本次分享大概分为下面几个方面
近期在 X 业务测评报告页有一个需求,用户可以左右拖动滑块来查看各个等级的信息。
在之前的野种中是通过切换图片的方式,会有卡顿的现象。由于 X 业务中等级区分比较少,等级间距更大,所以卡顿感会更大。
所以为了能够体现更丝滑的效果,使用svg画出贝塞尔曲线,动态控制实线和虚线的切换以及空心小球的位置。
<svg>
<path
stroke="red"
fill="none"
d="M 4,130 C 12.85,129.1 45.3,126.7 63,124 C 80.7,121.3 104.3,116.5 122,1 12 C 139.7,107.5 163.3,100.3 181,94 C 198.7,87.7 222.3,78.10000000000001 240,70 C 257.7,61.9 281.3,49.900000000000006 299,40 C 316.7,30.1 349.15,9.400000000000004 358,4"></path>
</svg>
M- moveto - 从一点移到另一点.(作为起点)
L- lineto -创建一条线.
H- horizontal lineto - 创建一条水平线.
V- vertical lineto - 创建一条竖线.
C- curveto - 创建(三阶)贝塞尔曲线到.
S- smooth curveto - 创建一条平滑曲线
Q- quadratic Bezier curve - 创建一个二次贝塞尔曲线
T- smooth quadratic Bezier curveto - 创建一个平滑二次贝塞尔曲线.
A- elliptical Arc - 创建一个椭圆弧.
Z- closepath - 关闭路径
上述命令使用大写字母,代表绝对路径,如果使用小写字母,则使用相对路径。
d="M 4,130 C 12.85,129.1 45.3,126.7 63,124".
贝塞尔曲线,由“线段”和节点组成,节点是可拖动的支点,表示曲线的趋向,“线段”像可伸缩的橡皮筋。它抽象了线段和曲线,通过控制路径上的四个点(起始点、终止点、两个中间点)来编辑图形;其中中间点和端点的连线称为控制线,这是一条虚拟的线段;两端的端点用来改变曲线的曲率;移动中间点来改变曲线运动轨迹。
公式:B(t) = P1 + (P2 − P1)t = P1(1−t)+ P2t, t∈[0,1]
在平面内选3个不同线的点P1、P2、P3并且依次用线段连接,P1,P3为固定点,P2为支点(控制点)
公式:
M = P1(1-t)+P2t
N = P2(1-t)+P3t
B(t) = M(1-t)+Nt
公式:
X(t) = P(1)(1 - t) + P(2)t
Y(t) = P(2)(1 - t) + P(3)t
Z(t) = P(3)(1 - t) + P(4)t
M(t) = X(1 - t) + Yt
N(t) = Y(1 - t) + Zt
B(t) = M(1 - t) + Nt
方向:越是高阶可导函数曲线越是光滑,在只要保证曲线函数试一阶导数连续,换句话说只要保证曲线的切线斜率连续,那么我们很容易确定CP(control point)点的所在直线的斜率。
长度: 长度决定了曲线弧度的大小(宽窄),有一种计算方式可以使曲线弧度很自然。
AC的长度 * smoothing, smoothing = 0.15比较光滑
对于第一个点A,和最后一个点D的控制点,可以简单把AB的方向看作是A点的切线方向,长度为AB*smoothing。同理可知道点D附近的控制点
stroke-dasharray:用于创建虚线
stroke-dashoffset:offset:偏移的意思
如:https://codepen.io/Josh_byte/pen/MWQVWKK[1]
如:https://codepen.io/Josh_byte/pen/PoQzjON[2]
参考:https://zhuanlan.zhihu.com/p/31242043[3]
BC直线的斜率 与x1x2直线的斜率一致
//动态计算出的圆心坐标
const PointArray = [
[4, 130],
[63, 124],
[122, 112],
[181, 94],
[240, 70],
[299, 40],
[358, 4]
]
//算出当前点前一个点和后一个点的角度
const line = (pointA: number[], pointB: number[]) => {
const lengthX = pointB[0] - pointA[0];
const lengthY = pointB[1] - pointA[1];
return {
length: Math.sqrt(Math.pow(lengthX, 2) + Math.pow(lengthY, 2)),
angle: Math.atan2(lengthY, lengthX),
};
};
//求每两个圆心坐标之间的两个把手
const controlPoint = (current: number[], previous: number[], next: number[], reverse: boolean) => {
const p = previous || current;
const n = next || current;
const l = this.line(p, n);
const angle = l.angle + (reverse ? Math.PI : 0);
const length = l.length * BezierCurveAndCirclePoint.smoothing;
const x = current[0] + Math.cos(angle) * length;
const y = current[1] + Math.sin(angle) * length;
return [x, y];
};
const getBezierCurvePointArray = () => {
const array: Point[][] = [];
pointArray.forEach((item, i) => {
if (i === 0) {
return;
}
const cps = this.controlPoint(this.pointArray[i - 1], this.pointArray[i - 2], item, false);
const cpe = this.controlPoint(item, this.pointArray[i - 1], this.pointArray[i + 1], true);
array.push([
{
x: pointArray[i - 1][0],
y: pointArray[i - 1][1],
},
{
x: cps[0],
y: cps[1],
},
{
x: cpe[0],
y: cpe[1],
},
{
x: item[0],
y: item[1],
},
]);
});
return array;
};
观察发现
绿色实线变绿色虚线的过程可以看成,绿色实线往左偏移的过程(stroke-dashoffset)
灰色实线变绿色虚线的过程,可以看成,灰色实线往右偏移的过程。
绿色虚线,在最底层,没有变化。变化的是绿色和灰色实线
案例 https://codepen.io/Josh_byte/pen/bGLvKYM[4]
如何判断stroke-dashoffset的距离?跟手移动2px,绿色实线或灰色实线移动多少?
