本文为来自 字节跳动-业务中台-前端团队 成员的文章,已授权 ELab 发布。
作为在该领域小白的我,在准备该主题分享之前,我信心满满的去知乎查了下,如何学习 WebGL?
如何入手webGl以及three.js呢? - 知乎[1]
前端开发者应该如何学习计算机图形学相关的知识? - 知乎[2]
大三计算机,想接触图形学方面的知识,直接学WebGL还是OpenGL ? - 知乎[3] 等 .......
摘取自知乎回复:图形 + 数学 + 体系结构 + 操作系统 + 软件工程 + 设计模式 + 编译原理 + (C++功力) ≈ 更好的3D 软件工程师。(然而我不想成为更好的3D 软件工程师)
同时也看了很多大佬分享学习路径,基本上都是:
网友说:推荐看3d数学基础这本书,学好线性代数,接口本质就是数学和物理,涉及大量矩阵变换...
网友说:语言是以硬件为基础的,如果你了解CPU,学习C语言很随意,同样着色器语言GLSL是类似C语言的高级语言在GPU上执行的语言,学习 WebGL API和着色器语言最好去了解GPU的渲染管线、可编程着色器。语言和硬件又是隔离的,没有必要深入了解硬件,知道一个大概印象就行。
看了比较多的知乎回复后,我发现这玩意学习路径和门槛都比较高的,都是和底层、数学强相关的。而且 WebGL 技术和 Web 前端技术还是有比较大区别,感觉除了只是叫Web外没别的相同啦。速成是不可能的,有尤其在该领域我是个小白,所以本次分享 (到此结束)。
本次分享,大致分为两个部分:
参考:WebGL,OpenGL和OpenGL ES三者的关系[4] 图
OpenGL (Open Graphics Library)
OpenGL[5] is a cross-language, cross-platform application programming interface (API) for rendering 2D and 3D vector graphics. The API is typically used to interact with a graphics processing unit (GPU), to achieve hardware-accelerated rendering.
OpenGL 是API 、是规范。GPU 硬件厂商需要满足统一OpenGL规范。而 OpenGL ES (Open Graphics Library for Embedded Systems) 是 OpenGL 子集,专门针对手机等嵌入式设备而设计的。
人话版本是:发动机(GPU) 驱动是方向盘、离合器等等,OpenGL 定义操纵 发动机(GPU) 发动规范,OpenGL 不关心方向盘是圆的还是方的,驱动 发动机(GPU) 干活啦。
用方向盘 (驱动器) -> 依照调用标准使用 ( OpenGL ) -> 指挥发动机 ( GPU ) 干活
WebGL (Web Graphics Library)
WebGL[6] is a cross-platform, royalty-free open web standard for a low-level 3D graphics API based on OpenGL ES, exposed to ECMAScript via the HTML5 Canvas element.
WebGL 是在 OpenGL ES 基础上建立的在 浏览器 跑起来的图形学标准,同理是浏览器厂商规范 ≈ 让JS 操作接口。光有规范是不够的,还要程序告诉 GPU 如何进行渲染。
GLSL (OpenGL Shading Language)
后面讲到图形渲染管线会说到,这里浅浅先通过例子感受下 立方体 demo[7]。
代码[8] 阉割版:有类C语言的着色器语言、有我们熟悉JS语言、有矩阵相乘 ...
<canvas id="canvas"></canvas>
<script type="shader-source" id="vertexShader">
precision mediump float; // 接收 JavaScript 传递过来的点的坐标(X, Y, Z)
attribute vec3 a_Position;
attribute vec4 a_Color; // 接收顶点颜色
varying vec4 v_Color;
uniform mat4 u_Matrix;
void main(){
gl_Position = u_Matrix * vec4(a_Position, 1);
v_Color = a_Color; // 将顶点颜色插值处理传递给片元着色器
gl_PointSize = 5.0;
}
</script>
<script type="shader-source" id="fragmentShader">
precision mediump float;
varying vec4 v_Color;
void main(){
gl_FragColor = v_Color; // 点的最终颜色。
}
</script>
<script> //获取canvaslet
canvas = getCanvas('#canvas');
//使用该着色器程序
let program = createSimpleProgramFromScript(gl, 'vertexShader', 'fragmentShader');
gl.useProgram(program);
let positions = [
-0.5, -0.5, 0.5, 1, 0, 0, 1,
0.5, -0.5, 0.5, 1, 0, 0, 1,
0.5, 0.5, 0.5, 1, 0, 0, 1,
-0.5, 0.5, 0.5, 1, 0, 0, 1, .....
