和PBC氧化物在干燥空气和5% H2O-空气中400 °C处理2h后的红外光谱。
IV R-PCECs的性能和稳定性
图4a展示了使用PLNBSCC空气电极的燃料电池典型的I-V和功率密度曲线,峰值功率密度(PPD)分别为1.087,0.81和0.57 W cm⁻²,在600,550和500 °C下运行。同时,在相同的条件下,对R-PCECs采用公认的BCFZY和BSCF空气电极进行了测试。图4b描述了PLNBSCC、PBC、BCFZY和BSCF电极获得的PPD的比较。PBC、BCFZY和BSCF电极在600 °C下的PPD分别为0.66、0.72和0.59 W cm⁻²,与这些电极相比,PLNBSCC电极的PPD分别提高了65%、51%和85%。同时,PLNBSCC空气电极在不同电流密度下获得了出色的电化学稳定性。在10% H2O-空气条件下,进一步评价电极的OER活性和电解性能,测得采用PLNBSCC空气电极的典型I-V曲线,如图4d所示,在600,550和500 °C下,1.3 V电压对应的电解电流密度分别为-1.53、-1.21和-0.84 A cm⁻²。采用PLNBSCC空气电极的单电池在1120分钟循环试验中保持稳定运行,无明显衰减。另一方面,具有PLNBSCC电极的单电池在不同的电压循环测试下也保持了相对稳定的性能输出。空气电极的电催化活性随着测试温度的长期波动而下降,这仍然是大多数电极面临的缺点。而使用PLNBSCC空气电极的单电池在恒定电流密度为-0.8 A cm⁻²的条件下工作,其反馈电压值在不同温度下保持稳定,说明PLNBSCC电极与电解质之间具有良好的热匹配和相容性。在不同电流密度下电解池的法拉第效率也达到了80%以上。此外,还进行了电解操作下单电池的长期(200 h)稳定性试验,以验证PLNBSCC空气电极的耐久性。以及在高水分压下的耐受性测试均表现出色。
图4.(a)以高熵PLNBSCC为空气电极的单电池在500、550和600 ℃下的I-V和功率密度曲线;(b)与PBC、BCFZY和BSCF空气电极相比,燃料电池模式下PLNBSCC空气电极的峰值功率密度;(c)在不同的电流密度(0.2、0.3、0.4和0.5 A cm⁻²)和550 ℃下,燃料电池模式下PLNBSCC电池的稳定性;(d) 在500-600 ℃的电解模式下测试的带有PLNBSCC电极的单电池的典型I-V曲线;(e)在550 ℃下R-PCECs的可逆操作中观察到电压;(f)在500-600 ℃的电解模式下进行的热循环耐久性测试;(g)在600 ℃的电解模式下,采用PLNBSCC电极的电池的产氢速率和FE是电流密度的函数,燃料电极为氩气,空气电极为30%的H2O-空气;(h)在500 ℃的电解模式下,电流密度为-0.8 A cm⁻²和550 ℃的单电池稳定性测试。
V 单电池结构优化
本实验通过旋涂法制备了一层更薄的电解质层,进一步提高了电化学性能,优化了电池结构,降低了欧姆阻抗(Rₒ)。图5a为采用PLNBSCC空气电极和旋涂电解质层的单电池的I-V和功率密度曲线,在600、550和500 ℃时,燃料电池模式下单电池的峰值功率密度分别为1.21、0.96和0.66 W cm⁻²。此外,在电解模式下测得的电流密度分别为-1.95,-1.47和-1.11 A cm⁻² (1.3 V)。与干压法制备的单电池相比,其电化学性能明显提高。例如,在600 °C时,电解性能提高了27.5%。图5c为测试后旋涂法制备的单电池截面SEM形貌。厚度约6.5 μm的致密电解质层与空气电极和燃料电极紧密接触。因此也获得了极低的Rₚ和Rₒ,分别归因于高熵PLNBSCC优异的电化学活性和较薄的电解质层。同时,LNBSCC空气电极在r-pecs中表现出最高的电化学性能之一。
图5. 通过旋涂法对单电池结构进行了优化,以制备更薄的电解质层,并获得优异的电化学性能。(a)燃料电池运行时的I-V和功率密度曲线;(b)电解运行时(10% H2O-空气)的I-V曲线是在500-600 ℃下使用高熵PLNBSCC空气电极的R-PCEC测量的;(c)单电池的横截面SEM图像;(d)在500-600 ℃下,燃料电池(开路电压)和电解模式(1.3V)下单电池的EIS曲线;(e)在燃料电池和电解模式下,用带有PLNBSCC空气电极的R-PCEC获得的峰值功率密度和电流密度与一些报道的空气电极材料相比。
作者简介
撰稿:原文作者
推荐阅读
点击阅读原文,查看更多!