电导率是导体及半导体材料的重要的电学参数之一,电导率的大小与材料的电性能有十分密切的关系。在光伏、电化学、储能、导电聚合物等领域,材料电导率的表征几乎是不可或缺的。在此,本文重点总结了材料的电子电导率的测试原理及方法,希望对各位同学有所帮助。
2.1 导体的分类
导体是指电阻率很小且易于传导电流的物质。导体中存在大量可自由移动的带电粒子称为载流子。在外电场作用下,载流子作定向运动,形成明显的电流。根据材料导电时载流子种类的不同,可以把材料分为两类:第一类导体和第二类导体。
第一类导体是以电子为载流子的材料,如金属、石墨、碳材料等。在这类材料中,原子的核外价电子能轻易挣脱原子核的束缚成为自由电子,并在外加电场的作用下定向运动,因此这类导体也称为电子导体。这类材料在导电的过程中,本身不发生任何化学变化。
第二类导体是以离子为载流子的材料,常见的第二类导体主要是含电解质的溶液或熔融态的电解质(如NaCl水溶液),其载流子是正负离子。这类材料多为离子晶体,阴阳离子之间的结合能较高,原子的价电子难以挣脱原子核的束缚单独运动,只能与阴阳离子一起运动,因此这类材料也称为离子导体。离子导体虽然能导电,但其在通电过程中往往伴随着化学变化,且有物质的转移,这也是其区别于电子导体的特征。
除了这两类常见的导体外,还有一类特殊的导体——电离的气体,一般称为气体导体。其原理是利用高能射线、高温或超高电压使气体发生电离,形成气态的导体。气体导体同时含有正负离子和自由电子,常应用于电光源制造工业。日光灯中的氩气在高电压的作用下发生电离产生弧光放电现象,电离后的氩气就是一种气体导体。
2.2 电导率
电导率(a)用来描述物质中电荷流动难易程度的参数,其值与介质中电场强度的乘积为电流密度。电导率o的标准单位是西门子/米(S/m),大小为1A的电流通过物体的横截面并存在lV电压时,物体的电导就是1 S。物质的电导率也等于电阻率p的倒数,即o=1/p,如公式(1)所示:
其中,R为电阻,l和A分别为测试样的长度和横截面积。因此,电导率可以认为是指长度为1 m、横截面积为l m2的物质的电导,或体积为1 m3的导体的电导。
已经有电阻率了,为什么还要引入电导率的概念呢?我们知道,不同的物质的导电能力有较大的差异。对于电子导体,金属银的导电性最佳,其次是铜。而对于离子导体,其导电能力往往与电解质的浓度有较大的关系。大多数金属的导电能力远远优于电解质溶液。因此,为了更直观的对比不同类导体间的导电能力,引入电导率的概念就更加方便。
⬇快速预约电导率测试⬇
材料的电子电导率是通过测量其电阻率来确定的。根据安培公式R=U/I,通过测定通过导体的电流和通过导体的电压降计算出导体的电阻,并测量出待测样品的几何尺寸,进而通过公式(1)计算电导率。这种方法我们一般称为直流法,直流法又包括二探针和四探针法,这类方法主要针对纯电子导电的材料。当测量混合导体时,即导体中含有电子和离子两类载流子时,由于离子的导电性具有不可逆性,电荷转移阻抗会影响测量,因此,直流法常常选择离子阻塞电极,使电子导电率的测量更加准确。
3.1 二探针直接测量法
图1为探针科技RTS-7型二探针测试仪的仪器。大部分二探针法测量材料电导率的实验装置原理基本类似,如图2所示。由于测试时试样处于两探针之间,探针、集流体、试样是串联接入电路,故最终测试得到的电阻包括探针本身电阻、探针与涂层的接触电阻、涂层电阻、涂层与集流体接触电阻、集流体本身电阻。
图1 RTS-7型二探针测试仪
该方法的缺点是很难得到材料本身电导率的绝对值,对测试本身电导率较高的材料具有较大的误差。
图2 两探针电阻仪装置示意图
