DAOrayaki DAO研究奖金池:
资助地址: 0xCd7da526f5C943126fa9E6f63b7774fA89E88d71
投票进展:DAO Committee 4/7 通过
赏金总量:220 USDC
研究种类:DAO, A Question & Answer Protocol ,Upshot One
原文作者: Nicholas Emmons, Kenneth Peluso Upshote
贡献者:Demo, DAOctor @DAOrayaki
原文: Upshot One : A Question & Answer Protocol
导读:如今,通过高价机制和可信来源对主观问题达成共识是能够实现的,但这极大地限制了许多应用程序的潜力(如dapps, content moderation, insurance, fact-checking)。我们提出了一个结合了密码排序(cryptographic sortition)、互信博弈(mutual information games)和主体民主(subjectivocracy)的协议来解决这一问题。在我们的协议中,一个去中心化网络的代理人对资本进行股权问答。这些代理的随机子集是根据最近发明的名为基于行列式的互信息机制(Determinant-based Mutual Information)对等预测(Peer Prediction)机制进行评分的。这个机制对于恒定数量的问题和代理来说是占优的,所以它可以有效地产生一个可信的正确答案的估计。有争议的答案可能会在原生代币中激起分叉(forks)以反映对现实的不同观点。
许多应用程序依赖于准确的信息来运行。如果一些信息天生就是主观的,或者很难确定其准确性时,那么评估这些信息的准确性就是强人所难了。依赖于外部信息的去中心化应用程序(比如,oracle问题[Hog])就面临这样的问题,非参数的保险理赔处理和识别社交媒体上的错误信息也包含在此场景中。该问题的现有解决方案要么花费高昂[1],要么依赖于可信赖的参与者[2],要么是高延迟(high latency)[3],要么高度关注连续结果空间[4],或者要求问题已经拥有一个“参考标准(ground truth)”[5]。
我们的主要贡献是创造了Upshot One协议——可以在不假设预先存在参考标准(ground truth)情况下,有效地为具有离散答案空间(discrete answer spaces)的问题提供准确的答案。与现有的信息录入方法(onboarding information)相比,我们的协议通过使用高效的互信度量博弈(mutual information games)而非低效的多数规则方案(majority-rule schemes),实现了知情说真话的占优策略(dominant strategy of informed truth telling),而多数规则方案需要繁琐的经济博弈来实现同样的说真话的均衡结果(例如升级游戏[Pet+],投票[Cléa])。在第二节概述该协议的结构之后,我们从头开始重构它(第3节—第11节),以最好地激励每个组件的存在,并对其稳健性和安全性进行分析(第12节)。我们在第13节对突出风险进行探讨,并在第14节列出一些潜在的应用。
在高层次上,我们的协议运作如下:
1. 询问(asking):任何人都可以提交他们希望得到答案的问题(第3节)。
2. 归类(Categorization):问题被归类为一组(第5节)。
3. 押注(Staking):代理人押注资金(第6节)以回答分类问题。
4. 回答(Answering):代理人回答问题。
5. 委员会(Committee):随机选择这些利益相关者组成委员会。
6. 打分(Scoring):根据答案的信息量(informativeness)运用新发明的对等预测(Peer Prediction)机制对代理人的答案进行打分。
7. 决议(Resolution):如果协议对其引出的答案有信心,则它们与各自的问题相关联。选定的代理人根据他们的分数得到报酬(第4节)。
8. 分叉(Forking):如果有代理人对一项决议提出异议,他们可以向他们不同意的人发送原生代币(第11节)来换取新创的、已经被分叉的原生代币(第9节)。
9. 选择分叉(Fork-choice):应用程序选择他们认为代表真实的分叉(第10节)。
出于一些原因(例如,条件没有满足或跳过可选步骤),可能不会逐步实现这个完整的序列。为了解释这些细微的差别,激励每个组件的存在,我们努力从头开始迭代地重建协议。困扰整个构建过程的是我们的协议所处的环境——一个无信任、无许可的环境——所以我们不能假设除了协议的内生关系之外代理人之间的任何关系。我们首先定义了核心关注的对象:问题,其准确解决使我们的整个协议成为必要。
我们的旅程从用户(下文称之为询问者(asker))寻求信息开始。为此,他们提出了一个问题,其他人提供答案所需的全套信息包括:
l 该问题答案的域(domain)
l 问题附带的奖励(reward)
l 任何对回答问题有关的附加语境(context)
l 问题“被回答”的最低法定额(quorum)
l 该问题所属的类别(category)
l 一个可选的过滤器(filter)来指定有资格回答该问题的代理人。
问题的域指定了问题的可能答案。奖励是与问题一起支付给代理人的资金数额。回答问题所需的任何附加语境都包含在“context”字段中,对该字符串的解释是开放的。法定额规定了必须投给问题组(见第6节)的最低资本数量,以便问题的决议(即其与一个答案的关联)有效。类别是在问题解决之前由协议设定的,而非由提问者设定的(见第5节)。
在创建一个问题时,提问者可能希望对哪些代理人可以回答该问题进行细颗粒度的控制。为了做到这一点,提问者用一个包含在外部契约中的checkEligibility(agentId)[0, 1]函数,指定一个逻辑用来确定代理人回答问题的资格。这个合格性逻辑存在的地址作为过滤器存储在问题对象中。对于每个有资格的代理(eligible agent),或者其答案(和押注)受到考虑的代理人,该函数返回一个大于0的值。过滤器为协议提供了许多强大的扩展,例如,可以维护代理人响应的图表,并找到其个性化页面排序(Personalized PageRank),以将声誉的概念纳入决议[6]。另外,一个为新产品进行用户研究的询问者可能希望将“测试者(beta testers)”的私人群组列入白名单。如果没有提供过滤器,每个代理人都有资格。
我们的最终目标是加强问题与其精确答案的关联度。匿名的代理人可以随意提交答案,但是这样区分真假答案的需求仍然没有得到满足。我们需要的是一种协调这些代理人的方法,以便有效地识别出其提交的真实答案。我们要如何激励那些经过研究的、真实的报道,同时抵制滥发和垃圾邮件?
