磷酸肌醇 3-激酶调节亚基 1 (PIK3R1) 被认为是一种肿瘤抑制因子,而磷酸肌醇 3-激酶调节亚基 2 (PIK3R2) 是一种肿瘤驱动因子。
近日,有研究团队全面调查了 PIK3R1 和 PIK3R2 在33种不同肿瘤中的基因表达、基因改变、DNA 甲基化和预后意义。
最后结果表明PIK3R1在大多数肿瘤中低表达,而PIK3R2在大多数肿瘤中高表达,基因表达异常可能与启动子甲基化有关。
此外,发现PIK3R1 的下调和 PIK3R2 的上调也对大多数癌症患者的生存有害,PIK3R1 和 PIK3R2 可以作为几种癌症的预后标志物。
该文刊登在《Nature》子刊上,原文题目为“Pan-cancer analysis on the role of PIK3R1 and PIK3R2 in human tumors”。
磷酸肌醇 3-激酶 (PI3K) 活性受到多种癌基因和生长因子受体的刺激,PI3K 信号传导异常被认为是癌症的标志。
尽管 PIK3R1 和 PIK3R2 已被证明在多种肿瘤中作为抑癌基因和癌基因发挥相反的作用,但缺乏它们在泛癌中作用的证据。
研究团队首先对来自癌症基因组图谱 (TCGA)的公共数据库进行分析,通过33 个 TCGA 肿瘤的详细临床信息对PIK3R1 和 PIK3R2 进行系统性泛癌分析。
然后使用 TIMER 和 GEPIA 数据库可视化泛癌中 PIK3R1 和 PIK3R2 基因的转录表达水平,系统分析 TCGA 中基因表达和肿瘤特征之间关联。
发现:PIK3R1在肿瘤中的表达水平显着低于相应的正常组织,PIK3R2在肿瘤中的表达水平显着高于相应的正常组织。
图1:PIK3R1和PIK3R2在不同肿瘤和病理阶段的表达水平
随后,研究团队进一步使用 GEPIA 数据库来评估 PIK3R1 和 PIK3R2 在肿瘤和对照组织之间的表达差异。
结果再次证明,与相应的对照组织相比,大多数癌症中 PIK3R1 的表达较低,而 PIK3R2 的表达较高。
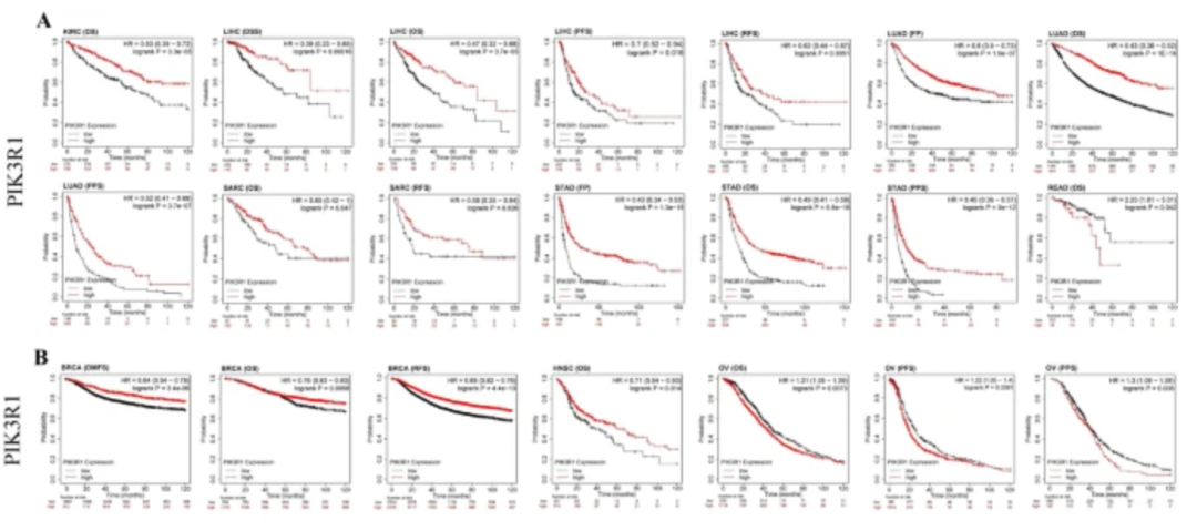
此外,研究团队通过Kaplan-Meier Plotter 工具来探索 PIK3R1 和 PIK3R2 表达水平与 21 种不同肿瘤患者预后的相关性。
最后发现:PIK3R1 和 PIK3R2 的表达分别与 13 种和 12 种癌症类型的预后显着相关,PIK3R1 和 PIK3R2 的表达与 9 种癌症类型的预后相关。
图2:比较不同肿瘤中 PIK3R1 和 PIK3R2 低表达和高表达的生存曲线
DNA甲基化作为表观遗传机制之一,参与了肿瘤的发生和发展。
因此,接下来研究团队分别使用 PIK3R1 和 PIK3R2 启动子中的 8 个探针和 19 个探针来检测 PIK3R1 和 PIK3R2 的 DNA 甲基化水平。
结果发现:PIK3R1 的启动子甲基化水平在7种癌症中较高,在另外8种癌症中较低。PIK3R2 的启动子甲基化水平在3种癌症中较高,在另外7种癌症中较低。
图3:PIK3R1和PIK3R2在正常组织和不同肿瘤组织间的甲基化水平
接下来,研究团队探讨了PIK3R1 和 PIK3R2 的基因表达是否与不同类型癌症的免疫浸润水平有关。
结果表明,PIK3R1表达与大多数肿瘤中免疫细胞的浸润水平呈正相关,相比之下,PIK3R2表达与大多数癌症中的免疫浸润水平呈负相关。
最后,研究团队表示:
PIK3R通路是不同癌症谱系中最常见的驱动事件之一,该研究通过对PIK3R1 和 PIK3R2 的综合泛癌分析表明:在大多数肿瘤中 PIK3R1 经常低表达,而 PIK3R2 经常过表达。
发现可以调节癌细胞增殖的 PIK3R1 已被确定在许多人类肿瘤的癌变过程中发挥重要作用,并与肿瘤进展和转移有关,并且PIK3R1或PIK3R2可以通过某些共同的分子机制在不同肿瘤的发病机制中发挥作用。
参考文献:DOI: https://doi.org/10.1038/s41598-022-09889-0