关于本文
本文是论文 Delta Hedging Liquidity Position on Automated Market Maker的解读。该论文英文版由纽约大学斯特恩商学院教授Chen Xi 和宾夕法尼亚大学研究生Adam Khakhar共同完成,英文版发布在arXiv (https://arxiv.org/abs/2208.03318),并被首届Crypto Economics Security Conference 接受并在大会宣讲。中文稿由纽约大学Violet Venture Club Essie Yang 负责撰写, Sherry Wang 负责校对。
文章提出了一种衡量流动性资金净值变化的新方法,针对Delta对冲策略,用数学模型讲解流动性提供商(Liquidity Provider)如何在自动做市的流动池中使用Delta对冲机制来降低单边风险。
文章速览
01 | 自动做市商模型导入 |
02 | 对冲模型导入 |
03 | 对冲模型的验证及应用 |
04 | 总结与展望 |
01
自动做市商模型导入
在传统交易中,中心化交易所(CEX)通过做市商(Market Maker)来提供流动性,并帮助交易有效进行。做市商通过匹配买方和卖方,提供交易平台报价,有助于提高市场的整体效率。在去中心化金融的领域,去中心化交易所(Decentralized Exchanges)用自动做市商(Automatic Market Maker)代替传统做市商,并解决了中心化交易所手续费高和不透明等问题,并且让散户有机会进入加密货币市场成为做市商。每一个流动性提供者(Liquidity Provider)按比例存入资产池子中为交易提供流动性。AMM依靠编程算法自动计算出买卖价格,并快速促成交易。
在Uniswap v2中,流动性供应商需要同时为资金池注入Token A与Token B,其资金池的自动做市商模型公式为
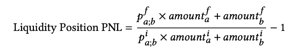
𝜅是恒定常数,并调节token A和token B的数量比例。流动性提供者(Liquidity Provider) 会自动同时成为买方及卖方,一旦有人发起交易,价格就会随之变化,连同改变池内的持仓。因此,我们通过对比池内资产的最终价值和初始价值,并代入𝜅,得出在Uniswap V2中的流动性资金的盈亏模型:
其中,
代表了池内token A 的初始和最终数量,
代表了池内token B 的初始和最终数量, 我们假设token b 是稳定币,所以价格一直是单位价格 1. 而, 代表token A 对于token B 的初始和最终价格。
相比于Uniswap V2,Uniswap V3采用更加细致的自动做市商模型。通过为流动池增加一个价格区间,让token A的资金池在特定的价格范围内获得最大的流动性,也使得流动性收益最大化。对于Uniswap V2 和V3,论文中给出了具体的盈亏模型的细节。
我们特别指出,资金池的盈亏模型不等价于常见的无常损失(impermanent loss)。在自动做市商(AMM)机制中,由于存入的代币对要由两种等值代币token A和token B构成,其代币的价格浮动会改变池内代币价值和数量的变化。当流动性供应商存入资金池的资产总价值小于持有资产的价值时,无常损失就产生了。因此,在数学定义中,无常损失为
02
对冲模型导入
面对盈亏模型,做市商们有什么方法降低风险呢?在传统的限价单交易中,Delta对冲策略(Delta-Hedging Strategy)可以降低因价格滑动产生损失的风险。基础的Delta对冲模型有四种情况:买入看涨期权、卖出看涨期权、买入看跌期权、卖出看跌期权。其中,
为期权交易的市场价,c为期权权利金,k是期权定价金。