幸运的是,存在一个尚未被开发、新的学术领域与当前的问题直接相关。对等预测研究方法可以激励真实的回答,但不能验证上述回答的质量。这些机制确保诚实回答问题是所有平衡结果中最有利可图的选择——比恶意或冷漠地回答问题更有利可图。无论参考标准的查询成本是否太高或该事实根本不存在,对等预测机制都适用,因此它们是回答基本主观问题的有力工具。[Man+][Kon]
Upshot One采用的特定对等预测机制是基于行列式的互信息机制(DMI-Mechanism)[7]。DMI机制利用的事实是,每个人代理人的答案都与其同伴有关,因此答案可以反测自身。特别是,它向每个代理人提出相同的问题,并根据他们的答案和他们同伴的答案之间的互信信息来支付报酬。支付(payment)是互信信息的信息-单调测度的无偏估计,它概括了Shannon互信息,并确保随机变量的任何“数据处理”都会减少它们的互信信息[8]。基于此,DMI机制获得了一些理想特性:[Kon]
1. 占优性真实(Dominantly-truthful):讲话(truth-telling)是占优策略。
2. 信息性真实(Informed-truthful):说实话严格优于不提供信息的策略。
3. 极简(Minimal):代理人只需提供关于自身信念的报告,无需报告对于其他人信念的预测。
4. 不涉及细节(Details-free):不需要机制设计者输入任何先验知识。
5. 恒定(Constant):只需要恒定数量的问题和代理人,它就能做到占优性真实(Dominantly-truthful)和告知性真实(Informed-truthful)。
至此,我们一定已经知道,≥3的代理人的任务是回答≥2C个相同的问题(其中C是问题域的基数(cardinality)),这些问题是先验互似的(见第五节)。每位代理人根据他们的答案与其他人的联系收到一个标准化之后的分数。分数可以衡量一个代理人的信息量和优点,因为DMI机制保证了信息性真实是最有利可图的策略。
从得分中可以提取大量价值。第一,它们是付给代理人的报酬。任何线性的映射都可被用作代理人的分数来获取它们的报酬,这就确保了DMI机制的特性。例如,如果是回答问题的所有奖赏,是回答问题的代理人的数量,平均分数是,代理人的得分是,如果分数总是落于[a,b]区间内,那么代理人的报酬就是. 对于是线性的,所以DMI机制的激励保持完备。第二,得分用于确定每个潜在答案的确定程度。换句话说,任何提交答案的集合都可以通过旁观者的判断来衡量各自代理人的分数(例如,仅仅是由得分最高的代理人提交的答案)[9,10]。
DMI机制的前景被一个挥之不去的问题(暂时)破坏了。我们如何处理互为先验地相似问题?DMI机制要求问题之间“看起来相似”,即先验互似(mutually a priori similar)。我们必须特别关注这个约束,因为它是一个重要的限制因素。代理人不仅需要回答相同的问题,而且这些≥2C问题必须是一个特定的类型——它们必须彼此相似[11]。因此,我们的任务是对问题进行分类,使问题组只由先验互似的问题组成。
让提问者事先知道问题的类别这类天真的解决方案是容易出错的。考虑到现有的大量可能的类别,将问题分配到类别中可能是一项认知上的艰巨任务。即使提问者对每个类别都有有效的认识,他们的分类仍然可能是错误的,从而损害了同一组中其他问题的决议。不管它是如何发生的,对问题进行分类打破了DMI机制的一个基本假设,从而危及了它的许多保证。
有一个可供替代的设计精巧的解决方案可用来确定类别,而不需要新的基础设施。当一个问题第一次被创建时,它被自动放置在一个专门的无类别组(category-free group)中。代理人像往常一样用DMI机制解决这个问题组,然而,每个代理人回答的问题是“未分类的问题X是否与不同的、已分类的问题Y相似?”诀窍在于注意到:两个预先存在的问题是否先验相似的问题本身是先验互似的。“是的,这些问题是相似的”的先验概率是“是的,这些问题是相似的”在所有可能的问题配对的支撑上的边际概率。这对所有这些“匹配问题”来说是恒定的,因此配对问题是先验互似的。这些打分回合的结果将问题分配到它们适当的类别,使它们离解答更近一步。因此,DMI机制允许我们满足它自己的前提条件[12]。
在先验互似的问题被识别后,它们会被DMI机制解决。为此,我们引入了问题组,或代理人回答的问题集[13]。一个问题组由一个类别和一个过滤器完全、唯一地定义;如果问题具有相同的类别和过滤器,它们属于同一个问题组。合格的代理人在提交问题组的答案之前,需要在问题组中押注。那些参与的代理人被称为参与代理人(participating agents)。如果他们未能提交足够的有效答案,他们的堵赌注可能会被撤销并重新分配给其他代理人。否则,他们的赌注会在一轮评分后被退回。代理人可以在任何时候从小组中取消赌注,除非他们在一个委员会中,或者他们参与的前一轮评分被分叉(见第9节)。代理人下注后,他们会提交经过加盐处理的答案,并在以后的计分回合中予以披露。这确保了代理人对未解决的问题的答案不会相互影响。这些哈希值在链外签署,并在链上批量提交,以尽量减少交易成本。