]
// ----- 省略一些代码 -----
function render() {
//先绕 Y 轴旋转矩阵。
matrix.rotationY(deg2radians(yAngle), dstMatrix);
//再绕 X 轴旋转
matrix.multiply(dstMatrix, matrix.rotationX(deg2radians(xAngle), tmpMatrix), dstMatrix);
//模型投影矩阵。
matrix.multiply(projectionMatrix, dstMatrix, dstMatrix)
// ----- 省略一些代码 -----
requestAnimationFrame(render);
}
</script>
Three.js
WebGL学习有门槛,Three.js[9] 作为方向入门,就像 jQuery 一样的存在,可以快速的创建出三维场景。
阶段总结
我们需要一个规范/接口告诉驱动如何 和 GPU 通信,这个规范/接口是 OpenGL,发展至今嵌入式设备崛起,OpenGL ES 也应运而生,WebGL 是基于 OpenGL ES 可以让其在浏览器上通过Javascript 调用的规范/接口,但WebGL门槛不低,要和GPU通信,就需要了解计算机图形学知识,那肯定也需要用到着色器,所以 Three.js 封装好成为三维引擎,也不用知道那么多底层知识,就可以创建 Web 3D。
这个过程就好比 深度学习领域:Tensorflow (xxx.js / Python) 都可以调调现有成熟模型,看起来是调参数十分的简单,但是模型背后是 线性代数、高数、统计学 ...
什么是渲染呢?简单的说就是从计算机程序最后到图像的过程。
大家面试都会被问到一个问题 从输入url到页面渲染完成,都经历了些什么呢? 大部分同学都止步于 ....... 生成Render Tree。那后续是如何将各种信息转换为屏幕上的像素呢?
在说明渲染过程之前,先来大致看下为什么需要 GPU?
下面绘制图片,引用来自该文档 The Book of Shaders by Patricio Gonzalez Vivo & Jen Lowe[10]
要对每个像素的计算,如此设计模式对CPU压力会比较大,故有 GPU 结构去处理该场景。
上述这么设计的原因是:对每个像素进行计算,而且是相同的运算,这样并行计算的效率会更高。
以上可以理解:GPU 计算能力不如 CPU,但是 GPU 人多力量大 (管子多,且管子只处理已知简单任务),类比于 建筑工程师 (CPU) 设计出来建筑图纸和每项任务,工人们 (GPU) 搬砖干活。
🤔 这些破管子都干了些啥?着色器又是什么?必须浅浅了解下 图形渲染管线 Render Pipeline。
回顾你的学习生涯,初中数学计算立方体面积,老师在 2D 黑板上画了XYZ 轴,并骗你这是个 3D立方体(视觉上)。
任何用3D空间中表示的事物,在 🖥 中都是2D像素数组,而WebGL/OpenGL 大部分工作也是把3D坐标转换为2D像素。这个过程叫做 图形渲染管线 Render Pipeline。
结合上面那些个GPU 模型里的破管子,有一堆原始图形数据 经过 一个 破管子后,最终输出至屏幕中的过程就是 图形渲染管线。
图形渲染管线 Render Pipeline 被划分为几个阶段,跟咱们的ByteCycle 流水线一样,每个阶段会把上个阶段的输出作为输入,也可以理解是函数式编程 pipeline 模式。也就是说,每个阶段都有专门的函数 / 小程序去处理,函数 / 小程序 ≈ 着色器 (Shader) 。
CPU 和 GPU 是通力合作的关系来渲染图像
渲染管线抽象流程
| 顶点着色器 | 3D坐标 转为 另一种3D坐标(后面会解释 从局部到世界坐标系),并对顶点属性进行处理。 |
|---|---|
| 图元的装配 | 将 顶点着色器 输出的点作为输入,并绘制成图元形状。 |
| 几何着色器 | 将 图元形状 构造成新的图元 或 其他形状。 |
| 光栅化过程 | 把 图元 映射为 最终屏幕上相应的 像素。 |
| 片段着色器 | 计算一个像素的最终颜色。例如一个立方体在灯光照射下会有阴影,这里也会将其处理。 |
| 测试与混合 | 例如 有3D遮挡场景 或 物体是透明,在这个过程中就需要判断是否在该帧被丢弃。 |
简单了解下GLSL 语言,类似C语言,以下是顶点着色器的例子:
#version 300 es #声明了着色器版本号 300 代表是 3.0 之后版本
in vec4 aPos ;
# in = 输入变量 浮点型向量vec4 变量名称 aPos
# eg: aPos = {1.0, 1.0, 1.0, 1.0}
void main()
{
gl_Position = aPos ;
# 顶点着色器的内置输出变量
}
阶段总结
基于浏览器,通过Javascript 来实现编程技术,能在 2D屏幕 上看到 3D效果。
看到这里,你可能会有这样的疑问,如何让 3D空间点坐标 转为 屏幕 2D二维点坐标?