stroke-dasharray的初始值设置为多少?
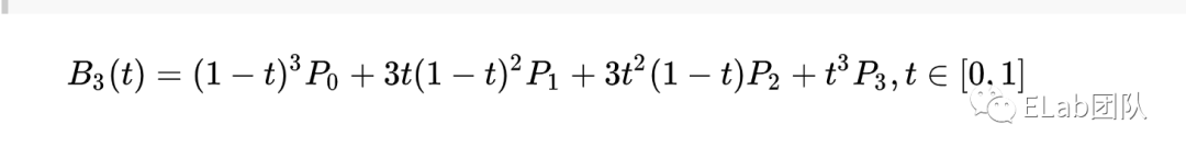
P0 是起始点坐标
P1,P2是控制点
P3是终点坐标
t是百分比(在曲线位置的百分比)
const calculateCirclePoint = (t: number, PointArray: Point[]) => {
const p0 = PointArray[0];
const p1 = PointArray[1];
const p2 = PointArray[2];
const p3 = PointArray[3];
const temp = 1 - t;
const x =
p0.x * temp * temp * temp +
3 * p1.x * t * temp * temp +
3 * p2.x * t * t * temp +
p3.x * t * t * t;
const y =
p0.y * temp * temp * temp +
3 * p1.y * t * temp * temp +
3 * p2.y * t * t * temp +
p3.y * t * t * t;
return {
x,
y,
};
};
//举个例子,第一段曲线
const curvePoint =
[{x: 122, y: 112}, //起始点
{x: 139.7, y: 107.5}, //把手一
{x: 163.3, y: 100.3}, //把手二
{x: 181, y: 94}]。//终点
calculateCirclePoint(0.5,curvePoint)
采样大概估算弧长,一段曲线中等间距采点60个,每两个点计算的间距求和
const cubicBezierLength = (PointArray: Point[], sampleCount?: number) => {
const ptCount = sampleCount || 40;
let totDist = 0;
let lastX = PointArray[0].x;
let lastY = PointArray[0].y;
let dx;
let dy;
for (let i = 1; i < ptCount; i++) {
const pt = this.calculateCirclePoint(i / ptCount, PointArray);
dx = pt.x - lastX;
dy = pt.y - lastY;
totDist += Math.sqrt(dx * dx + dy * dy);
lastX = pt.x;
lastY = pt.y;
}
dx = PointArray[3].x - lastX;
dy = PointArray[3].y - lastY;
totDist += Math.sqrt(dx * dx + dy * dy);
return Math.floor(totDist);
};
完成以上两步,就可以实现曲线跟手移动的变化还有松手时候的动效了。
由于offset-path属性在ios上不支持,只能实时求空心小球的实时坐标
<circle
opacity={circleAnimationPointOpacity ? '1' : '0'}
r="3"
fill="#ffffff"
strokeWidth="2"
stroke="#43E077"
>
<animateMotion
ref={circleAnimationRef}
path={cirlceAnimationPath} //运动路径
dur="200ms" //持续时间
keySplines="0.25 0.1 0.25 1" //动画时间曲线
fill="freeze". //结束后在原位置
begin="indefinit". //无限等待 开始用circleAnimationRef.current.beginElement()
repeatCount="1". //执行一次
/>
</circle>
案列 https://codepen.io/Josh_byte/pen/oNEYpjO[5]
https://codepen.io/Josh_byte/pen/MWQVWKK: https://codepen.io/Josh_byte/pen/MWQVWKK
[2]https://codepen.io/Josh_byte/pen/PoQzjON: https://codepen.io/Josh_byte/pen/PoQzjON
[3]https://zhuanlan.zhihu.com/p/31242043: https://zhuanlan.zhihu.com/p/31242043
[4]https://codepen.io/Josh_byte/pen/bGLvKYM: https://codepen.io/Josh_byte/pen/bGLvKYM
[5]https://codepen.io/Josh_byte/pen/oNEYpjO: https://codepen.io/Josh_byte/pen/oNEYpjO
以上便是本次分享的全部内容,希望对你有所帮助^_^
喜欢的话别忘了 分享、点赞、收藏 三连哦~。
欢迎关注公众号 ELab团队 收货大厂一手好文章~