在任何时候,聚合者(aggregator)(见下文)都可以触发对三个参与代理人的随机抽样,根据他们对问题组的赌注进行加权,以形成一个委员会。委员会的答案由DMI-Mechanism打分,并可能解决一个评分组。我们用替换法对代理进行抽样,因为这计算起来更便宜,而且可以抵御sybil攻击,因为当攻击者在多个sybil上分配资本时,他们不会有任何收获。
我们有问题、答案和代理人,但它们还没有组织成一个评分组,或一个与DMI机制兼容的数据集。如果代理提交了相同≥2C问题的答案,我们称其为重叠,所以我们让一个新的参与者,即聚合者(aggregator),随机找到委员会相互重叠的最大的一组问题。他们随机搜索来确保得分组的构成,因此打分回合的结果是不可预测的。如果无法找到评分组(例如,委员会成员没有回答相同的≥2C问题),打分回合将失败并返回。可能会采取额外的措施来限制失败的频率(例如,委员会成员的股权(赌注)可能会被撤销,聚合者可能会受到惩罚[14])。对这些额外措施的分析将留待即将发表的论文解决。
这些创新是可取的,原因有很多。代理人不需要为每个答案提交一个链上交易;他们可以为每组提交一个交易,将其交易成本从O(C)限制到O(1)。聚合者只需要解析单一的、有限的问题域——仅仅是由委员会成员回答的问题组中的那些问题——而不是繁杂的问题和代理人的通用交叉集。聚合者也不能审查答案,因为它们可能与链上的问题有关。将评分限制在一个由三个代理组成的委员会可以限制打分回合的计算成本。最后,通过排序选择委员会是安全的。如果没有排序,攻击者可以肯定只要赌注足够大,他们的答案就会被打分。有了排序,攻击者必须承担更大的赌注(及其相关的风险),这样他们就可以保证他们在一个委员会中的高概率主导地位(见第12节)。
尽管重叠的代理人(overlapping agents)受限于回答相同的≥2C问题,重叠问题可收到≥3的答案。注意到我们不需要是每个问题都是重叠才能运行DMI机制。会想一下,参与代理人必须相互承认≥2C的重叠问题使DMI机制成立。委员会成员回答的任何数量的不重叠的问题都可以同时解决,提高了决议的延迟性。由聚合者是否纳入这些问题[15]。
所有参与的代理人的答案都存储在一个代理人记录中,这使得过去的答案可以与当前打分回合中的新答案进行配对。一个答案可以在任何时候被接受和记录,但其代理人只有在他们是合格的代理人以及相关问题未解决的情况下才有资格获得奖赏。代理人记录降低了每个计分轮的代理人的摊销工作,使攻击的成本更高。攻击者现在不仅要考虑未解决问题的预期答案,还要考虑代理人的整个答案记录,因为其中一些答案可能被附加到评分组(见第12.2节)。代理人记录也有助于Upshot One的最后安全措施:分叉。
目前仍然缺乏的是对实际存在的威胁的保护,即协议妥协的攻击或对问题的解决的真正分歧。我们使用主观民主来调停这种情况。主体民主(作为治理的分叉(forking-as-governance))是一种非强制性的治理形式,允许人们选择他们认为是真实的现实(一系列的决议)。我们的设计主要受到以下启发。
在Upshot One中,每个不同的现实都有一个不同的原生协议代币实例存在。例如,可能有一个代币在问题“‘智能合约’X”被黑客袭击了吗?”被解决为“是”,在另一个问题中被解决为“否”。我们称之为有争议的决议(resolutions in dispute)。这些代币通过一个ID字段相互区分,其值唯一地代表不同的现实。人们可能希望在不同的分叉之间切换它们的平衡,我们称之为(分叉)迁移。迁移(migration)的重要性在于它在某种程度上增强了主观民主的拉马克方面,这有增强主观民主的吸引力;因此,我们选择以下方案。对其使用需求最大的叉子(“适者生存fittest”)应该最兴旺。因此,我们选择以下方案。
假设一个原生代币的持有者(一个迁移者a migrant)希望从叉子A迁移到叉子B。如果他们不是任何有争议的决议的委员会成员,并且拥有Z A代币,那么他们已经拥有Z B代币[16]。反之,如果他们是有争议的决议的委员会成员并从中得到了X A的代币,那么他们没有任何B代币,而是发送的代币给那些他们反对的委员,然后收到
的代币[17],其中
差额取自剩余A持有者的潜在B令牌代币余额。这确保在B最终正确的情况下,迁移者因为比其他持有者迁移得早而得到奖励。同时,如果A最终是正确的,这将进一步奖励其他委员会成员。总的来说,这个方案为最终最受欢迎的分叉的早期采用者(early-adopters)带来了利润动机,这正是我们想要建立的——市场力量决定分叉的原生协议代币的价值。重要的是,该方案并不要求所有本地代币持有者都参与分叉过程[18]。
主观民主增强了我们的协议在面对其他不可调和的争端时的适应性,但仅仅是分叉并没有提供最终的结果。简单地说:如果我们允许我们的协议分叉,我们选择哪个分叉?这个决定最终是在应用层处理的,在Upshot One之上。在那里,应用程序采用的分叉选择规则与它们各自对现实的看法一致。
