全文速览
木质素是由含有大量羟基和甲氧基的甲氧基苯丙烷组成的。将其转化为有价值的产品非常有吸引力,但在没有额外氢源的情况下尤其具有挑战性。作者报道了在Pt/NiAl2O4催化剂上由天然木质素通过自重整驱动的解聚和氢解直接生产4-烷基苯酚。这是从天然木质素中获得4-烷基苯酚的第一个案例。采用该方法,桦木木质素的4-烷基苯酚的产率为17.3wt%。反应途径和反应机理研究表明,该反应策略始于脂肪族羟基的重整,然后C−O键的断裂,最终以Pt/NiAl2O4催化剂上的脱甲氧基结束。此外,后续形成的甲醇的水相重整加速了整个过程。该方法充分利用了木质素和水中的结构氢,实现了木质素一锅法生产4-烷基苯酚,为木质素的价值化提供了一种低成本、安全的方法。
背景介绍
木质素由大量甲氧基苯丙烷组成,具有实现增值化学品和燃料的巨大潜力,通常需要两个步骤,即解聚和升级。到目前为止,木质素的解聚策略有很多,包括碱催化、酸催化、还原、氧化、光催化策略。其中,外源氢源催化转化因其良好的碳利用效率和相对简单的产物分布而受到广泛关注。因此,生成的芳香单体可以进一步升级为有价值的化学品和燃料。然而,相对较高的制造成本,如大量氢气消耗,是不可避免的。
除氢气外,供氢体还可用于木质素的解聚和氢解。例如,Ford等人提出了一种在超临界甲醇中无氢气体解聚有机溶质木质素的策略,其中氢是由甲醇重整反应原位生成的。Wang等人开发了双核Rh络合物,在温和的条件下催化木质素固有的氢转移解聚,而芳香族单元侧链上的苄基羟基成为氢给体。最近,韩的团队发现木质素中的甲氧基可以作为氢源,整合氢转移解聚和加氢脱氧得到芳烃。因此,从经济的角度来看,合理利用结构氢来解聚和升级木质素本身是很有前途的。
木质素的结构中含有丰富的脂肪族羟基,可以通过重整(即这里所说的脱氢和脱羰基)获得氢气。然后,原位生成的氢随后可以在木质素的还原解聚和芳香族结构中甲氧基的氢解中析出。此外,甲醇作为甲氧基合成氢气的理想载体,可以在负载型金属催化剂上通过水相重整反应(APR)转化为氢气。通常,Pt被认为是脱氢和重整的活性金属。以前,发现Pt与NiAl2O4尖晶石的结合是一种优良的甲醇APR制氢催化剂。尖晶石结构的NiAl2O4具有大量的氧空位,具有两个重要的作用:(1)促进Pt的还原,使Pt更接近金属状态,有利于脱氢;(2)高效活化水,加速水−气体变换反应生成H2。具有很好的长期稳定性,可以持续600小时而没有明显的失活。
本文亮点
在这里,作者报道了一种新的策略,在没有额外氢源的情况下,在Pt/NiAl2O4催化剂上选择性地将木质素转化为4-烷基苯酚。实验表明,该反应是由木质素本身中脂肪族羟基的重整(脱氢/脱羰基)引发的,首先引发C−O键的裂解,然后是甲氧基的裂解,最后通过甲醇的脱甲氧基生成更多的氢来促进反应。值得注意的是,通过一锅反应获得了高产量和高选择性,次要产物是碳氢化合物,很容易从酚中分离出来。以桦木木质素为原料,4-烷基苯酚的产率较高,达17.3wt%。这是第一次实现由木质素在一锅中直接生产4-烷基苯酚。
图文解析
样品合成及结构解析…
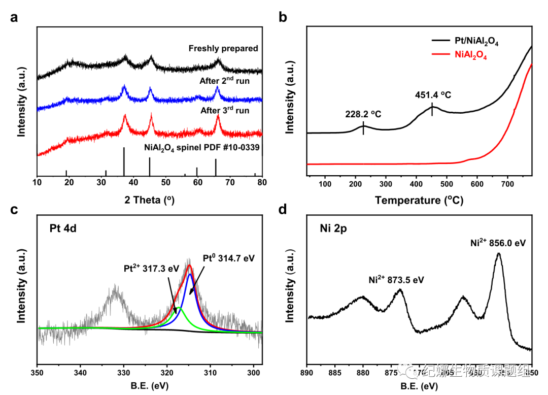
