作者✏️ 养乐多
编辑✂️ 养乐多
同学们早上好!
「公众号-武忠祥老师」加入每日一题的「一周回顾」和「月度测验」两个板块。
这段时间「周周清」都在持续进行,
「月月考」也来了!
「月月考」将会从往期题目中,整理出错误率最高的10道题目,检验同学们这段时间的复习情况。
「答题建议」
1. 尽量把这次月考当作模拟考试,不翻书,不背答案做题;
2.每道题建议10分钟内完成;
3. 看清楚题目和次方。
月考开始
月月考(一)
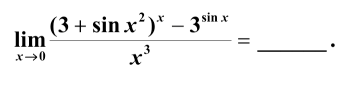
第1题 7.3
第2题 6.29
第3题 6.12
第4题6.24
第5题6.28
第6题7.4
第7题 7.23
第8题7.18
第9题 7.16
第10题 6.30
武忠祥-简介
原西安交通大学理学院副院长、数学系教授;
国家教学成果二等奖和陕西省及西安交大教学成果特等奖获得者,具有丰富的教学、命题及辅导经验。
国家高等数学试题库骨干专家,曾获3项国家优秀教学成果奖,多次参加考研数学大纲修订及全国性数学考试命题工作。高教版工科教材编写者、历年真题研究骨干专家。
《复习全书》高等数学部分主编,《高等数学辅导讲义》主编,高教版工科教材《高等数学基础》编写者,编著考研辅导书一共累计16本;
此外,武忠祥老师从事高等数学教学和考研辅导30年,对学生在高数上存在的弱点了如指掌,使其教学针对性强,切题率高,讲课条理清楚,题型方法归纳总结到位,解题方法新颖独特,效果显著,一度被广大考研学子称为相见恨晚的“宝藏老师”!
点个“赞”+“在看”
回复:月1
领取答案解析