分叉选择规则被用于可分叉环境(如区块链和git协议),以确定在众多现实中哪一个是规范(canonical)(“最普遍接受的版本”)[19]。这个定义有意排除了那些协议内的机制——比如Kleros和Augur的“终极上诉”——胁迫整个仲裁协议认可一个单一的现实。在解决主观问题的仲裁协议——如Upshot One——中,这种强制认可是不可取的,因为那里可能有多个同样有效的现实。因此,应该采用非强制性的分叉选择规则。
我们建议采用时间加权平均分叉选择规则(TF)。TF很简单。选择最大的时间加权平均价格(TWAP)的分叉。它类似于“最长链规则”,即以最大的可证明工作量形成的现实被认为是规范的。在我们现在详述的TF中,具有最大需求的现实被认为是规范的。
回顾一下,Upshot One中的每一个分叉的、独特的现实都唯一地定义了一个新的本地协议代币(以下简称ONE)的实例。任何这样的实例都可以放在交易所里,或者更广泛的说,放在能够发现其价格的服务上。所有实例的价格应该用一个共同的单位(如美元)表示。将S定义为ONE实例的集合,这些实例的价格已经被发现,以一个共同的单位表示,并且没有 有后代(是现实的DAG中的叶子)。在一个任意的时间间隔后,我们查询一个可靠的价格oracle,以获取每个ONE实例的价格,从而更新其TWAP :
第个时间戳,
是在时间的价格。
在i中严格递增,
在t上任意波动。典型的一个与分叉相关的实例
。我们在第12.4节中分析了TF的稳健性和安全性。
价格oracle查询的节奏取决于应用程序所需的有效性,或者说他们想要确保最近选择的分叉是经典分叉的频率。一个具有较高期望活度的应用程序可以每隔几分钟查询一个实例价格,而一个具有较低期望活度的应用程序可以每隔几天查询一次。请注意,在经济成本和有效性之间有需要权衡。
重要的是,只要对各自的现实观点有兴趣,所有分叉仍然存在。任何读Upshot One的应用程序都可以忽略TF而选择他们自己的规则,可能会选择一个替代的分叉。
如上所述,主观民主需要一个可以分叉的本地协议代币。这促使我们构建一个定制的本地代币,它可以作为Upshot One的一个通用“燃料”。ONE可以被...
l 由询问者用于支付代理人的服务。提问者必须购买并发送ONE和问题对象数据。这诱发了一个熟悉的供需互动,即对答案(或询问率)的需求增加,与答案(或回答率)的供应量微量减少相配,增加了解决一个问题所需的最低奖励,反过来又增加了ONE的价格。
l 参与的代理人的赌注。随着越来越多的代理人试图在Upshot One.上获利,ONE就会升值。
l 分叉代表多个现实。每个分叉代币的价值由对其相关现实的需求决定。
l 用来做管理决策。Upshot One是一个Nomic风格的协议,它的所有方面都可以由其参与者——ONE持有人改变。ONE持有者通过投票来改变协议参数、管理权限等。我们即将开展的工作将明确Upshot One的具体管理机制。
正如Upshot所追求的那样,ONE的这种四重应用需要一个智能的代币分配机制,以有效地保证网络效应,进而保证Upshot One的寿命。当Upshot One启动时,一个分配时间表将铸造和发放ONE给主要的积极参与者,凝聚一个由积极行动者组成的网络,其资金被公平地分散。在此后的某个时间,对分配计划本身的控制权将交给ONE持有人,以促进协议所有权从Upshot完全转移给ONE持有人。
12 分析
本部分分析Upshot One的稳健性和安全性。首先,因为代理人会有盈利的动机,所以我们可以期待会有答案的健康供应(a healthy supply of answers)。其次,由于有代理人记录,若攻击涉及到已经建立联系的代理人则会是毁灭性的。这就是为什么只存在一种类型的可行攻击,我们以论证其成本之大结束分析。
12.1 存在盈利性动机
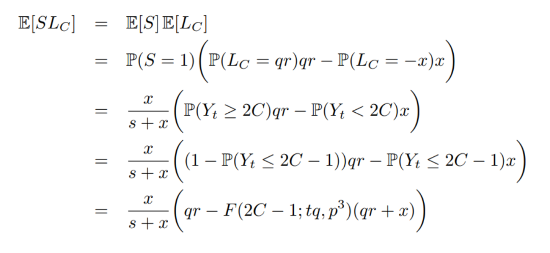
前文阐述了对于代理人的一对相反的激励,即对问题的奖励,和在最坏的情况下,押注充公的威胁(以下假设其会实施)。这两股力量能否鼓励代理人参与还有待观察,也是我们现在关注的重点。我们采用一个简单的代理人模型(agent-based model),其中仅考虑一个问题集,有a≥3个独立的、可识别的代理人以概率p最多回答一次问题。在时间片段(timesteps)之间,q个新问题进入问题组,它们中的任意一个都有可能包含在之前被回答过的重叠问题的打分组中。令随机变量作为出现在第t个打分组中新的重叠问题的计数(伴随≥3个来自不同代理人的答案)。显然,在t中是相互独立的,且如果,那么第t个打分组中重叠问题数的期望值为
,其中
是二项分布的概率质量函数,有a个成功概率为p的试验。