在看涨期权(1)中,若市场价最终高于期权定价金k,那本次对冲的收益为(市场价 – 期权定价金) – 期权交易权利金。然而,在去中心化金融的流动池中,我们很难按照传统的模型去衡量流动资金中的对冲策略。因此,本论文结合了传统对冲模型和Uniswap2和Uniswap3的资金池模型,分别推导出在Uniswap V2和Uniswap V3的对冲策略模型。我们首先给出这些期权的加权平均的盈亏模型,其中参数 (i=1,2,3,4) 是需要学习的。
为了减少最终选择的期权的个数,我们添加一个L1范数的正则化项,鼓励更加少的期权交易。如下图所示,有效的对冲策略通过两个市场的盈亏相抵,来锁定既得利润(或成本),规避风险。因此,若
越趋近于0,则对冲策略越成功。其中,每个
可以是正和负。当𝜃为正数时,我们使用的对冲策略是做多;当𝜃为负数,其对冲策略是做空。
03
对冲模型的验证及应用
为了验证推到模型的有效性,我们选取了Uniswap V2里一个真实的流动池,其代币为USDT-ETH。我们根据流动池以往的交易数据,追踪出价和报价,将公式代入到USDT-ETH的真实流动池中,作为公式数据来验证对冲后的盈亏变化。如下图,我们结合盈亏模型和对冲模型后,流动池的资产浮动基本趋紧于0。也就是说,通过对冲策略之后,以太坊价格的变化并不会对资金池中的总资产价值产生太大影响,这也证明了对冲模型的有效性。
面对集中流动性的流动池,我们选取Uniswap V3中WBTC-USDC的流动池。WBTC是BTC的打包代币,也是ERC 20代币,WBTC作为桥梁将比特币衔接到以太坊上。如下图,我们让WBTC作为Token A,USDC作为Token B。WBTC兑换USDC的初始价格为$23776。流动池的价格上限为$18,050.17,流动池价格下限为$40,089.53。
同样,我们结合盈亏函数和对冲模型函数后,得到了对冲之后的盈亏模型(如下图)。尽管Uniswap3的价格浮动会大于Uniswap2,但盈亏(PNL)数值一直保持在1% ~ -1%的区间,说明对冲策略还是有效的降低了价格浮动的风险。因此,通过对冲模型的证明,流动性供应商们可以放心为Uniswap2和Uniswap3注入流动性,并获取交易费作为收益。
04
总结与展望
本研究推出了一套新的适用于自动做市商的对冲策略算法,并通过套入Uniswap V2和Uniswap V3的真实数据,验证了该模型的有效性。该对冲策略同样适用于高频率, 高流动性的交易池。除此之外,我们的算法反映了对冲策略的底层思路。根据第二部分的模型,流动性供应商们也可以直接在Deribit等中心化交易所购买由公式推导出的一组期权来对冲风险。然而,该对冲策略也存在一定的局限性。面对流动性低的资金池,代币数量的变化会造成巨大的价格波动和价格滑点,因此对冲策略无法保证其有效性。不仅如此,我们使用的期权模型是Deribit欧式期权,这意味着期权只能在期权到期时才能兑现。因此,在寻找最优的投资组合时,流动性供应商必须为期权设置合适的兑现时间。未来我们希望可以将该方法运用在更多的流动池市场中,如战略性流动性预测(Strategic Liquidity Provision),并进一步研究去中心化交易所所呈现的量化策略。
---end---
关于NYUVVC
NYU Violet Venture Club (NYU VVC),是纽约大学首个由中国学生创立,专注于创业及股权投资的非盈利性学生组织。我们致力于搭建校园与创投业界沟通的纽带,为成员提供业界前辈经验分享、优质产业信息和宝贵实操机会,助力优秀创业项目,提供融资孵化支持。经过半年时间的发展,VVC在校园内和创投业界初步建立了影响力,不仅受到许多中国同学及校友的支持,而且初步建立了国际化团队。这个学期我们正式在学校注册,定位为国际化的综合性创投俱乐部,以web3为亮点,面向各个领域与国家,立志打造北美一流的国际化综合性创投俱乐部。
更多信息欢迎访问:https://www.nyuvvc.com/
排版 | Cindy
视觉 | Cindy
封面 | Cindy
审核 | Cindy
邮箱|
nyuvvc@gmail.com
微信号|
NYU_Violet_VC
扫码关注我们