作者✏️ 养乐多
编辑✂️ 养乐多
同学们早上好!
「公众号-武忠祥老师」加入每日一题的「一周回顾」和「月度测验」两个板块。
之后每周末,养乐多会整理往期7道每日一题,通过推文的形式一次性给到同学们,帮助大家自测是否掌握这周题目,希望同学们能做到「周周清」。
之后每个月末,养乐多会整理这个月错的比较多的每日一题,通过推文的形式给到同学们,帮助大家查漏补缺,我称之为「月月考」。
解释完规则,开始本周的《周周清》!
第十四周《周周清》
@武忠祥老师
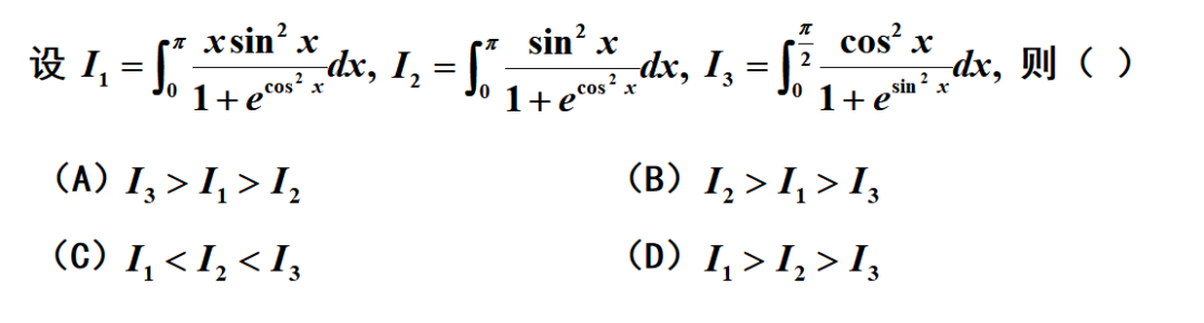
第一题
第二题
第三题
第四题
第五题
第六题
第七题
答案和视频解析也帮大家整理好了,
在今天的第三条推送
往期「周周清合集」
往期「月月考合集」
这周你们学到哪些内容呢?
在评论区一起复盘一下吧
👇👇👇