【做计算 找华算】理论计算助攻顶刊,10000+成功案例,全职海归技术团队、正版商业软件版权!
1. 赵慎龙/张斌伟/孔源AM:室温钠硫电池最高记录!硫负载达80.9%!
室温钠硫(RT Na/S)电池由于其低成本和高能量密度,具有很高的电网规模固定储能潜力。然而,由多硫化物穿梭效应引起的低S质量负载和较差的循环稳定性引起的问题严重限制了它们的运行能力和循环能力。
悉尼大学赵慎龙、重庆大学张斌伟、中科大孔源等采用硫掺杂石墨烯框架支持的原子分散的2H-MoS2和Mo1(S@MoS2-Mo1/SGF)作为RT-Na/S电池的集成双活性位点正极。
图1 电子显微镜图像
这项工作首次合成了一种硫掺杂石墨烯框架支持的原子分散的S@MoS2-Mo1/SGF,其S质量负载达到了RT-Na/S电池的最高纪录80.9%。令人印象深刻的是S@MoS2-Mo1/SGF显示出前所未有的循环稳定性,0.1 A g−1时初始容量高达1017 mAh g−1,经过1000次循环后仍保持505 mAh g-1的高容量,平均每循环仅有0.05%的低容量衰减率。
图2 室温钠硫电池性能
包括X射线吸收光谱(XAS)、原位同步X射线衍射(XRD)和密度泛函理论计算在内的实验和计算结果表明,原子级分散的双位点系统可以产生意想不到的脱域电子效应,优化了活性Mo的电子结构,导致钠的中间物出现负的吸附能量。同时,有利于促进多硫化钠的转化动力学,从而抑制了穿梭效应。因此,这一发现不仅为制备高性能双位点正极提供了有效的策略,而且加深了对其原子水平增强机制的理解。
图3 机理探究
Atomically Dispersed Dual-Site Cathode with a Record High Sulfur Mass Loading for High-Performance Room-Temperature Sodium-Sulfur Batteries. Advanced Materials 2022. DOI: 10.1002/adma.202206828
2. 华科孙永明AM:LiF溶解-沉积机制使稳定的锂金属电池成为可能
氟化界面相的产生已成为改进锂金属负极在可充高能电池中应用的有效策略。
与通过广泛采用的电解液工程(如盐和含氟溶剂添加剂)引入含氟物种相比,华中科技大学孙永明等报告了一种锂金属复合材料的设计,其中LiF可以在液态电解液中通过溶解-沉淀机制在锂金属表面局部重新分布,并使高氟含量的固体电解质界面相(SEI)形成。
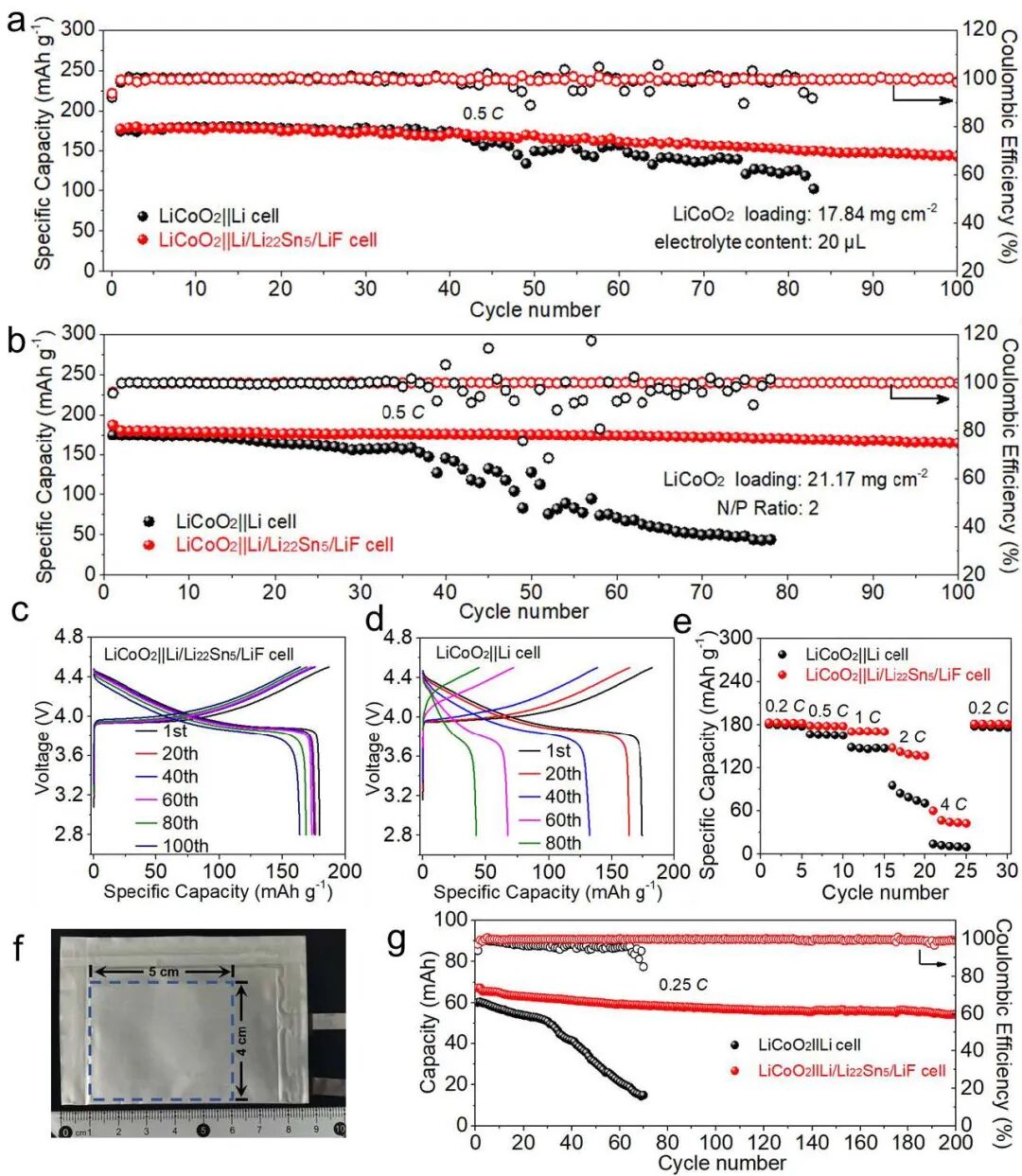
图1 Li/Li22Sn5/LiF负极的作用示意及性能
从概念上讲,与电解液成分的电化学/化学分解不同,作者提出通过LiF的新型溶解-沉淀机制来创建富含LiF的SEI,用于保护锂金属,这可以避免含氟溶剂或含氟阴离子造成的不良副反应的发生。具体而言,Li/Li22Sn5/LiF纳米复合材料通过SnF2和金属锂之间的自发转化和合金化反应,通过反复压延过程,均匀地分布在金属锂基体中。复合Li/Li22Sn5/LiF电极中的超细LiF纳米颗粒可被溶解到电解液中,随后在相邻的金属锂表面局部再沉淀,形成整体LiF保护的金属锂表面,这进一步使富含LiF的SEI形成。
