专题一
求极限的题型方法和技巧01
01
思维框架
02
重点知识
常用的基本极限
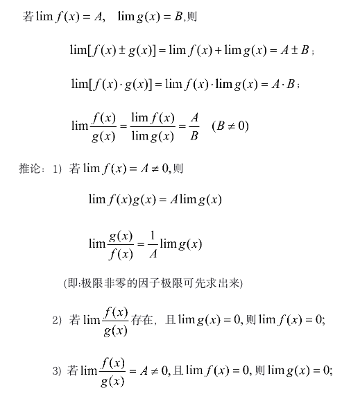
有理运算法则
等价无穷小代换的原则
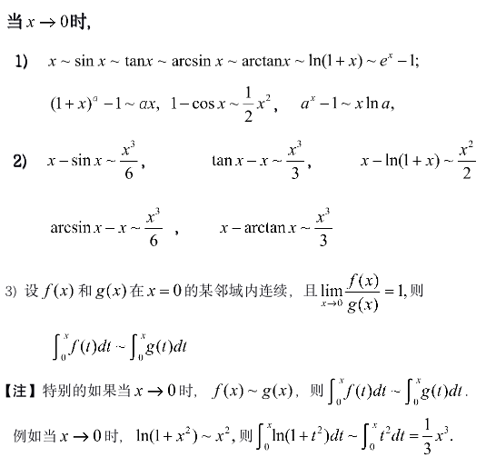
常用等价无穷小
03
课后习题
武忠祥
原西安交通大学理学院副院长、数学系教授;
国家教学成果二等奖和陕西省及西安交大教学成果特等奖获得者,具有丰富的教学、命题及辅导经验。
国家高等数学试题库骨干专家,曾获3项国家优秀教学成果奖,多次参加考研数学大纲修订及全国性数学考试命题工作。高教版工科教材编写者。考研历年真题研究骨干专家。
《复习全书》高等数学部分主编,《高等数学辅导讲义》主编,高教版工科教材《高等数学基础》编写者,编著考研辅导书一共累计16本;
此外,武忠祥老师从事高等数学教学和考研辅导30年,对学生在高数上存在的弱点了如指掌,使其教学针对性强,切题率高,讲课条理清楚,题型方法归纳总结到位,解题方法新颖独特,效果显著,一度被广大考研学子称为相见恨晚的“宝藏老师”!