一个复杂场景中,物体如 🦖 、周边🌸🌸🌱🌿 等,都需要软件建模,建模好后再将其放置到该场景中。
当对每个物体🦖 建模的时候,物体本身是有自己的独立坐标系 [1] 局部坐标系 Local Space,但 🦖 🌸🌸🌱🌿 放到场景中就有不同放置位置,所有物体共享同一个坐标系,叫 [2] 世界坐标系 World Space
在世界坐标系场景下,我们是从正面某个位置去观察 🦖,如果视角变化至沿着Z轴负方向看呢?又是另外一个画面,叫做 [3] 视觉坐标系 View Space。
剩下两个坐标系说明:
[4] 裁剪坐标系 Clip Space / DNC: 归一化处理,和 需要判断哪个片段需要展示在屏幕内。(这里不做展开跟机器学习归一化目标一致,统计学中数据收敛作用)
[5] 屏幕坐标系 Screen Space:根据裁剪坐标系计算,再转换为屏幕坐标。最后将数据传到光栅器。
以上理解版
理解有些概念后,咱们再看看这些过程间转换,是如何离不开 线性代数基础知识的。
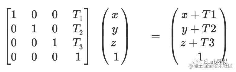
[1] 局部空间-> [2] 世界空间,涉及 矩阵的平移、缩放、旋转
缩放:代表多少倍,缩放S1、S2、S3 倍数
平移:
[2] 世界空间 -> [3] 视觉空间,构建 线性变换矩阵
任何方位观察到的物体都是不同的,从A 位置 变换至 B 位置,只要知道 变换前后的基向量,就能知道 运动至哪里,方法通过 矩阵相乘 (对几何空间的线性变化) ....
矩阵向量乘积: 变换后的基向量 * 未变化前的位置 (x, y) = 基向量变换后新(x', y')
[3] 视觉空间 -> [4] 裁剪空间 -> [5] 屏幕空间
投影 -> 点积 (实际上会更复杂些) ....总之,学好线性代数很重要。
《线性代数》(同济版)——教科书中的耻辱柱[12] 该文章 引起了我相当强烈的共鸣 (没学好真不怨我)
我们先用低成本学习Three.js,快速入门 .....
如果你是个大导演,有一天你想请 安琪拉大宝贝儿 来北京 献歌一曲,
Scene 场景 ,选择 人民大会堂作为 舞台吧;Light 灯光, 才能让观众看到 安琪拉大宝贝儿 唱歌;模型,来之前要保养一下,皮肤看起来吹弹可破 材质 Material;贴图与纹理 Texture;Camera 相机 360 度无死角的拍摄,她唱 XXX歌曲。你刚在脑海里构建出来的画面 ≈ 渲染器 Render
Three.js demo[13] 自己去对照着想象这个👻,就是 安琪拉大宝贝儿 吧
以上几个关键词是:Scene 场景、Light 灯光、模型、材质 Material
、Texture、Camera 相机、渲染器 Render。
理解了以上的几个概念后,对我们实践上手应用 Three.js 非常的关键。
STEP1: 创建舞台 和 相机,并渲染至页面上
import * as THREE from 'three'
class ThreeDemo {
constructor () {
this.width = window.innerWidth
this.height = window.innerHeight
this.aspectRatio = this.width / this.height
// 创建场景
this.scene = null
// 创建相机
this.camera = null
// 创建灯光
this.light = null
// 创建模型
this.model = null
// 创建材质
this.material = null
// 创建纹理
this.texture = null
// 创建渲染
this.renderer = null
}
init () {
this.createScene() // 创建舞台 和 相机
this.createRenderer() // 创建渲染
document.body.appendChild(this.renderer.domElement) // 渲染至页面上
const render = () => {
this.renderer.render(this.scene, this.camera) // 渲染场景
requestAnimationFrame(render)
}
render()
this.axesHelper()
}
createScene () {
// ====== 搭建个舞台 ======
this.scene = new THREE.Scene()
this.scene.fog = new THREE.Fog(0x090918, 1, 600)
// ====== 搭建相机 (模拟人视角去看景象) PerspectiveCamera = 透视相机 ======
this.camera = new THREE.PerspectiveCamera(
75, // 视角
this.aspectRatio, // 纵横比
0.1, // nearPlane 近平面
2000 // farPlane 远平面
)
// 设置相机位置
this.camera.position.set(10, 10, 10) // x, y, z
// 更新摄像头宽高比例
this.camera.aspect = this.aspectRatio
// 更新摄像头的矩阵
this.camera.updateProjectionMatrix()
// 将相机放到舞台上
this.scene.add(this.camera)
}
createRenderer () {
this.renderer = new THREE.WebGLRenderer({ antialias: true })
this.renderer.outputEncoding = THREE.sRGBEncoding
// 设置渲染器宽高
this.renderer.setSize(this.width, this.height)
this.renderer.setClearColor(this.scene.fog.color)
// 屏幕变化 更新渲染 (相机视角变化 和 渲染器变化)
window.addEventListener('resize', () => {
this.camera.aspect = window.innerWidth / window.innerHeight
this.camera.updateProjectionMatrix()
this.renderer.setSize(window.innerWidth, window.innerHeight)
})
}
// 辅助坐标系
axesHelper () {
const axesHelper = new THREE.AxesHelper(5)
this.scene.add(axesHelper)