令x,s,r,t分别为一个代理人在问题组的押注,该问题组其他所有代理人的押注之和,每个代理人对于每个问题的得到的奖赏(为了简化,视为正态分布),以及一个打分组指数。如果该代理人被选为一个委员会成员,则给随机变量或者(S)赋值为1,反之则为0。如果潜在的打分组中最少有2C个重叠问题,那么随机变量
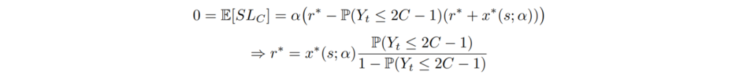
就为qr,否则则为-x。该代理人的期望奖赏为:
表1:我们列出了y的值,对于给给定的p的值和tq的值,如果rq>0以及0<s<yrq,那么
。显然,对于一个足够高的回答率p和问题总数tq来说,有一个宽泛的纬度可以使代理人的预期利润为正。
其中是二项分布的累计分布函数。我们的任务是证明有一个实际的定义域使得[S>0。在表1中,我们列出了[S>0的参数区间,这些范围大到实际上足以使这些定义域自证。
12.2 历史(记录)带来的毁灭性供给
关于哪些问题应该包含在一个评分组中,完全由聚合者决定。一旦选举产生了委员会,聚合者可能会发现一些委员会成员展现了重叠问题,并决定有多少以及哪些重叠问题会包含在打分组中。一个实行攻击的代理人(An attacking agent)可以尝试猜测所选代理人和重叠问题的集合,以避免努力解答(并且仍然得到奖励),或者确保他们即使不真实地回答目标问题也能得到很好的分数(对他们的声誉和外部围观者对其答案的怀疑影响最小)。
我们假设代理人记录是公开的,并且攻击者能够通查并识别所有历史的、重叠的问题。除了知道聚合者所知道的一切,攻击者最乐观的情况是将被包含在n中的过去问题的数量(可能是常规使用的一个固定的n)。那么正确地选择之前被解决过的问题集的概率是,其中N是被选中的代理人的重叠问题的总数。可以很容易得看出,他们的成功概率随着
而Q线性地收敛为0,而且由于
,我们预计在实践中收敛会很快。
另外一个攻击者可能无法获取n的具体数值,在这种情况下,他们需要猜测n以及哪个特定的重叠问题会被包含在内。后者猜测的成功率遵循超几何分布,其PMF为h(N, K, n, k),其中成功的数量k等于“具有该特质的条目”的数量K。如果攻击者均匀地、独立地选择,那么他们的成功概率是:
同样也Q线性地收敛为0。请注意,攻击者预见到委员会的选择(他们剩余的向量之一)的程度是他们可以降低N,然而,克服这一障碍需要克服强大的理所当然是随机性来源的函数(见第13.2节)。
表2:对于选择,我们给出了攻击成本的下界,其中组中所有非攻击者的赌注之和为s=100。对s是线性的,所以这些值可以解释为“攻击者必须赌上任何s的百分比,才能以的概率取得成功”。我们还近似计算了当p=0.5、C=2、tq=2C=4时,攻击者从他们的攻击中获取利润所需的奖励。tq被设定为一个评分组可以有的最小问题数,这样攻击者就可以避免留下历史。
12.3 攻击的成本很高
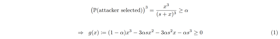
把代理人和他们的行为作为其意图的代理变量将会有助于理解。如果许多代理人向一个问题组押注并报告相同的答案,那么,由于我们以替换方式选择委员会成员,选择一个以该答案作为解答的委员会的概率不受他们的押注是否来自几个串通的代理人或是否来自一个鲸鱼(a single whale)的影响。这意味着,在Upshot One中,女巫攻击(sybil attacks)是不相关的,而贿赂(包括“P + ϵ攻击”)、串通和只涉及代理人的鲸鱼攻击是等价的载体。有了这种等价性、通信的非零成本,以及前述的代理人记录的影响,我们可以将我们的攻击分析简化为没有历史的、单一的、拥有财富的代理人。给定所有非攻击代理人的利益之和、攻击者的利益、以及攻击者对其成功的期望确定性,可以计算一个成功的攻击的成本。我们假设所有非攻击代理人都如实报告(all non-attacking agents report informed-truthfully),这就保证了如果攻击者不是独自在一个委员会中,攻击就会失败。这是一个弱的假设,因为DMI机制调用的是利润动机。
回顾一下,委员会成员是通过分类从参与的代理人池中选出的,并且有轮换。代理人根据他们的赌注被抽查三次,所以攻击者只需确保他们被选中三次。令s是问题组中所有非攻击代理人的赌注之和,是攻击者成功的预期确定性,x是攻击者的赌注,则有:
如果我们找到方程的根和s之间的函数关系,即可得在任何给定的下,攻击的最小成本。
只是一个最小成本,因为存在攻击者与其他代理人一起被选中的风险,以及由此产生的委员会未能产生一个有效的评分组,在这种情况下,攻击者得不到任何利益。这种风险被纳入表2的第3列,它给出了攻击者在成功攻击≥qr时获得的“收支平衡(break-even)”奖励,其中可能包括协议的外生奖励。
12.4 对TF的分析
回想一下第10节的和,TF的稳健性就是其简便性。它的运行时间和储存都是
,不一定随着时间递增。当一个ONE实例流入S的数量等于其流出的数量时,它可能会趋于平稳。通过S的流入量减少和流出量增加(直到平衡)是由TF固有的安全性实现的。
