北工大尉海军AFM:用于高稳定锂离子电池的梯度“单晶”富锂正极材料
BAT
电池未来
电池未来
微信号
batteryfuture
功能介绍
专注未来技术,跟踪电池前沿!
发表于
收录于合集
【做计算 找华算】
理论计算助攻顶刊,10000+成功案例,全职海归技术团队、正版商业软件版权!
经费预存选华算,高至15%预存增值!
具有“单晶”特性的富锂层状氧化物(SC-LLO)作为锂离子电池(LIBs)的高能正极材料之一,由于其内部边界减小且机械稳定性增强,可有效抑制副反应和裂纹。然而,对于具有多种性能要求的SC-LLO仍然存在很高的挑战,尤其是在提高循环稳定性方面。
在此,
北京工业大学尉海军教授
等人结合“单晶”颗粒的优点和合理梯度结构的高稳定性,通过调整共沉淀和熔盐烧结工艺设计并制备了具有全浓度梯度的SC-LLO(GSC-LLO)。
通过横断面一维线扫描和二维成像,作者具体说明了Mn和Ni在规则且分散良好的微米GSC-LLO颗粒中的浓度梯度分布。其中,Mn含量从单晶颗粒中心到表面逐渐降低,Ni含量逐渐增加。
此外,原位XRD表征表明,梯度设计引起的潜在大体积变化受到“单晶”特性的限制,从而为LLO优异的电化学稳定性提供了理论理解。
软X射线吸收光谱(sXAS)表明,GSC-LLO中形成的Mn
2+
较少,导致+3.6的平均化合价高于SC-LLO中的+3.5。因此,GSC-LLO中的Jahn-Teller畸变更能得到抑制,预计其具有增强的电化学稳定性。
图1. SC-LLO和GSC-LLO的电化学性能对比
结果表明,与非梯度SC-LLO相比,GSC-LLO在0.1 C下100次循环内的容量保持率达到97.6%,能量密度损失减少4.2%,并增强了由升高的Li
+
扩散系数引起的倍率性能。
同时,GSC-LLO长期循环后稳定性和性能的提高进一步体现在无开裂特征、保持Mn平均价和减少层状到尖晶石相的结构转变。
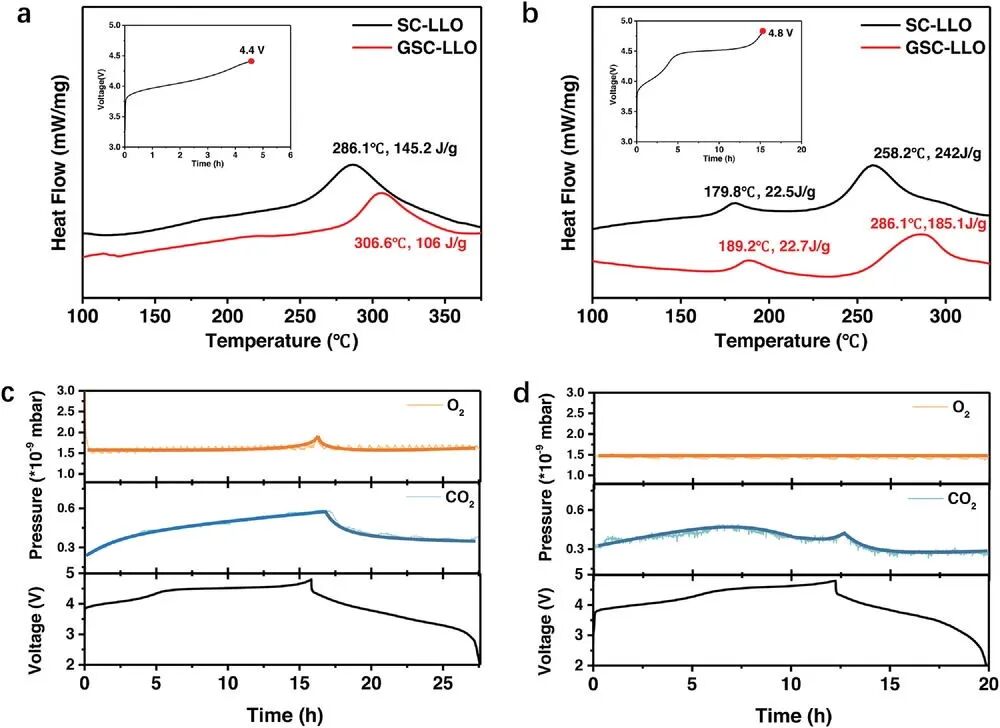
此外,通过差示扫描量热法(DSC)和原位微分电化学质谱法(DEMS)研究,作者还发现GSC-LLO具有最佳的热稳定性和抑制CO
2
/O
2
释放。
总之,SC-LLO中的浓度梯度提供了多种优势,包括增强的机械强度、减少的Mn还原、抑制的表面重组和稳定的表面氧,不仅优化了容量/电压保持率和倍率性能,而且增强了热稳定性和抑制气体释放,这对于开发高能量、长寿命和高安全性的LIBs至关重要。
图2. SC-LLO和GSC-LLO的热稳定性和气体释放特性
Gradient “Single-Crystal” Li-Rich Cathode Materials for High-Stable Lithium-Ion Batteries,
Advanced Functional Materials
2022. DOI: 10.1002/adfm.202210154
【做计算 找华算】
华算科技专注催化计算服务、正版商业软件版权、全职海归计算团队,10000+成功案例!
用户研究成果已发表在Nature Catalysis、JACS、Angew.、AM、AEM、AFM、EES等国际顶级期刊。
添加下方微信好友,立即咨询计算服务:
电话/微信:13622327160
点击阅读原文,提交计算需求!
预览时标签不可点
微信扫一扫
关注该公众号
知道了
微信扫一扫
使用小程序
取消
允许
取消
允许
:
,
。
视频
小程序
赞
,轻点两下取消赞
在看
,轻点两下取消在看