图2 半电池性能
结果,Li/Li22Sn5/LiF负极在碳酸酯电解液中以1 mA cm-2和1 mAh cm-2条件循环时显示出令人印象深刻的平均库仑效率(∼99.2%),并在1 mA cm-2和2 mAh cm-2时表现出显著的循环寿命,超过1600小时。当应用于具有4.0 mAh cm-2高正极面容量的钴酸锂全电池时,在2.8-4.5 V的宽电压范围内,以2:1的低负/正比,在0.5 C的100次循环后实现了高容量保持率∼91.1%。总之,这种设计在概念上与采用广泛使用的含氟电解液添加剂在SEI中引入氟物种的设计不同,为实现可靠的锂金属电池提供了另一种方法。
图3 钴酸锂全电池性能
Locking Active Li Metal through Localized Redistribution of Fluoride Enabling Stable Li Metal Batteries. Advanced Materials 2022. DOI: 10.1002/adma.202207310
3. 王振波/周霁罡/王建Nature子刊:钴酸锂过放电机制的揭示
在商用锂离子电池中,内部短路或过锂化往往造成电极的结构转变,并可能导致安全风险。
深圳大学王振波、加拿大国家光源中心周霁罡、王建等研究了钴酸锂/石墨软包电池的过放电机制,特别是空间上分辨了钴酸锂电极的形态、表面相和局部电子结构。
图1 放电的LiCoO2电极的X-PEEM和拉曼化学成像
具体而言,这项工作对商用钴酸锂/石墨软包电池中放电/过放电的钴酸锂复合电极的界面进行了X-PEEM、XANES和拉曼成像分析,以了解过放电机制,特别是表面异质性的形态、表面相结构、局部电子环境、元素价态、它们的相互作用和叠加效应等方面。研究发现,过锂化反应是一种表面效应,在过放电过程中,随着Co的还原和表面结构的异质性降解反应,变成Li2CoO2/Co3O4/CoO/Li2O样相(排除Li1+xCoO2-y)。表面化学异质性分布随着钴酸锂颗粒的大小、深度和暴露的结晶平面,以及粘合剂PVDF/导电碳添加剂的分布而变化。
图2 D-0.0 V电极的X-PEEM化学成像和空间分辨XANES
此外,DFT计算提供了强有力的证据,表明在Li2CoO2相中存在比LiCoO2相更低的电子和离子传导性,这进一步揭示了在过放电过程中,粘合剂PVDF/导电碳添加剂的聚集分布对过锂化LiCoO2颗粒的表面化学异质性的关键影响。该结果强调了钴酸锂的表面异质性与局部环境的相互作用,并强调了XANES和PEEM分辨空间化学相异质性的能力,以研究LIB电极的降解机制。
图3 LiCoO2和Li2CoO2的电子结构和离子扩散的理论计算
Surface chemical heterogeneous distribution in over-lithiated Li1+xCoO2 electrodes. Nature Communications 2022. DOI: 10.1038/s41467-022-34161-4
4. 西安交大丁书江NML:0至60℃全天候实用锂金属电池!