采用共沉淀法合成了NiAl2O4尖晶石。室温下,六水合硝酸镍(Ni)和硝酸铝(Al)溶解在超纯水中。滴加氨水,直到pH值达到8。搅拌,沉淀物过夜老化。过滤,去离子水洗涤。干燥,800℃下焙烧8h。等体积浸渍法制备了Pt/NiAl2O4。80℃下干燥过夜,焙烧4h。氢气还原最终得到Pt/NiAl2O4催化剂。XRD结果表明,Pt/NiAl2O4具有良好的稳定性,即使经过3次反应,由于NiAl2O4载体的结晶度略有提高,衍射峰也略有增加。H2-TPR谱图中228.2 ℃处的还原峰可归因于PtOx的还原,而451.4℃的峰与PtOx和NiOx物种的共同还原有关。XPS谱中的Pt4d5/2谱可分为两部分,314.7 eV对应于Pt0物种,317.3 eV对应于Pt2+物种。而Ni的化学态主要由Ni2+物种组成,分别为873.5 eV和856.0 eV。
Figure S1. (a) XRD patterns of Pt/NiAl2O4 before and after stability test; (b) H2-TPR profile of
Pt/NiAl2O4 and NiAl2O4; XPS spectra of (c) Pt 4d and (d) Ni 2p.
催化性能研究…
首先,在没有额外氢源的Pt/NiAl2O4催化剂上开始了不同有机溶质木质素在水相中的自驱动解聚和氢解反应。以桦木木质素为底物,寻找最佳反应条件。结果表明,反应温度、反应时间和催化剂与底物的摩尔比均影响4-烷基酚(包括苯酚、对甲酚、对乙基酚和对丙基苯酚)的总收率。优化的反应条件为:反应温度280℃,反应时间20h,反应温度为2:1,反应时间为20h,桦木木质素的总产率为20.8%,其中4-烷基酚的产率为17.3%,芳烃和环烷烃的产率约为2%。以桦木木质素为原料,4-烷基苯酚的总摩尔产率接近55.4%。GPC分析结果表明,未反应桦木木素的相对分子质量为7494 Da。反应后残基的相对分子质量仅为278 Da,可能是由二聚体或三聚体贡献的。这些结果表明,桦木木素在没有额外氢气或氢源的情况下解聚效果很好。此外,还考察了该催化剂的重复使用性能。产物的总质量收率从第一次反应的20.8%下降到第二次的15.0%,并在第三次保持稳定,表明催化剂可以部分重组并稳定下来。第一次反应后,BET比表面积减小,但第二次和第三次反应后Pt颗粒尺寸保持不变。这些结果表明,催化剂在反应过程中确实发生了重构,但随后趋于稳定。当使用其他木质素作为底物时,得到了类似的产物分布,4-烷基酚的质量产率和摩尔产率分别超过9.9%和43.9%。为了探索自形成策略的通用性,使用了不同的木质素油作为底物,从桦木木质素油中可以获得高达25.2wt%的4-烷基酚。
值得注意的是,在所有的4-烷基苯酚中,4-乙基苯酚的产率始终是有机溶剂木质素中最高的,这表明Cγ−O-4键中Cβ-OH的重整(即DHDC)确实发生了。然而,4-丙基苯酚在大多数木质素油中占主导地位,这可能是因为它们的组成中含有大量的Ar−C3H7结构,因为在制备木质素油的过程中,一些羟丙基在Pd/C催化剂上被氢解。在桦木木质素和桦木木质素油的气态残渣中,主要是H2和CO2,这是木质素自我重整的有力证据。此外,甲烷的形成可以归因于CO和CO2的甲烷化,甲醇的氢解。所有这些结果证实了策略是成功的,并且在没有外源氢源的情况下可以获得高附加值的化学品(4-烷基酚)。
Figure 2. 2D-HSQC NMR spectra of birch lignin (a and b) before reaction, (c and d) after 5 h of reaction and (e and f) after 10 h of reaction. Thecontents were calculated by the peak areas in each figure.
