该系列文章是讲解Python OpenCV图像处理知识,前期主要讲解图像入门、OpenCV基础用法,中期讲解图像处理的各种算法,包括图像锐化算子、图像增强技术、图像分割等,后期结合深度学习研究图像识别、图像分类、目标检测应用。
前一篇文章介绍Python调用OpenCV实现图像融合、图像加减法、图像逻辑运算和类型转换。这篇文章将详细讲解图像缩放、图像旋转、图像翻转、图像平移。希望文章对您有所帮助,如果有不足之处,还请海涵~
一.图像缩放
二.图像旋转
三.图像翻转
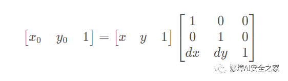
四.图像平移
该系列在github所有源代码:
https://github.com/eastmountyxz/
ImageProcessing-Python
前文回顾(下面的超链接可以点击喔):
[Python图像处理] 二.OpenCV+Numpy库读取与修改像素
[Python图像处理] 六.图像缩放、图像旋转、图像翻转与图像平移
学Python近八年,认识了很多大佬和朋友,感恩。由于在外求学且需要养娃,故在CSDN设置成了最低价收费专栏,觉得不错的可以购买抬爱;但作者的本意是帮助更多初学者入门,因此在github开源了所有代码,也在公众号同步更新。深知自己很菜,得拼命努力前行,编程也没有什么捷径,干就对了。希望未来能更透彻学习和撰写文章,同时非常感谢参考文献中的大佬们的文章和分享,共勉。
- https://blog.csdn.net/eastmount
result = cv2.resize(src, dsize[,
result = cv2.resize(src, (160,160))
result = cv2.resize(src, None,
fx=0.5, fy=0.5)
#encoding:utf-8
import cv2
import numpy as np
#读取图片
src = cv2.imread('test.jpg')
#图像缩放
result = cv2.resize(src, (200,100))
print(result.shape)
#显示图像
cv2.imshow("src", src)
cv2.imshow("result", result)
#等待显示
cv2.waitKey(0)
cv2.destroyAllWindows()
#encoding:utf-8
import cv2
import numpy as np
#读取图片
src = cv2.imread('test.jpg')
rows, cols = src.shape[:2]
print(rows, cols)
#图像缩放 dsize(列,行)
result = cv2.resize(src, (int(cols*0.6), int(rows*1.2)))
#显示图像
cv2.imshow("src", src)
cv2.imshow("result", result)
#等待显示
cv2.waitKey(0)
cv2.destroyAllWindows()
#encoding:utf-8
import cv2
import numpy as np
#读取图片
src = cv2.imread('test.jpg')
rows, cols = src.shape[:2]
print(rows, cols)
#图像缩放
result = cv2.resize(src, None, fx=0.3, fy=0.3)
#显示图像
cv2.imshow("src", src)
cv2.imshow("result", result)
#等待显示
cv2.waitKey(0)
cv2.destroyAllWindows()
M = cv2.getRotationMatrix2D(
(cols/2, rows/2), 30, 1)
参数分别为:旋转中心、旋转度数、scale
rotated = cv2.warpAffine(
src, M, (cols, rows))
参数分别为:原始图像、旋转参数、原始图像宽高
#encoding:utf-8
import cv2
import numpy as np
#读取图片
src = cv2.imread('test.jpg')
#原图的高、宽 以及通道数
rows, cols, channel = src.shape
#绕图像的中心旋转
#参数:旋转中心 旋转度数 scale
M = cv2.getRotationMatrix2D((cols/2, rows/2), 30, 1)
#参数:原始图像 旋转参数 元素图像宽高
rotated = cv2.warpAffine(src, M, (cols, rows))
#显示图像
cv2.imshow("src", src)
cv2.imshow("rotated", rotated)
#等待显示
cv2.waitKey(0)
cv2.destroyAllWindows()
M = cv2.getRotationMatrix2D(