的操纵成本[20]随着a的流动性几乎是线性地增加,并且等于套利的损失(通过人为地支撑一个ONE实例的价值)和不是由解决问题累积的收入(通过出售真正的规范的ONE,他们有机会回答在真正的规范的现实中提出的问题)。这使得轻率地创建分叉的风险越来越大(减少S的流入),维护无价值的ONE实例的成本越来越高(增加S的流出)。因此,TF的安全性和稳健性都随着经典现实的需求而扩大。
13 风险及其缓解
在本节中,我们将讨论Upshot One面临的突出的实质性风险及其缓解。
13.1 进一步抑制攻击
尽管我们已经证明成功的攻击成本很高(第12节),但高成本也是可以克服的。分叉作为终极防御,可以防止所有的攻击,但它的严重性要求使用更多的中间防御措施。诸如MACI[app]等先进的加密机制可以用来混淆代理人的身份和他们的次级任务,而不使代理记录无效,从而使攻击代理人之间的合作证明(几乎)不可能[21]。可以为协议附加其他措施来增加攻击的成本,包括升级游戏,如Augur的争端保证金,以及动态费用(如第14.1节)。
13.2 随机性的弱来源(Poor Source of Randomness)
委员会的分类假设了对链上熵(on-chain entropy)的访问。如果这种随机性是可预测的或可破坏的,那么攻击的成本就可以大大降低了。如果熵是可预测的,攻击者可以等待一个他们被选中的熵值。如果熵是可破坏的,攻击者可以简单地提供这样一个值。这种风险的缓解很简单:我们利用一个强大的、第三方的随机性来源,如Chainlink的VRF或Keep的随机信标(Keep’s Random Beacon)。
13.3 流动性断裂(Fractured Liquidity)
归类武断地割裂了问题组的流动性,从而使Upshot One的功效受到威胁。提问者可以调整问题奖励和过滤器,以分别吸引更多的答案到更统一的问题组,但提问者的预算和利益限制了他们缓解流动性断裂的能力。
我们可以利用一个弱的、有经验的假设来减轻这种风险。许多在野(in the wild)动态网络遵循幂律分布,其中大多数节点的特征通常反映所有规模的类型节点的少数性。因此,我们可以合理地假设大多数问题只属于几个类别。如果我们在这几类问题中引导问题的吞吐量,那么我们就能经济有效地刺激协议的自我持续扩展。在大多数情况下,问题未能达成解决是由于不感兴趣,而不是流动性断裂。因此,我们的缓解措施是,在协议推出后不久采取四种方法:向我们认为准备自然增长最多的群体提供许多简单的先验的类似问题;补贴提问者和代理人的参与;作为我们协议的第一个聚合者最大限度地提高问题的吞吐量;为未来的聚合者建立供效仿的激励机制。
13.4 恶意的聚合者
恶意的聚合者可以通过只把那些在打分后会导致特定结果的问题包含在内来操纵决议。最初,Upshot One将通过只考虑在管理部门白名单上的聚合者来减少这种风险。这可能包括一个成本很高但简单的自动链上聚合者,在外部“戳(poke)”的时候,触发一轮评分,随机猎取重叠的问题。虽然不是最大的可扩展性或去中心化,但白名单保证了新生儿脆弱的Upshot One的聚合者是没有恶意的。随着协议的成熟,它将发展一个更分散的聚合器设计。这种去中心化和聚合者的激励措施将留到即将发表的论文中。
14 应用
有大量的应用受益于或需要对其质量不容易获得的信息达成共识。我们简要地讨论一些这样的应用,以及它们如何利用Upshot One:
14.1 预测市场(Prediction Markets)
预测市场(PMs)为任何未来事件提供金融衍生品。它们是获取“集体智慧(wisdom of the crowd)”"的有用手段,以获得对未来事件可能性的准确见解。然而,为了使PM发挥作用,它们需要获得一个参考标准——它们必须最终参考实际发生的事件,以确定谁应该得到什么报酬。Upshot One可以作为参考标准的一个来源:
1. PM创建者部署了一个oracle合同。oracle有管理权,对谁在PM中赢得什么有发言权,指定限定的执行逻辑和最终决定之后的执行逻辑,并与Upshot One互动,在那里它提出问题,管理它们的分类,并解释它们的决议。
2. 在PM的“叫一起”之后,其问题被分类,然后由Upshot One解决。
3. 特定应用的争议逻辑可能发生(例如Augur的争议债券),可能导致分叉。
4. 如果有分叉,PM合约可以跟踪分叉代币的价格,并根据oracle选择规则选择的典型分叉
来自我完成。否则,市场将被最终确定,其奖励将相应地分配给交易者。
在对PM应用Upshot One时必须格外小心。一个PM的交易员在自己一方战胜另一方的过程中有着明确的利益。这意味着交易者有动机通过贿赂代理人或自己成为代理人来颠覆决议。虽然仅凭Upshot One的现有设计就能使这种攻击变得昂贵,但通过动态的交易费(dynamic trading fees)可以使其成本更高。就像Augur根据REP的市值来改变交易费用一样,利用Upshot One的PM可以根据ONE的市值来改变他们的交易费用。实现这一点花费微小,不需要更多的机制,只需要一个可靠的ONE的价格oracle。现在,当市场创建者部署他们的oracle合约时,他们只需配置一个价格oracle以及交易费用和输出价格oracle之间的功能关系。