Figure 3. Time course profiles of BM. Reaction conditions are as follows: 0.05 g of catalyst, 0.1 g of substrate, 250 °C, 15 mL of H2O, and 2 MPa N2.
Figure 4. Time course profiles of PG-OH. Reaction conditions are as follows: 0.05 g of catalyst, 0.2 g of substrate, 250 °C, 15 mL of H2O, and 2MPa N2.
催化机理…
采用2D-HSQC核磁共振谱研究了桦木木质素在不同反应时间下的自聚合和氢解过程。结果表明,β-5-/α-O-4(B)和β−β(C)键的交叉信号分别为1.1%和5.1%。反应5h后,A键和甲氧基(Ar-OCH3)的数目急剧减少,B键和C键的信号消失,表明C−O键的断裂有效地改变了A、B和C三个主要键的结构。随着反应时间持续到10h,A的信号消失,甲氧基的信号保持不变,表明C−O键的氢解速度快于去甲氧基,这可能是因为C−O键能较低。此外,有机溶剂桦木木素中普遍存在S和G基团,还有H基团。反应5h后,S单位的信号明显减弱,H单位的信号出现。进一步将反应时间延长至10h,S单元完全消失,H单元数量显著增加。与此同时,G单位也发生了变化。这些结果表明,S和G单元通过去甲氧基化转变为H单元。
液态(木质素油)分析还表明,木质素单体中的甲氧基逐渐消除,即从最初5小时的S和G基碎片,到10小时后的4烷基酚。所有这些观察结果都与2D-HSQC谱相一致,证实了木质素首先解聚为单体碎片,然后是去甲氧基。木质素的侧链上含有大量的脂族羟基,可以在活性金属中心上脱氢或重整生成氢气,但也可以为C-O键的断裂和甲氧基的脱除提供初始氢气。为了进一步证实这一过程,选择了β-O-4模型化合物α-(2-甲氧基苯氧基)甲基苯乙醇(记为BM)来研究由羟基脱氢引发的氢解反应,因为β-O-4键占所有木素键的43%和65%。,BM的转化非常迅速,仅在1h内就达到了约95%;此外,苯乙酮和愈创木酚的产率很高(约80%),并伴有少量的β-O-4酮(2-(2-甲氧基苯氧基)-1-苯基乙酮,记为PE)。后者是BM中的Cα−OH在Pt铂基催化剂上脱氢生成的中间体。一旦BM形成,苯乙酮和愈创木酚就会迅速生成,因为Cβ-O键非常脆弱,由于键能较低,很容易断裂。证实了木质素中脂肪羟基的脱氢不仅削弱了Cβ-O键,而且提供了木质素还原解聚为碎片所需的初始氢气。除了β-O-4,Pt/NiAl2O4还能够切割其他C−O键,即α-O-4和4-O-5。必须指出的是,解聚产物(在BM的右侧部分)是含有甲氧基的愈创木酚,这表明C−O键的断裂比甲氧基的去除更容易,因为在早期没有检测到PE的去甲氧基产物2-苯氧基-1-苯基乙酮。这与上面2D-HSQC核磁共振谱中观察到的结果保持一致。延长反应时间为2 h时,脱甲氧基生成苯酚,进一步证明脱甲氧基发生在C−O键断裂后。反应6h后还发现了邻苯二酚,由于反应后期H2浓度较低,邻苯二酚可归属于愈创木酚的水解,但其生成速度远低于脱甲氧基反应。一旦甲醇生成,它将进一步重整,以提供更多的氢气,并促进愈创木酚和苯乙酮分别氢解为苯酚和乙苯。