}
}
const instance = new ThreeDemo()
instance.init()
this.camera.position.set(10, 10, 10) 在这个位置上看
如果我们在this.camera.position.set(0, 0, 5) 这个位置上看
STEP2: 加模型 和 灯光
// 加入环境光
// 环境光会均匀的照亮场景中的所有物体
this.light = new THREE.AmbientLight(0x404040) // soft white light
this.scene.add(this.light)
// 场景中添加球
const geometry = new THREE.BoxGeometry(2, 2, 2)
const geometry_material = new THREE.MeshStandardMaterial({ color: 0xaafabb })
instance.scene.add(new THREE.Mesh(geometry, geometry_material))
有光照
无光照 (无环境光加入)
这里不仅加入环境光,还加入了平行光,即平行光是沿着特定方向发射的光
createLight () {
// 环境光会均匀的照亮场景中的所有物体
this.light = new THREE.AmbientLight(0x404040) // soft white light
this.scene.add(this.light)
// 平行光是沿着特定方向发射的光
this.directionalLight = new THREE.DirectionalLight( 0xffffff, 0.6 )
this.directionalLight.position.set(0, 5, 5)
this.scene.add(this.directionalLight)
}
STEP3: 贴膜 (材质和纹理)
https://www.poliigon.com/ 在这个网站上去找一些贴图
// 场景中添加立方体
const geometry = new THREE.BoxGeometry(2, 2, 2)
const geometry_material = new THREE.MeshStandardMaterial({
map: textureLoader.load('../public/textures/RoofTilesTerracotta004/RoofTilesTerracotta004_COL_1K.jpg'),
aoMap: textureLoader.load('../public/textures/RoofTilesTerracotta004/RoofTilesTerracotta004_AO_1K.jpg'),
alphaMap: textureLoader.load('../public/textures/RoofTilesTerracotta004/RoofTilesTerracotta004_AO_1K.jpg'),
normalMap: textureLoader.load('../public/textures/RoofTilesTerracotta004/RoofTilesTerracotta004_NRM_1K.png'),
transparent: true,
roughness: 0,
})
const model = new THREE.Mesh(geometry, geometry_material)
instance.scene.add(model)
Step X:以上小结
Scene 场景、Light 灯光、Camera 相机 设置好,并将其通过渲染器 Render 渲染至页面上模型 穿上 材质 Material 和 贴图 Texture 后,并设定好该模型位置,再添加至场景Scene 场景 中,即可得到3D物体啦。如果你没有系统的接触过该方向,那可以先从Three.js 入手,兴趣是最好的老师,通过理解场景、灯光、相机 ... 等大概知道一些概念。
图形学虽然水很深,但再深也有底,深入 WebGL + 着色器 (GLSL语言) -> 硬件上运作机制 等等等 ...
如何入手webGl以及three.js呢? - 知乎: https://www.zhihu.com/question/383398859/answer/1121471144
[2]前端开发者应该如何学习计算机图形学相关的知识? - 知乎: https://www.zhihu.com/question/24351718
[3]大三计算机,想接触图形学方面的知识,直接学WebGL还是OpenGL ? - 知乎: https://www.zhihu.com/question/422713076
[4]WebGL,OpenGL和OpenGL ES三者的关系: https://blog.csdn.net/qq_23034515/article/details/108283747
[5]OpenGL: https://en.wikipedia.org/wiki/OpenGL
[6]WebGL: https://www.khronos.org/webgl/
[7]立方体 demo: http://ifanqi.top/webgl/pages/lesson12.html
[8]代码: https://github.com/lucefer/webgl/blob/master/pages/lesson12.html
[9]Three.js: https://threejs.org/
[10]The Book of Shaders by Patricio Gonzalez Vivo & Jen Lowe: https://thebookofshaders.com/01/?lan=ch
[11]变换 - LearnOpenGL CN: https://learnopengl-cn.github.io/01%20Getting%20started/07%20Transformations/#_18
[12]《线性代数》(同济版)——教科书中的耻辱柱: https://zhuanlan.zhihu.com/p/199665495
[13]Three.js demo: https://threejs.org/examples/#webgl_animation_skinning_additive_blending
以上便是本次分享的全部内容,希望对你有所帮助^_^
喜欢的话别忘了 分享、点赞、收藏 三连哦~。
欢迎关注公众号 ELab团队 收货大厂一手好文章
字节跳动校/社招内推码: W7HD8A6
投递链接: https://job.toutiao.com/s/6stp6SM