专题二
无穷小量阶的比较
01
思维框架
养乐多把源文件也发给大家,大家可以在我的基础上作补充。
02
重点知识
无穷小量的概念
无穷小的常见解法
03
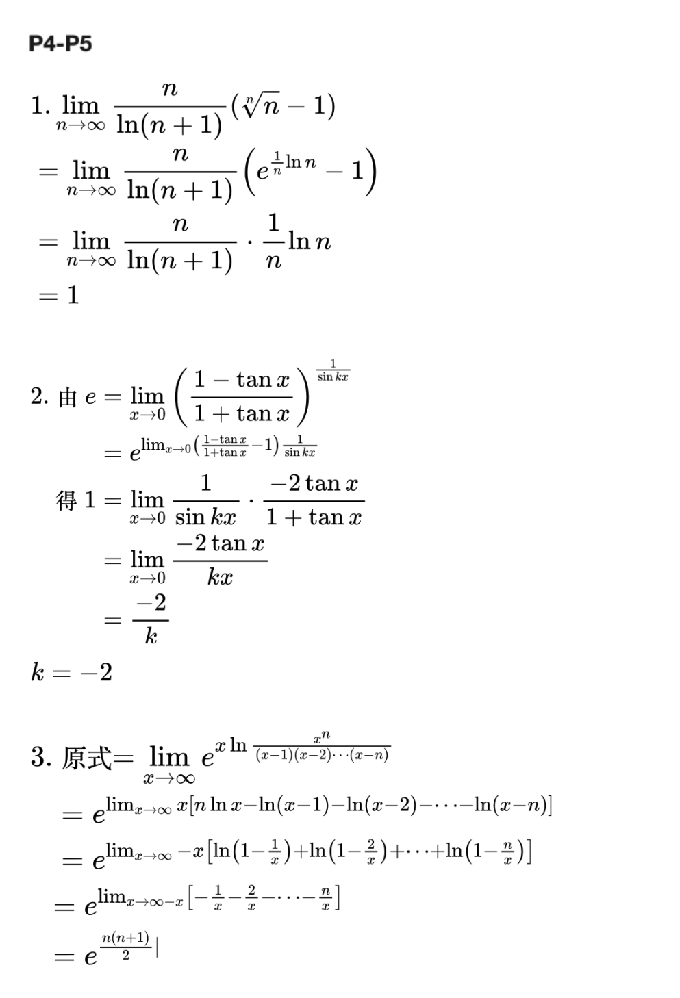
习题巩固
扫码查看后续「习题详解」
04
计划说明
什么是17堂课
17堂课是武忠祥老师的特色课程,是一门高数专项补充的提高课程!
为了帮助大家充分利用好17堂课,今年开设了“高数思维搭建计划”,通过帮助同学们搭建高数知识体系,解决“遇到题目无从下手”的情况。
使用教程
公众号按照17堂课专题定期推送【思维框架】、【重点知识】、【习题巩固】三大核心模块
同学们结合【思维框架】、【重点知识】这两块进行知识点的回顾,并做【习题巩固】测自己掌握情况。