14.2 保险
由于克服风险(如大量已知的技术漏洞)和“未知的未知因素”都越来越难以避免,保险发挥着越来越大的效用。然而,当代保险业正在努力有效地解决涉及自由裁量(非参数)评估的索赔。Upshot One为这个问题提供了一个令人耳目一新的实用解决方案。
假设我们希望对智能合约进行技术风险保险。假设保险商已经创建了一种方法来评估和承保这些技术风险(PM可用于此)。类似于PM创建者对“最终性(finality)”的标准,保险提供商部署了一个合同,允许投保人根据Upshot One的结果来获得索赔的赔付。保险提供商可能还希望所有的索赔都被问到一组白名单上的代理人(在问题过滤器中设置),他们专门负责核实关于智能合约风险的政策索赔。作为一个投保人,如果在智能合约中损失了钱,可以创建一个索赔发送到Upshot One中的一个专门的问题组。然后白名单上的代理人将解决这些索赔,投保人将从保险协议中获得应得的赔款。
14.3 策展
与前两种需要加入难以获取但不一定是主观信息的应用相比,策展的定义是主观的。此外,策展往往不像解决项目管理或保险索赔那样是一项“高风险”的任务。因此,在策展应用中,不需要在Upshot One上添加太多的机制来维持其现有的激励机制。
一些策展的实例,如数字内容策展,可能需要非常低的延迟。为此,我们可以效仿[Butb],建立一个服务,为(所有或只是流行或有争议的)社交媒体帖子创建低风险的预测市场(PM)。这项服务可以嵌入到社交媒体网络中,或者与之毗邻。然后,Upshot One可以被用来解决这些PM的一些子集。如果交易者参与了由Upshot One解决的PM,如果他们准确地押注了一个帖子是否真实、有趣、与喜欢X的人有关等,他们就会从PM中获得资本。如果一个阈值的时间过去了而没有得到解决,交易者将被退回。这个系统的副产品是公共产品——一个内容流,其元素被归类为真实、有趣、与喜欢X的人相关等。
请注意,尽管数字内容的可访问性和无处不在的性质可能使“内容策划”成为Upshot One的直接、可理解的应用,但“物理”形式的策划(例如判断用户提交的图片中服装的时尚价值)也是可以想象的。
14.4 治理
即使在“代码即法律”的情况下,维护章程和使其繁荣也是是统治者之间相互同意的一种功能。。然而,揭示同意的权宜之计可能会通过扼杀同意的表达而推翻同意,并反过来剥夺章程及其治理机构的权力。尽管面临这样的现实,各种自利性的社区都要求自己要坚持下去,但其中一些社区选出的治理机制是失灵的。特别是,许多人采用了简单的投票机制,尽管这些方案未能满足一系列广泛期望的标准。
Upshot One提供了一个替代方案。治理决策可以被映射到需要由治理代币持有人回答的问题上。从那里,Upshot One继续它的正常运作。这是一个高效的治理机制,因为不需要普查而只需要少量的代理人,效率也因内置的委托能力而得到加强。默认情况下,这个解决方案提供了一个流动民主,通过代币转移进行明确的委托,并通过弃权进行隐性委托。这是一个强大的治理机制,由Upshot One的高成本胁迫(见第12节)[23]。这种机制赋予了参与治理的权力,因为参与不再是一种充其量只值百分之一的行为——一个人的回答可以以非微弱的几率决定整个决策(同时赢得代理人的问题奖励)。最后,主观民主使深奥的、强大的机制凝聚起来。分叉决策相当于对政策的有效性下了一个“类似futarchy的赌注(futarchy-like bet)”。分叉也允许一个由不同的、各司其职的政府组成的生态系统共存。Upshot One在治理方面的应用所带来的可能性是巨大的,我们希望至少能够激发对对等预测在治理方面的应用的进一步研究。
14.5 展望
PMs支持贝叶斯式的行动者,或根据其他行动者的揭示的信念更新他们的信念。这意味着,PM可以在线查看人群可能的随时间变化的预测,而对等预测机制只能在运行时捕获上述预测的快照。然而,通过简单地重复向Upshot One提出相同的问题,我们可以利用“集体智慧”进行预测,而不像PM那样需要一个外部的真相来源或结束日期——Upshot One可以永续地被重新提出。这使Upshot One有资格成为PM的替代品-——它可以作为上述保险和策展应用的“预测”部分。未来的研究将比较PM的成本(持续一定时间并有足够的深度和数量来支持在线预测)和反复查询Upshot One的成本。
15 结论
Upshot One是一个为仲裁难以确定的或主观的信息而建立的协议。在本文中,我们通过连续激励每个组件的参与,从头开始重构了Upshot One。这些组件共同形成了一个格式塔(gestalt,见第2节)接受问题并给出答案。该协议以太坊区块链上的一组智能合约来实现。
脚注:
1. 例如,民主选举既花费高昂又很麻烦,只为回答一个主观问题:“谁来填补X职位?”