具有高离子电导率的凝胶聚合物电解质(GPEs)的快速改进使其更接近固态锂金属电池的实际应用。溶剂和聚合物的结合使GPEs中的准液体快速离子传输成为可能。然而,溶剂和聚合物之间不同的离子传输能力将造成局部不均匀的Li+分布,从而导致严重的枝晶生长。此外,溶剂的差热稳定性也限制了电解质的工作温度窗口。优化离子传输环境和提高热稳定性是阻碍GPEs应用的两个主要挑战。
西安交通大学丁书江等提出了一种通过在GPE中引入垂直排列的蒙脱土(MMT)来创建离子传导阵列(ICA)的策略。
图1 材料合成
具体而言,作者通过定向冷冻法制备了垂直排列的MMT阵列作为具有超低曲率的ICA,并通过紫外线诱导聚合在GPE中创造了分布良好的连续离子传输界面以促进Li+迁移。因此,GPE/VAMMT表现出改善的离子迁移数和更高的离子传导率,在室温下达到1.08 mS cm-1。此外,作者利用6Li固态核磁共振、同步辐射X射线衍射和动态计算机模拟研究了GPE/VAMMT中的离子传输机制。
图2 电化学性质和半电池性能
实验和理论结果显示,在VAMMT的界面和层间有短的离子传输路径和高的导电性,阐明了快速和均匀的离子传输。因此,采用GPE/VAMMT的Li||LiFePO4全电池表现出约130 mAh g-1的高容量,并且在30℃下循环1000次后容量保持率超过85%。即使在极端的测试温度下,GPE/VAMMT||LiFePO4电池也显示出约125 mAh g-1的高容量,在0℃下循环200次后容量保持率>95%,在高温(60℃)下也可长期循环(>500次),库仑效率为99.4%。此外,GPE/VAMMT还在Li-S和Li-NCM系统中进行了测试,并表现出优异的电化学性能。
图3 全电池性能
Quasi-Solid-State Ion-Conducting Arrays Composite Electrolytes with Fast Ion Transport Vertical-Aligned Interfaces for All-Weather Practical Lithium-Metal Batteries. Nano-Micro Letters 2022. DOI: 10.1007/s40820-022-00952-z
5. 温兆银/吴相伟EnSM:原位构筑复合电解质助力钠金属电池1000次循环!
