美国普林斯顿大学电气和计算机工程系Chengyu Wang等在一个超高质量的砷化镓二维孔道系统中,意外观测到了新的偶分母填充因子v = 3/4的分数量子霍尔态。由于其在最低朗道能级和二维孔道系统中出现,使得这种偶分母分数量子霍尔态很不寻常。虽然它的起源尚不清楚,但它很可能是一个来自于复合费米子之间的残余相互作用的非阿贝尔态。相关研究成果以Even-Denominator Fractional Quantum Hall State at Filling Factor ν = 3/4 为题,发表于《物理评论快报》Phys. Rev. Lett. 2022, 129, 156801上。
自1982年被发现以来,分数量子霍尔效应一直是凝聚态物理中最活跃的课题之一。在低温和大的、量子化的垂直磁场条件下,可以在低无序二维电子系统中观察到分数量子霍尔效应,此时电子的热能和动能被冻结,电子之间的库仑相互作用占据主导地位。绝大多数分数量子霍尔态是在奇分母朗道能级填充因子的最低朗道能级中观察到的,并且可以用标准的复合费米子模型来进行理解。通过在每个电子上附加2m的磁通量子,填充因子为v = p/(2mp+1)的分数量子霍尔态,即态,可以映射到弱相互作用的复合费米子(具有2m磁通量子)的整数量子霍尔态。
由于过去几十年的实验努力和样品质量(迁移率)的提高,已经报道了无法用标准Jain-sequence解释的新的分数量子霍尔态。其中有些在某些偶分母填充处,比如v = 5/2,观察到分数量子霍尔态。虽然它的起源还不完全清楚,但理论上认为v = 5/2的分数量子霍尔态是一个自旋极化的p波配对状态,在容错、拓扑量子计算方面具有广泛应用前景。其他偶分母填充因子的分数量子霍尔态也有报道,例如,在砷化镓量子阱中观测到v = 1/2和1/4的分数量子霍尔态。
本文作者普林斯敦大学电气和计算机工程系Chengyu Wang等在一个超高质量的砷化镓二维孔道系统中,意外观测到了新的偶分母填充因子v = 3/4的分数量子霍尔态。由于其在最低朗道能级和二维孔道系统中出现,使得这种偶分母分数量子霍尔态很不寻常。虽然它的起源尚不清楚,但它很可能是一个来自于复合费米子之间的残余相互作用的非阿贝尔态。
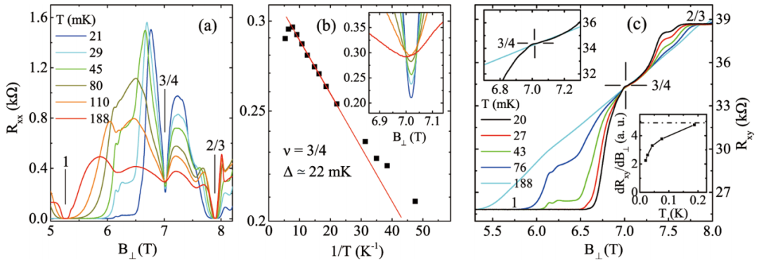
磁输运测量结果显示,在v = 3/4时,纵向电阻Rxx有一个很强的最小值,伴随着一个中心为(h/e^2)/(3/4)的霍尔平台。
图1 磁输运测量。
当温度降低时,纵向电阻Rxx最小值变小,但其侧翼急剧上升。依据Arrhenius图得到其填充因子为v = 3/4,能隙约为22 mK。
图2 纵向电阻和霍尔电阻的温度依赖关系。
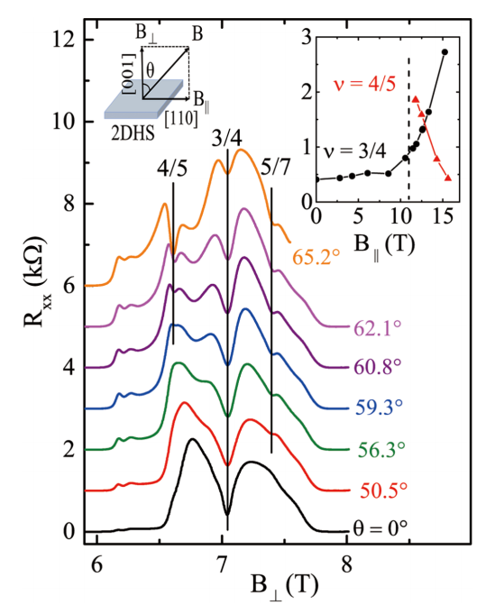
通过倾斜角度观测到了填充因子为3/4分数量子霍尔态的减弱,以及填充因子为4/5和5/7的分数量子霍尔态的增强。这些分数量子霍尔态之间存在竞争关系,但其原因未知。
图3 纵向电阻倾斜角度依赖性。
原文连接
https://journals.aps.org/prl/pdf/10.1103/PhysRevLett.129.156801
CPS秋季学术会议火热报名中,欢迎投稿!
往期精彩
点亮“在看”,点亮科学之星