在桦木木质素中没有发现儿茶酚, 2D-HSQC检测到β-O-4键上存在两种羟基,即Cα−OH和Cγ−OH。它们可以通过脱氢或重整提供足够的初始氢,因此脱甲氧基发生得更快。此外,一旦Cγ−OH发生重整,就会生成含有乙基的产物(4-乙基苯酚)和氢,这足以使Cγ−OH在高活性金属中心上直接氢解,并导致液体中丙基取代产物的形成。随后去除羰基和甲氧基最终得到4-丙基苯酚。根据2D-HSQC和β-O-4模型化合物的研究结果,木质素侧链上的羟基重整促进了木质素中C−O键的断裂,然后解聚的木质素碎片经过脱甲氧基反应生成甲醇。甲醇APR反应中的氢气促进了还原解聚和苯环上剩余甲氧基的脱除,最终加速了整个反应过程。除了木质素和β-O-4模型化合物外,还进一步选择了木质素片段单体4-(3-羟丙基)-2-甲氧基苯酚(记为PG-OH)作为底物来阐明重整驱动的脱甲氧基反应,因为PG-OH同时含有羟基和甲氧基,实际上是三个木质素片段之一。该反应首先在250°C的PG-OH水溶液中进行。在4h时,PG-OH的转化率已达到92.3%,达到了较高的转化率。经重整反应生成的4-乙基愈创木酚的产率为70.0%,即羟丙基在PG-OH中在Pt金属中心上的DHDC。副产物为4丙基愈创木酚,还检测到少量的4-烷基苯酚,如4-乙基苯酚和4-丙基苯酚,表明上述产物连续去甲氧基。随着反应时间的延长,4-乙基苯酚的产率稳步上升,同时4-乙基愈创木酚的量减少。一旦甲醇形成,APR就会启动,并产生更多的氢来参与后续的去甲氧基化反应。作为比较,还以4-丙基愈创木酚(PG)为底物,4-丙基儿茶酚是主要的水解物。由于产氢不足,即使在12小时后,4-丙基苯酚的产率也不到10%。
根据上述结果,可以证明:(1)脂肪族羟基在重整(即脱氢、脱羰基、WGS等)供氢过程中起着关键作用。在反应早期,虽然它触发C−O键的断裂和随后的去甲氧基化;(2)4-丙基酚和其他含丙基的产物是通过氢解产生的,需要大量的氢消耗;(3)4-乙基酚和其他含乙基的产物是羟丙基重整的结果,特别是由DHDC产生的,这与PG-OH模型化合物研究的推论一致;(4)4-甲酚和含甲基的产物主要由β-O-4键的逆Aldol反应生成。
Scheme 2. Reaction Pathways of the Formation of (A) 4-Propylphenol, (B) 4-Ethylphenol, and (C) 4-Cresol
Figure 5. (a and b) TPSR profiles of 1-(4-methoxyphenyl)ethanol (MP-ol).
总结与展望
综上所述,作者开发了一种新的自重整驱动的解聚和氢解策略,该策略首次充分利用了木质素本身的结构氢,直接从木质素中生成了4-烷基酚。Pt/NiAl2O4是一种优良的醇类重整催化剂,在木质素自重整反应中表现出较高的活性和稳定性。在无外源氢下,通过一锅反应从桦木木质素中获得了17.3wt%的4-烷基苯酚。该方法对木质素油也是可行的,产率可达25.2wt%。对木质素、二聚体和单体模型化合物, TPSR的反应路径研究表明,木质素侧链上的羟基重整是第一步,也是关键,因为它为后续的解聚和脱甲氧基提供了必要的氢气。然后,原位生成的甲醇通过水相重整提供更多的氢,进而加速C−O键、甲氧基和羰基的氢解,最终生成4-烷基酚。由于充分利用了底物中的结构氢,这种自转化驱动的工艺无需额外的氢源或昂贵的添加剂,能够实现木质素一锅法生产4-烷基苯酚,而且环保和经济,足以应用于从富含脂肪羟基和甲氧基的生物质资源中绿色生产有价值的化学品和燃料。
供稿:贾志超
编辑:张春源
论文相关信息
第一作者:Lingxiao Li
通讯作者:郭勇,王艳芹
通讯单位:华东理工大学
论文DOI:10.1021/acscatal.0c03170
往期推荐
【文献解读】重庆大学Green Chem:磷酸改性工业硅藻土负载Pd纳米颗粒作为木质素衍生物在水中低温加氢脱氧的高效催化剂