具有潜在高理论容量的钠金属电池(SMB)被认为是高能量密度电池最有前景的候选电池之一。然而,钠枝晶引起的安全问题严重阻碍了SMB的实际应用。由无机离子导体和有机聚合物组成的复合凝胶聚合物电解质(CGPE)可以抑制钠枝晶的生长,提高SMB的安全性。然而,有机组分和无机组分之间不相容界面的存在会导致CGPE离子电导率较低,Na+传输失效。
中科院上海硅酸盐研究所温兆银、吴相伟等展示了由硅烷改性的β-Al2O3粉末和具有交联结构的PVDF-HFP基质组成的CGPE,以消除无机-有机界面的不相容性,从而增强合成复合电解质的电化学性能。
图1 PSBX的原位制备过程和可能的交联结构示意图
由于存在无机硅氧基团(对无机表面有反应)和有机-NH2基团(与有机物质兼容),所采用的(3-氨基丙基)-三甲氧基硅烷(Atmos)可以作为陶瓷颗粒和聚合物基质之间的分子桥梁。在Atmos的帮助下,作者通过相位转换法成功地制备了一种柔性、高导电的CGPE膜。具体来说,PVDF-HFP单体在碱性环境中经历了脱氟和随后的交联,碱性环境是通过将β-Al2O3粉末分散在N,N-二甲基甲酰胺(DMF)和丙酮(ACE)的混合物中而形成的,并形成链状结构的聚合物矩阵。同时,β-Al2O3无机粉末被均匀地原位纳入聚合物基体中。在此过程中,硅烷偶联剂的加入将无机β-Al2O3粉末与PVDF-HFP聚合物基体连接起来,并改善了无机-有机界面。
图2 半电池性能
受益于原位形成的交联结构和硅烷改性的界面,所制备的PSBX-GPEs表现出理想的离子传导性和Na+转移数,以及在抑制钠枝晶生长方面的显著性能。特别是,PSB60-GPE在20℃时达到了1.37×10-3 S cm-1的最高离子电导率,钠离子转移数高达0.424。此外,基于所获得的复合电解质组装的钠对称电池在0.5mA cm-2的条件下,显示出800小时的优秀循环性能,没有明显的电压极化,证明了对钠负极的有效保护。此外,当在基于Na3V2(PO4)3正极的全电池中时,它可以提供出色的电化学性能,在3C下即使经过1000次循环后,仍有92.2%的高容量保持率,并且库伦效率高达99.9%。全电池令人印象深刻的性能提升意味着这种复合电解质设计可以为构建高度稳定的SMB提供有效的策略。
图3 全电池性能
In situ generated composite gel polymer electrolyte with crosslinking structure for dendrite-free and high- performance sodium metal batteries. Energy Storage Materials 2022. DOI: 10.1016/j.ensm.2022.10.032
6. Adv. Sci.:超稳定快充和耐高温可充钾电池,循环达5万次!
开发快速充电、高温和可持续的电池对于在电动汽车、电网规模的电能存储和高温地区大规模部署储能设备至关重要。
乔治梅森大学 Chao Luo等展示了一种基于丰富和可持续的有机电极材料(OEM)和钾资源的无过渡金属全有机可充钾电池(RPB),以用于快速充电和高温应用。
图1 全有机电池中的氧化还原反应示意图
具体而言,作者使用四羟基-1,4-苯醌钾盐/N掺杂石墨烯(TBPS/NG)作为负极,聚苯胺/N掺杂石墨烯(PANI/NG)作为正极。在全有机PRB中,高导电性的NG被用于正极和负极,以增加导电性,适应巨大的体积变化,并在反复的钾化/脱钾化过程中保持有机电极的结构完整性。此外,由于二乙二醇二甲醚(DEGDME)的高沸点(162℃)和低挥发性,以及可形成稳定的K2CO3和富含KF的SEI,所以采用了高浓度的电解液,即2.8 M KPF6,以进一步提高全有机RPB的性能。稳定的电解液和SEI对于快速充电和高温的全有机RPB的稳定性是至关重要的。此外,高浓度的电解液还减轻了OEM的溶解,进一步提高了长期循环稳定性。
图2 室温下RPB中TBPS/NG负极的电化学性能
因此,在室温下,全有机RPB在50 mA g-1时可提供188.1 mAh g-1的高比容量,在1 A g-1和5 A g-1时可提供6000和50000次循环的超长寿命,展示了一种超稳定和快速充电的全有机电池。即使在70-100℃下,高质量负载(6.5 mg cm-2)的全有机RPB仍表现出高达2A g-1的高倍率能力和500次循环的长寿命,展示了其卓越的高温性能。总之,这项工作中展示的电池配置显示了在极端条件下可持续电池实际应用的巨大前景。
图3 低质量负载全有机RPB的室温电化学性能
A Fast-Charging and High-Temperature All-Organic Rechargeable Potassium Battery. Advanced Science 2022. DOI: 10.1002/advs.202106116
7. 江南大学黄锋林AEM:-30至130℃宽温无枝晶固态钠离子电池!