(cols/2, rows/2), -90, 1)
rotated = cv2.warpAffine(
src, M, (cols, rows))
#encoding:utf-8
import cv2
import numpy as np
import matplotlib.pyplot as plt
#读取图片
img = cv2.imread('test.jpg')
src = cv2.cvtColor(img,cv2.COLOR_BGR2RGB)
#图像翻转
#0以X轴为对称轴翻转 >0以Y轴为对称轴翻转 <0X轴Y轴翻转
img1 = cv2.flip(src, 0)
img2 = cv2.flip(src, 1)
img3 = cv2.flip(src, -1)
#显示图形
titles = ['Source', 'Image1', 'Image2', 'Image3']
images = [src, img1, img2, img3]
for i in range(4):
plt.subplot(2,2,i+1), plt.imshow(images[i], 'gray')
plt.title(titles[i])
plt.xticks([]),plt.yticks([])
plt.show()
M = np.float32([[1, 0, x], [0, 1, y]])
shifted = cv2.warpAffine(image,
M, (image.shape[1], image.shape[0]))
#encoding:utf-8
import cv2
import numpy as np
import matplotlib.pyplot as plt
#读取图片
img = cv2.imread('test.jpg')
image = cv2.cvtColor(img,cv2.COLOR_BGR2RGB)
#图像平移 下、上、右、左平移
M = np.float32([[1, 0, 0], [0, 1, 100]])
img1 = cv2.warpAffine(image, M, (image.shape[1], image.shape[0]))
M = np.float32([[1, 0, 0], [0, 1, -100]])
img2 = cv2.warpAffine(image, M, (image.shape[1], image.shape[0]))
M = np.float32([[1, 0, 100], [0, 1, 0]])
img3 = cv2.warpAffine(image, M, (image.shape[1], image.shape[0]))
M = np.float32([[1, 0, -100], [0, 1, 0]])
img4 = cv2.warpAffine(image, M, (image.shape[1], image.shape[0]))
#显示图形
titles = [ 'Image1', 'Image2', 'Image3', 'Image4']
images = [img1, img2, img3, img4]
for i in range(4):
plt.subplot(2,2,i+1), plt.imshow(images[i], 'gray')
plt.title(titles[i])
plt.xticks([]),plt.yticks([])
plt.show()
本文主要讲解Python和OpenCV的图像基础处理,具体内容包括:
一.图像缩放
二.图像旋转
三.图像翻转
四.图像平移
回想2018年当时写这篇文章的感言,不错!
三尺讲台,三寸舌,
三千桃李,三杆笔。
再累再苦,站在讲台前就是最美的自己,几个月的烦恼和忧愁都已消失,真的好享受这种状态,仿佛散着光芒,终于给低年级的同学上课了越早培养编程兴趣越好,恨不能倾囊相授。即使当一辈子的教书匠,平平淡淡也喜欢,而且总感觉给学生讲课远不是课酬和职称所能比拟,这就是所谓的事业,所谓的爱好。
源代码下载地址,记得帮忙点star和关注喔!
https://github.com/eastmountyxz/
ImageProcessing-Python
2020年8月18新开的“娜璋AI安全之家”,主要围绕Python大数据分析、网络空间安全、人工智能、Web渗透及攻防技术进行讲解,同时分享CCF、SCI、南核北核论文的算法实现。娜璋之家会更加系统,并重构作者的所有文章,从零讲解Python和安全,写了近十年文章,真心想把自己所学所感所做分享出来,还请各位多多指教,真诚邀请您的关注!谢谢。
(By:Eastmount 2021-03-16 夜于武汉 )
参考文献,在此感谢这些大佬,共勉!
[1] 冈萨雷斯. 数字图像处理(第3版)[M]. 电子工业出版社, 2013.
[2] 毛星云, 冷雪飞. OpenCV3编程入门[M]. 电子工业出版社, 2015.
[3] https://blog.csdn.net/Eastmount