2. 请参阅Provable或Facebook的Forecast。后者依赖于Facebook诚实地预选“专家”的能力。
3. 这包括许多投票方案。
4. 这包括去中心化的价格oracles,例如UMA,Uniswap和Chainlink。
5. 这包括客观共识机制(objective-consensus),例如Nakamoto共识。
6. 节点可以代表代理人,加权边可以代表代理人从共同回答问题中获得的共享资本。链外PageRank实例可以完全私人化到表示该问题的临时节点,并且从该问题节点指向现有代理节点的有向边可能是每个代理人对问题的各自赌注的函数。在这样的设置中,PageRank更有可能用对等机制在具有良好工作历史记录的节点中取得稳态,通过这些,可以用PageRank值来表示checkEligibility的输出。
7. 该组件与构成协议的其他组件一样,都是模块化的,因此可以根据自己的判断将其替换为其他评分机制。这里描述的机制只是我们的偏好。
8. 换句话说,添加的信息越多,获得的收入就越多,并且如果使用精妙的统计来猜测其他代理人的答案,则的分数可能会更低。
9. 分辨率或pi计算的任何此类终端设备都可以包含在Upshot One或更高级的可读取Upshot One的设备中,此功能体现了Upshot One适用的常规模块化和体系结构性。
10. 注意只有当所有座席之间的总赌注超过该问题的法定额时,问题才会解决并付给参与代理人报酬。这为询问者和旁观者提供了对代理人之间信任的粗略保证;委托代理人在提交的答案中(以赌注为代理)超出了问题的法定额。
11. 该限制可以被视为有利的交易。DMI机制不假设代理在问题的答案上拥有共同的先验,因此它断言“每个参与的代理对某个问题都具有相同的看法”,而不是假设“每个参与的代理对相同(类别)的问题问题都抱有一些看法”。
12. Upshot One上方的应用程序具有完全的种子分类(与第一个问题相比较的问题),在类别空间进行操作(与下一个类别进行比较的问题)和定义停止标准(何时停止分类并开始解析)的完全自由。
13. 请注意,无类别组是问题组的一种。
14. 这些措施将进一步激励代理人回答问题并汇总得分小组的成员。
15.不重叠问题的使用程度可以应用于模糊性的函数中。如果攻击者知道某个问题收到的回答很少且来低有风险的代理人,则他们可以准任该问题将不会在即将到来的评分小组中,也不会被包括在不重叠的问题中。无论哪种情况,他们都可以提供毫无根据的答案而不会产生任何后果。可以通过加密基础结构、较高的询问和答复率(使识别不重叠的问题变得复杂)和精心设计的聚合者激励措施。
16. 从代理人记录(第8节)和问题记录(第3节)中提取对过去信息的所有检索。
17. Y(X)的精确计算是一个模块化的、有目的的组件,不限成员名额。其应该是递增凹函数,并增加所迁移的股份的累积量,以确保最早的采用者在他们的分叉变得规范时能获得最大的收益。
18. 此处开发的迁移机制是模块化的。
19. 我们只关心协议内分支,或者不更改协议的分支。所有公共协议都可以“硬分叉”,也可以分叉为不同的协议,但这超出了定义此类协议的论文范围。
20. 如果ONE的大多数需求赞同不同的现实,这种操纵是很容易实现的,然而这引出了一个问题:“也许这毕竟是现实?”和“需求的代表性如何?”这两个问题可能都无法回答。
21. 目前,聚和者(MACI语言中的“协调者”)可以广播任何和所有代理的秘密,但这个问题和MACI的更广泛的发展都在积极推进中。
22. 例如,小盘股的PM或市场的货币是一些社会媒体认可的“影响力币(clout coin)”,如Reddit Donuts
23. 我们假设治理代币的分配不是胁迫的产物。
本文不代表任何投资建议,仅对对等预测协议(A Question & Answer Protocol)进行探讨。
欢迎提交你的DAO研究到邮箱:daorayaki@dorafactory.org,瓜分10000USDC赏金池!欢迎访问DAOrayaki官网(daorayaki.org)
详情请参考:
Dora Factory支持去中心化DAO研究组织DAOrayaki
历史文章:
罗宾·汉森经典论文(四)|Futarchy:工程设计25个问题
罗宾·汉森经典论文(三)|Futarchy:工程设计25个问题
罗宾·汉森经典论文(二)|Futarchy:我们应该价值投票、对赌信仰吗?
罗宾·汉森经典论文(一)|Futarchy:我们应该价值投票、对赌信仰吗?
基于 Futarchy治理的案例:Amoveo、Tezos、Gnosis
DAOrayaki首发| SEC.gov代币安全港提案2.0
深度回顾币安智能链BSC Grant HackerLink第一期
Futarchy | 价值投票,对赌信仰,用钱说话,口说无凭
平行世界|DeFi无缝集成全球最性感资产—BTC,特斯拉和茅台