除了仪器自身的误差外,试验参数(施加的电流和施加的压强)对最终测试的样品电阻有较大影响。施加的电流主要对于高电阻材料(如磷酸铁锂)影响较小,加载电流较小时就能得到稳定结果;而对于低电阻材料(石墨电极),加载电流相对较高才能得到稳定结果,最终对所有测试电极选择10 mA 的加载电流以实现比较稳定的测量结果。而对于粉末活性材料,并不是对单个粉末颗粒进行测试,而是对于整体聚集的粉末样品,因此压强对粉末样的电导有较大的影响。如图3所示,施加的压强小,则样品颗粒之间的接触不好,导致电子传导受阻;反之,压强增大,样品颗粒之间的接触变得良好,电子传导会增强,电导也会变大。此外,湿度和温度也会影响材料的电导率。基于以上原因,粉末样品电阻率的表述通常并非单一值,而是电阻率随压强的变化关系(表1)。
图3 粉末样品在不同压力下的接触情况
表1 粉末样品在不同压力下的电导率
3.2 四探针测量法
四探针法是在两探针法基础上的改进,通过在电流探针之间再加上两根探针,在很大程度上消除了接触电阻的影响。两探针与四探针之间的电极构建差异可以归纳如图4所示。在两探针法中,测量回路和电流回路是同一回路,回路本身的电阻会对测试结果有较大影响;而在四探针法中,测量回路和电流回路则是并联的,回路中的电阻则不会对测量结果产生不可忽略的影响。因此,无论样品的电阻大小,只要其测试样品的尺寸足够大,则测量结果就足够精确。此外,为了进一步消除电压探针本身的接触电阻和注入效应,四探针法还采用补偿法来测量电压,使电流不必通过电压探针,从而测试的电阻较为准确。
图4 二探针(上)与四探针(下)之间的电极构建
⬇快速预约四探针测试⬇
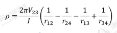
如图5所示,在相对对于探针无穷大的平板试样表面存在四根探针,由恒流源向外面两根探针1、4通入小电流l,测量中间两根探针2、3间的电位差u,结合探针间的距离,则可以根据公式(2)求得样品的电阻率p或电导率o。
图5 任意位置的四探针(左)和直线型四探针仪(右)
最常用的四探针测试仪是直线型四探针仪,其四个探针等间距排列在一条直线上。因此,其样品的电阻率p可简化成公式(3),如下所示:
由于四探针法消除了探针和样品(压实的片或涂层)之间的接触电阻,常用于确定粉末、薄膜等材料的电子电导的绝对值。但是有两点需要说明:
第一,由于大部分四探针法测试时会采用绝缘基底来避免电流向基底方向传导,即使必须使用导电基底,也会通过调节探针距离等方法避免支路电流,因此四探针法得到的结果仅能描述测试测试样品表面涂层的电阻。
第二,如果测试样涂层相对较厚,四探针法仅能得到部分涂层的电阻贡献,而忽略了极片的涂层梯度,因此也无法全面表征极片电阻值。
尽管四探针测试结果也存在一定误差,但是该方法仍是最常用的材料电导率测试手段。合理地运用这些手段来分析并解决实际生产和科学研究中的问题,才是我们掌握这些测试技术的初衷。
参考文献:
[1] 周东祥, 潘晓光. 电子材料与元器件测试技术[M]. 华中理工大学出版社, 1994.
[2] 许洁茹, 凌仕刚, 王少飞,等. 锂电池研究中的电导率测试分析方法[J]. 储能科学与技术, 2018(5): 926-955.
[3] WESTPHAL B G, MAINUSCH N, MEYER C, et al. Influence of high intensive dry mixing and calendering on relative electrode resistivity determined via an advanced two point approach[J]. Journal of Energy Storage, 2017, 11: 76-85.
2022-11-01
2022-11-02
2022-11-03
2022-11-01