基于固态电解质(SSE)的钠离子电池(SIBs)虽然在高温下是安全的,但在环境温度下传输离子的能力较差,更不用说在低温下。
江南大学黄锋林等提供了一种简单和可扩展的技术来构建纳米纤维基质复合电解质,以提高Na+传输和SIBs的界面兼容性。
图1 材料制备示意
具体而言,作者通过原位紫外光固化方法构建了一种具有盐解离和选择性阳离子传输促进作用的软硬耦合纳米纤维基质复合电解质(NFMCE)。在聚偏氟乙烯-六氟丙烯(PVDF-HFP)基电解质中引入2-(甲基丙烯酰氧基)乙酰乙酸乙酯(AAEM)和N,N'-亚甲基双丙烯酰胺(MBA),由于酰基氨基(O=C-NH)和羰基(-C=O,-COOR)的盐解作用和阳离子配位协同作用,可以有效改善Na+传输,增加Na+转移数。
此外,聚合物基体的低玻璃化温度与阻燃的二氧化硅纳米纤维(SNF)确保了复合电解质(PSAMCE)的低温适应性和高温安全性能。更为创新的是,通过环保的磁控溅射在面向PSAMCE的负极界面上沉积了一层超薄的AlF3,以调节Na+通量并抑制枝晶的生长。通过无粘结剂的磁控溅射功能化工艺降低了涂层厚度,从而获得了相当的能量密度。
图2 半电池性能
受益于上述优势,采用PSAMCE-AlF3组装的Bi//Na3V2(PO4)3(NVP)软包电池提供了274.2 mAh g-1的稳定容量,在1C和26℃下进行475次循环后,容量保持率达到94%。基于PSAMCE-AlF3的半电池和全电池在-30至130℃下也显示出优异的电化学性能。因此,这项工作报告了一种具有快速Na+传输和界面兼容的NFMCE,不仅解决了SIBs中固态电解质在宽温度范围内的离子传输缺陷,而且还消除了固态电解质和电极界面的工程问题。
图3 宽温全电池性能
Fast Ion Conduction Nanofiber Matrix Composite Electrolyte for Dendrite-Free Solid-State Sodium-Ion Batteries with Wide Temperature Operation. Advanced Energy Materials 2022. DOI: 10.1002/aenm.202202930
8. 孟颖等AEM:锂金属在电解液中化学腐蚀的定量分析与有效抑制
锂金属负极对于下一代高能量密度的可充锂金属电池至关重要。尽管为延长锂金属电池的循环寿命进行了广泛的研究,但与锂金属在液态电解液中的化学腐蚀有关的日历寿命仍未得到定量的了解。
加州大学圣地亚哥分校孟颖、Wurigumula Bao、密歇根州立大学 Chengcheng Fang等通过结合滴定气相色谱法和低温聚焦离子束,建立了不同液态电解液体系中化学腐蚀速率和电化学沉积锂形态之间的定量关系。
图1 液态电解液中锂金属腐蚀的趋势
为了评估液态电解液中锂金属的化学稳定性,这项工作使用滴定气相色谱法(TGC),量化了四个代表性的液态电解液体系中沉积锂的腐蚀趋势:高浓度醚基"双盐"电解液(4.7m LiFSI + 2.3m LiTFSI-DME)、低浓度醚基"硝酸盐"电解液(1M LiTFSI-DME:DOL+2wt% LiNO3)、碳酸酯基"第二代"电解液(1.2M LiPF6-EC:EMC)和局域高浓度电解液(LHCE,LiFSI:DME:TTE的摩尔比为1:1.2:3)。在这项工作中之所以使用这四种电解液,是因为它们代表了该领域研究的最流行的四种电解液体系。
图2 形态控制对限制液态电解液中锂腐蚀的影响
通过Cryo-FIB/SEM也记录了Li在不同腐蚀阶段的形态变化。研究发现,沉积锂的孔隙率对确定液态电解液中锂的腐蚀速率有很大影响。作者通过结合TGC方法和Cryo-FIB/SEM对沉积锂的三维(3D)重建,沉积锂的孔隙率被量化,并计算出其在液态电解液中的相应腐蚀率。最后,通过使用先进的LHCE和优化的堆积压力(350 kPa),实现了超低孔隙率的Li。由此产生的低孔隙率锂在液态电解液中浸泡10天后,锂的质量损失只有0.8%。总体而言,这项工作揭示了锂金属孔隙率、SEI成分和锂腐蚀率之间的基本关联。
图3 控制液态电解液中锂金属的腐蚀
Suppressing Chemical Corrosions of Lithium Metal Anodes. Advanced Energy Materials 2022. DOI: 10.1002/aenm.202202012
【免费】发布高校招聘信息,详情联系电话/微信:13632601244
点击阅读原文,提交计算需求!