专题一
求极限的题型方法02
01
思维框架
昨天有些同学反馈思维导图看不清,养乐多把源文件也发给大家,大家可以在我的基础上作补充。
02
重点知识
洛必达法则
泰勒公式
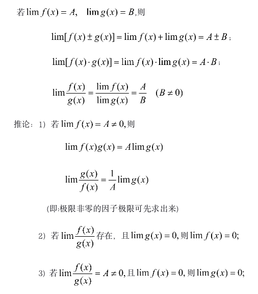
有理运算法则
夹逼准则求极限
提取一个可爱因子
03
课后练习
扫码查看后续「习题详解」
04
计划说明
什么是17堂课
17堂课是武忠祥老师的特色课程,是一门高数专项补充的提高课程!
为了帮助大家充分利用好17堂课,今年开设了“高数思维搭建计划”,通过帮助同学们搭建高数知识体系,解决“遇到题目无从下手”的情况。
使用教程
公众号按照17堂课专题定期推送【思维框架】、【重点知识】、【课后习题】三大核心模块
同学们结合【思维框架】、【重点知识】这两块进行知识点的回顾,并做【课后练习】测自己掌握情况。
武忠祥
原西安交通大学理学院副院长、数学系教授;
国家教学成果二等奖和陕西省及西安交大教学成果特等奖获得者,具有丰富的教学、命题及辅导经验。
国家高等数学试题库骨干专家,曾获3项国家优秀教学成果奖,多次参加考研数学大纲修订及全国性数学考试命题工作。高教版工科教材编写者。考研历年真题研究骨干专家。
《复习全书》高等数学部分主编,《高等数学辅导讲义》主编,高教版工科教材《高等数学基础》编写者,编著考研辅导书一共累计16本;
此外,武忠祥老师从事高等数学教学和考研辅导30年,对学生在高数上存在的弱点了如指掌,使其教学针对性强,切题率高,讲课条理清楚,题型方法归纳总结到位,解题方法新颖独特,效果显著,一度被广大考研学子称为相见恨晚的“宝藏老师”!